当前位置:首页>文档>北师大版二年级数学上册期末试卷(及参考答案)_二年级上下册资料_小学二年级学习资料-25年更新版_2-03、小学二年级数学上册_2-3-2、练习题、作业、试题、试卷_北师大版_期末测试卷

北师大版二年级数学上册期末试卷(及参考答案)_二年级上下册资料_小学二年级学习资料-25年更新版_2-03、小学二年级数学上册_2-3-2、练习题、作业、试题、试卷_北师大版_期末测试卷

  • 2026-03-22 00:06:16 2026-02-02 21:12:27

文档预览

北师大版二年级数学上册期末试卷(及参考答案)_二年级上下册资料_小学二年级学习资料-25年更新版_2-03、小学二年级数学上册_2-3-2、练习题、作业、试题、试卷_北师大版_期末测试卷
北师大版二年级数学上册期末试卷(及参考答案)_二年级上下册资料_小学二年级学习资料-25年更新版_2-03、小学二年级数学上册_2-3-2、练习题、作业、试题、试卷_北师大版_期末测试卷
北师大版二年级数学上册期末试卷(及参考答案)_二年级上下册资料_小学二年级学习资料-25年更新版_2-03、小学二年级数学上册_2-3-2、练习题、作业、试题、试卷_北师大版_期末测试卷
北师大版二年级数学上册期末试卷(及参考答案)_二年级上下册资料_小学二年级学习资料-25年更新版_2-03、小学二年级数学上册_2-3-2、练习题、作业、试题、试卷_北师大版_期末测试卷
北师大版二年级数学上册期末试卷(及参考答案)_二年级上下册资料_小学二年级学习资料-25年更新版_2-03、小学二年级数学上册_2-3-2、练习题、作业、试题、试卷_北师大版_期末测试卷
北师大版二年级数学上册期末试卷(及参考答案)_二年级上下册资料_小学二年级学习资料-25年更新版_2-03、小学二年级数学上册_2-3-2、练习题、作业、试题、试卷_北师大版_期末测试卷
北师大版二年级数学上册期末试卷(及参考答案)_二年级上下册资料_小学二年级学习资料-25年更新版_2-03、小学二年级数学上册_2-3-2、练习题、作业、试题、试卷_北师大版_期末测试卷
北师大版二年级数学上册期末试卷(及参考答案)_二年级上下册资料_小学二年级学习资料-25年更新版_2-03、小学二年级数学上册_2-3-2、练习题、作业、试题、试卷_北师大版_期末测试卷
北师大版二年级数学上册期末试卷(及参考答案)_二年级上下册资料_小学二年级学习资料-25年更新版_2-03、小学二年级数学上册_2-3-2、练习题、作业、试题、试卷_北师大版_期末测试卷
北师大版二年级数学上册期末试卷(及参考答案)_二年级上下册资料_小学二年级学习资料-25年更新版_2-03、小学二年级数学上册_2-3-2、练习题、作业、试题、试卷_北师大版_期末测试卷
北师大版二年级数学上册期末试卷(及参考答案)_二年级上下册资料_小学二年级学习资料-25年更新版_2-03、小学二年级数学上册_2-3-2、练习题、作业、试题、试卷_北师大版_期末测试卷

文档信息

文档格式
doc
文档大小
0.133 MB
文档页数
7 页
上传时间
2026-02-02 21:12:27

文档内容

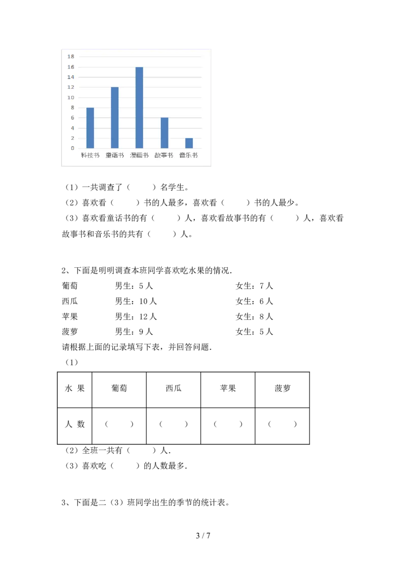
北师大版二年级数学上册期末试卷(及参考答案) (时间:60分钟 分数:100分) 班级: 姓名: 分数: 一、填空题。(20分) 1、一个鸡蛋约重50克,( )个鸡蛋约重500克,( )个鸡蛋约重1 千克. 2、与6000相邻的两个数是( )和( ). 3、△÷8=3……□,□里最大是( ) ;△÷□=6……5,□里最小是( )。 4、一个角有( )个顶点和( )条边。 5、根据“三六十八”写出两道除法算式:( )、( )。 6、面对夕阳,前面是( ),后面是( ),左面是( ),右 面是( ). 7、有85个乒乓球,每10个装一袋,可以装满( )袋,还剩( ) 个. 8、二·一班和二·二班共有80人,从一班调5人到二班,两个班人数就一样 多,原来二·一班有( )人,二·二班有( )人. 9、在一个没有括号的算式里,如果只有加减法,或者只有乘除法,要按照( )计算. 10、单位换算.2 米 7 厘米=( )厘米. 二、选择题。(把正确答案序号填在括号里。每题2分,共10分) 1、今天上午有语文、数学、体育三节课。第一节不是体育课,第二节是语文课, 第三节是( )。 A.数学课 B.语文课 C.体育课 2、做一根跳绳需要3米,一条绳子长26米最多可以做( )根这种跳绳. A.8 B.9 C.7 3、5个3相加是多少?正确的列式是( ) A.5+5+5=15 B.5+3=8 C.5×3=15 4、1.07元,其中数字0代表( )。 1 / 7A.元 B.角 C.分 5、20里面有4个( ). A.5 B.4 C.16 三、判断题(对的打“√”,错的打“×”。每题1分,共5分) 1、统计表更能直观、形象地表示数量的多少.( ) 2、“3242”中的两个“2”表示的意义相同。( ) 3、在乘法算式里,积一定比其中任何一个乘数都大。( ) 4、一个算式有小括号,要先算小括号里面的.( ) 5、与2099相邻的两个数是2100和2098。( ) 四、计算题。(28分) 1、直接写得数. 7×6= 800+200= 42÷6= 3×8= 72÷8= 11÷3= 3×8= 29÷4= 500-300= 6700-700= 600-400= 37-19= 2、竖式计算. (1)56÷7= (2)39÷6= (3) 76÷8= 五、作图题。(7分) 1、在方格里分别画出向右平移8格、向下平移3格后的图形。 六、统计图表。(12分) 1、下面是同学们喜欢看的书的统计图。 2 / 7(1)一共调查了( )名学生。 (2)喜欢看( )书的人最多,喜欢看( )书的人最少。 (3)喜欢看童话书的有( )人,喜欢看故事书的有( )人,喜欢看 故事书和音乐书的共有( )人。 2、下面是明明调查本班同学喜欢吃水果的情况. 葡萄 男生:5人 女生:7人 西瓜 男生:10人 女生:6人 苹果 男生:12人 女生:8人 菠萝 男生:9人 女生:5人 请根据上面的记录填写下表,并回答问题. (1) 水 果 葡萄 西瓜 苹果 菠萝 人 数 ( ) ( ) ( ) ( ) (2)全班一共有( )人. (3)喜欢吃( )的人数最多. 3、下面是二(3)班同学出生的季节的统计表。 3 / 7春季 正正 ( )人 夏季 正正 ( )人 秋季 正正 ( )人 冬季 正 ( )人 (1)人数填在上表中。 (2)二(3)班( )季出生的人数最多,( )季出生的人数最少。 (3)二(3)班一共有( )名同学。 4、下面调查的是二(1)班同学的牙齿健康状况。 (1)把调查结果填在表中。 健康状况 没有蛀牙 1颗蛀牙 2颗蛀牙 3颗蛀牙 人数 ( )人 ( )人 ( )人 ( )人 (2)这个班共有( )名同学,牙齿健康状况中( )的人数最多,( )的人数最少。 (3)根据这个调查结果,你给同学们的建议是( )。 5、下面是二(1)班同学平均每天睡眠时间的调查情况。 (1)根据调查情况把下表补充完整。 4 / 7睡眠时间 10小时 9小时 8小时 √√√√√√√ 调查情况 正正正正正一 ●●●● √√√ 人数(人) ( ) ( ) ( ) (2)每天睡眠时间( )小时的同学最多,每天睡眠( )小时的同学 最少。 (3)二(1)班一共( )人。 (4)教育部要求每位小学生每天保证10小时的睡眠时间,根据调查情况,请 说一说你的想法:________________________ 6、小兰班上的同学每月看课外书情况统计如下: 5本或5本以上 3-4本 1-2本 几乎没有 √√√√√√ 正正正 ○○○○○○○○○ ×× √ (1)每月看5本书或5本以上课外书的有( )人,每月几乎没有看书的 有( )人。 (2)每月看课外书( )的人数最多。 七、解决问题。(每题3分,共18分) 1、小明今年8岁,爷爷今年72岁,爸爸的年龄是小明的6倍。 (1)爸爸今年多少岁? (2)爷爷比爸爸大多少岁? 5 / 7参考答案 一、填空题。(20分) 1、10 20 2、5999 6001 3、7 6 4、1 2 5、18÷3=6 18÷6=3 6、西 东 南 北 7、8 5 8、45 35 9、从左到右的顺序. 10、207 二、选择题。(把正确答案序号填在括号里。每题2分,共10分) 1、C 2、A 3、C 4、B 5、A 三、判断题(对的打“√”,错的打“×”。每题1分,共5分) 1、× 2、× 3、× 4、√ 5、√ 四、计算题。(28分) 1、42;1000;7;24 9;3……2;24;7……1 200;6000;200;18 (2小题)8 6……3 9……4 五、作图题。(7分) 6 / 71、 六、统计图表。(12分) 1、44 漫画 音乐 12 6 8 2、12 16 20 14 62 苹果 3、14 10 12 7 春 冬 43 4、26 9 6 1 42 没有蛀牙 3颗蛀牙 经常刷牙,保持 牙齿健康 5、26 10 4 10 8 40 一定要有充足的睡眠。 6、7 2 3-4本 七、解决问题。(每题3分,共18分) 1、(1)48岁 (2)24岁 7 / 7