当前位置:首页>文档>最新版人教版二年级下册数学期末真题_二年级上下册资料_二年级语数英上下册学习资料_3-7-4、小学二年级数学下册_人教版_5、期末测试卷

最新版人教版二年级下册数学期末真题_二年级上下册资料_二年级语数英上下册学习资料_3-7-4、小学二年级数学下册_人教版_5、期末测试卷

  • 2026-04-17 07:18:37 2026-02-02 23:49:48

文档预览

最新版人教版二年级下册数学期末真题_二年级上下册资料_二年级语数英上下册学习资料_3-7-4、小学二年级数学下册_人教版_5、期末测试卷
最新版人教版二年级下册数学期末真题_二年级上下册资料_二年级语数英上下册学习资料_3-7-4、小学二年级数学下册_人教版_5、期末测试卷
最新版人教版二年级下册数学期末真题_二年级上下册资料_二年级语数英上下册学习资料_3-7-4、小学二年级数学下册_人教版_5、期末测试卷
最新版人教版二年级下册数学期末真题_二年级上下册资料_二年级语数英上下册学习资料_3-7-4、小学二年级数学下册_人教版_5、期末测试卷
最新版人教版二年级下册数学期末真题_二年级上下册资料_二年级语数英上下册学习资料_3-7-4、小学二年级数学下册_人教版_5、期末测试卷
最新版人教版二年级下册数学期末真题_二年级上下册资料_二年级语数英上下册学习资料_3-7-4、小学二年级数学下册_人教版_5、期末测试卷
最新版人教版二年级下册数学期末真题_二年级上下册资料_二年级语数英上下册学习资料_3-7-4、小学二年级数学下册_人教版_5、期末测试卷
最新版人教版二年级下册数学期末真题_二年级上下册资料_二年级语数英上下册学习资料_3-7-4、小学二年级数学下册_人教版_5、期末测试卷
最新版人教版二年级下册数学期末真题_二年级上下册资料_二年级语数英上下册学习资料_3-7-4、小学二年级数学下册_人教版_5、期末测试卷

文档信息

文档格式
pdf
文档大小
0.488 MB
文档页数
5 页
上传时间
2026-02-02 23:49:48

文档内容

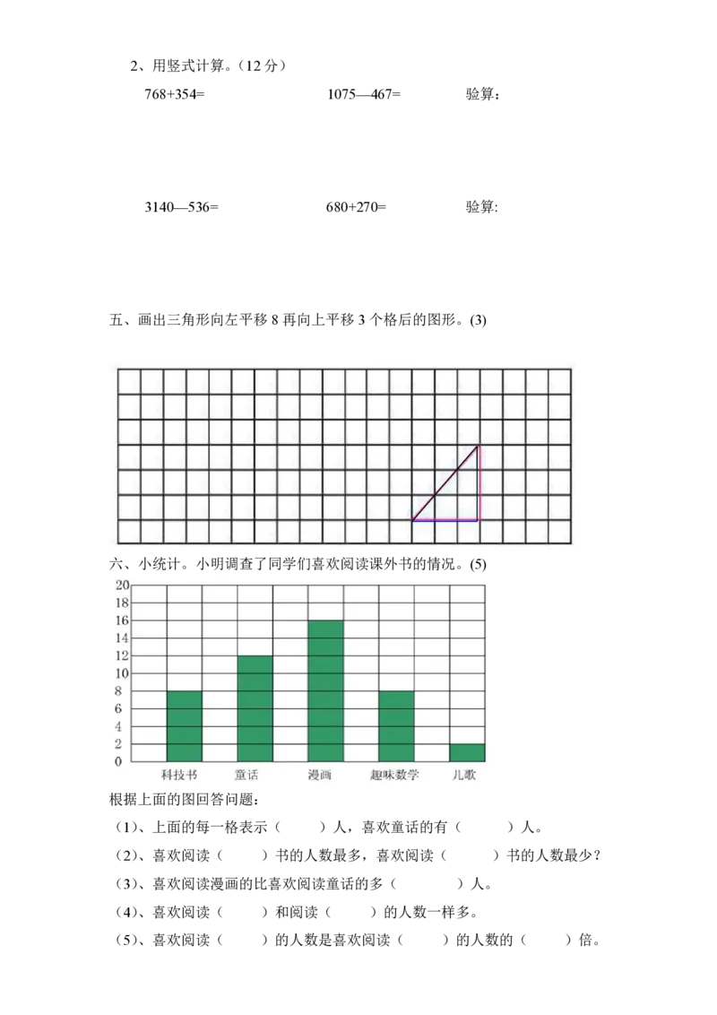
小学1-6年级全科辅导资料 添加老师领取小学二年级下学期期末测试卷 一、直接写出得数。(8分) 3×7= 40÷5= 840—800= 70—5= 9×7= 63÷7= 600+270= 500+80= 51—6= 0÷4= 100—26= ( )—340=26 49÷7= 157+43= 120—80= 35—4×8= 二、选择题。把正确答案的编号填在括号里。(7分) 1、一个四位数,千位上是 2,个位上是4,其它各数位上都是 0,这个数是( ) A. 204 B.2040 C.2400 D.2004 2、550比150多( ) A.600 B.700 C. 400 D.500 3、王力的体重是45( ) A. 克 B.千克 C.米 D.厘米 4、最大的三位数加1是( ) A. 10 B .100 C. 1000 D. 10000 5、这些现象中( )是旋转。 A. B. C. 6、下面各数中,一个“零”也不读出来的数是( )。 A.4009 B.4900 C.4909 7、一万里面有( )个百。。 A.10 B.100 C.1000 三、填空。(26分,每空0.5分) 1、按规律填数。 ( )、596、( )598、( )、( )、( ) 2、写出下面各数。 六百二十七( )三千零四十( )九千三百( )五千零四( ) 3、读出下面各数。 8040 读作( )5812读作( ) 4、5000克=( )千克 8千克300克=( )克 2时=( )分 180 秒=( )分 1分=( )秒 5、6705 是( )位数,百位上的数字是( ),表示( )个( ),最 低位的数字是( ),表示( )个( )。 6、第一个数是800,比第二个数多100,第二个数是( )。 7、把1678、897、699、1128这四个数按从小到大的顺序排列。它们依次是 ( )<( )<( )<( )。 8、7乘以4的积是( ),再减去18,差是( )。 9、在○里填上>、<或=。 1005克 ○ 1千克 2时 ○ 120分 40秒 ○ 1分 42—18 ○ 35 24+17 ○ 39 70+90 ○ 16 35 ○ 48÷8×5 10、 6503=( )+( )+( ) 8001=( )+ ( ) 11、爸爸上午8:00外出,下午5:00回家,爸爸离家时间是( )。 三、判断。正确的在括号内打“√”,错的打“×”)(10分) (1)读数和写数时,都要从最高位读起和写起。( ) (2)在减法中,被减数必须大于减数。( ) (3)一个四位数减一个三位数,可能得一个三位数,也可能得一个 四位数。( ) (4)1千克棉花和1000克铁比较,铁比较重。( ) (5)男生比女生多35人,女生比男生少35人。( ) 四、计算。 1、估算(4分) 282+348 ≈ 593-281 ≈ 603+299 ≈ 796-213 ≈2、用竖式计算。(12分) 768+354= 1075—467= 验算: 3140—536= 680+270= 验算: 五、画出三角形向左平移8再向上平移3个格后的图形。(3) 六、小统计。小明调查了同学们喜欢阅读课外书的情况。(5) 根据上面的图回答问题: (1)、上面的每一格表示( )人,喜欢童话的有( )人。 (2)、喜欢阅读( )书的人数最多,喜欢阅读( )书的人数最少? (3)、喜欢阅读漫画的比喜欢阅读童话的多( )人。 (4)、喜欢阅读( )和阅读( )的人数一样多。 (5)、喜欢阅读( )的人数是喜欢阅读( )的人数的( )倍。七、解决问题。(25分) 1、(2分) 我4天看完,平均每 天看几页? 我每天看6页, 几天可以看完? 36页 2、(3分) 做游戏,每8 我们班有26名 人一个小组。 男生,30名女生。 全班同学可以分成几个小组? 八、思维拓展; (1)、二年级 3 个班的同学为灾区捐款,一班捐了 75 元,比二班少了 5 元,三 班捐的是二班的2倍,三班捐了多少元?(5分) (2)、学校开联欢会,要搬 10 张桌子。每个老师搬一张,两个同学抬一张。现 在有3个老师,还要多少个同学才能一次搬完?(5 分) (3)、小熊家有一桶油,桶和油共重20千克,用完一半后,桶和油共重11千克, 那么桶和油各重多少千克?(6分)