当前位置:首页>文档>数学(九省联考●吉林卷)丨2024年1月普通高等学校招生全国统一考试适应性测试数学试卷及答案_2024届九省联考吉林卷2024年1月普通高等学校招生全国统一考试适应性测试

数学(九省联考●吉林卷)丨2024年1月普通高等学校招生全国统一考试适应性测试数学试卷及答案_2024届九省联考吉林卷2024年1月普通高等学校招生全国统一考试适应性测试

  • 2026-03-25 02:03:14 2026-02-09 03:44:45

文档预览

数学(九省联考●吉林卷)丨2024年1月普通高等学校招生全国统一考试适应性测试数学试卷及答案_2024届九省联考吉林卷2024年1月普通高等学校招生全国统一考试适应性测试
数学(九省联考●吉林卷)丨2024年1月普通高等学校招生全国统一考试适应性测试数学试卷及答案_2024届九省联考吉林卷2024年1月普通高等学校招生全国统一考试适应性测试
数学(九省联考●吉林卷)丨2024年1月普通高等学校招生全国统一考试适应性测试数学试卷及答案_2024届九省联考吉林卷2024年1月普通高等学校招生全国统一考试适应性测试
数学(九省联考●吉林卷)丨2024年1月普通高等学校招生全国统一考试适应性测试数学试卷及答案_2024届九省联考吉林卷2024年1月普通高等学校招生全国统一考试适应性测试
数学(九省联考●吉林卷)丨2024年1月普通高等学校招生全国统一考试适应性测试数学试卷及答案_2024届九省联考吉林卷2024年1月普通高等学校招生全国统一考试适应性测试
数学(九省联考●吉林卷)丨2024年1月普通高等学校招生全国统一考试适应性测试数学试卷及答案_2024届九省联考吉林卷2024年1月普通高等学校招生全国统一考试适应性测试
数学(九省联考●吉林卷)丨2024年1月普通高等学校招生全国统一考试适应性测试数学试卷及答案_2024届九省联考吉林卷2024年1月普通高等学校招生全国统一考试适应性测试
数学(九省联考●吉林卷)丨2024年1月普通高等学校招生全国统一考试适应性测试数学试卷及答案_2024届九省联考吉林卷2024年1月普通高等学校招生全国统一考试适应性测试
数学(九省联考●吉林卷)丨2024年1月普通高等学校招生全国统一考试适应性测试数学试卷及答案_2024届九省联考吉林卷2024年1月普通高等学校招生全国统一考试适应性测试
数学(九省联考●吉林卷)丨2024年1月普通高等学校招生全国统一考试适应性测试数学试卷及答案_2024届九省联考吉林卷2024年1月普通高等学校招生全国统一考试适应性测试
数学(九省联考●吉林卷)丨2024年1月普通高等学校招生全国统一考试适应性测试数学试卷及答案_2024届九省联考吉林卷2024年1月普通高等学校招生全国统一考试适应性测试
数学(九省联考●吉林卷)丨2024年1月普通高等学校招生全国统一考试适应性测试数学试卷及答案_2024届九省联考吉林卷2024年1月普通高等学校招生全国统一考试适应性测试
数学(九省联考●吉林卷)丨2024年1月普通高等学校招生全国统一考试适应性测试数学试卷及答案_2024届九省联考吉林卷2024年1月普通高等学校招生全国统一考试适应性测试
数学(九省联考●吉林卷)丨2024年1月普通高等学校招生全国统一考试适应性测试数学试卷及答案_2024届九省联考吉林卷2024年1月普通高等学校招生全国统一考试适应性测试
数学(九省联考●吉林卷)丨2024年1月普通高等学校招生全国统一考试适应性测试数学试卷及答案_2024届九省联考吉林卷2024年1月普通高等学校招生全国统一考试适应性测试
数学(九省联考●吉林卷)丨2024年1月普通高等学校招生全国统一考试适应性测试数学试卷及答案_2024届九省联考吉林卷2024年1月普通高等学校招生全国统一考试适应性测试
数学(九省联考●吉林卷)丨2024年1月普通高等学校招生全国统一考试适应性测试数学试卷及答案_2024届九省联考吉林卷2024年1月普通高等学校招生全国统一考试适应性测试
数学(九省联考●吉林卷)丨2024年1月普通高等学校招生全国统一考试适应性测试数学试卷及答案_2024届九省联考吉林卷2024年1月普通高等学校招生全国统一考试适应性测试
数学(九省联考●吉林卷)丨2024年1月普通高等学校招生全国统一考试适应性测试数学试卷及答案_2024届九省联考吉林卷2024年1月普通高等学校招生全国统一考试适应性测试
数学(九省联考●吉林卷)丨2024年1月普通高等学校招生全国统一考试适应性测试数学试卷及答案_2024届九省联考吉林卷2024年1月普通高等学校招生全国统一考试适应性测试
数学(九省联考●吉林卷)丨2024年1月普通高等学校招生全国统一考试适应性测试数学试卷及答案_2024届九省联考吉林卷2024年1月普通高等学校招生全国统一考试适应性测试

文档信息

文档格式
pdf
文档大小
2.052 MB
文档页数
17 页
上传时间
2026-02-09 03:44:45

文档内容

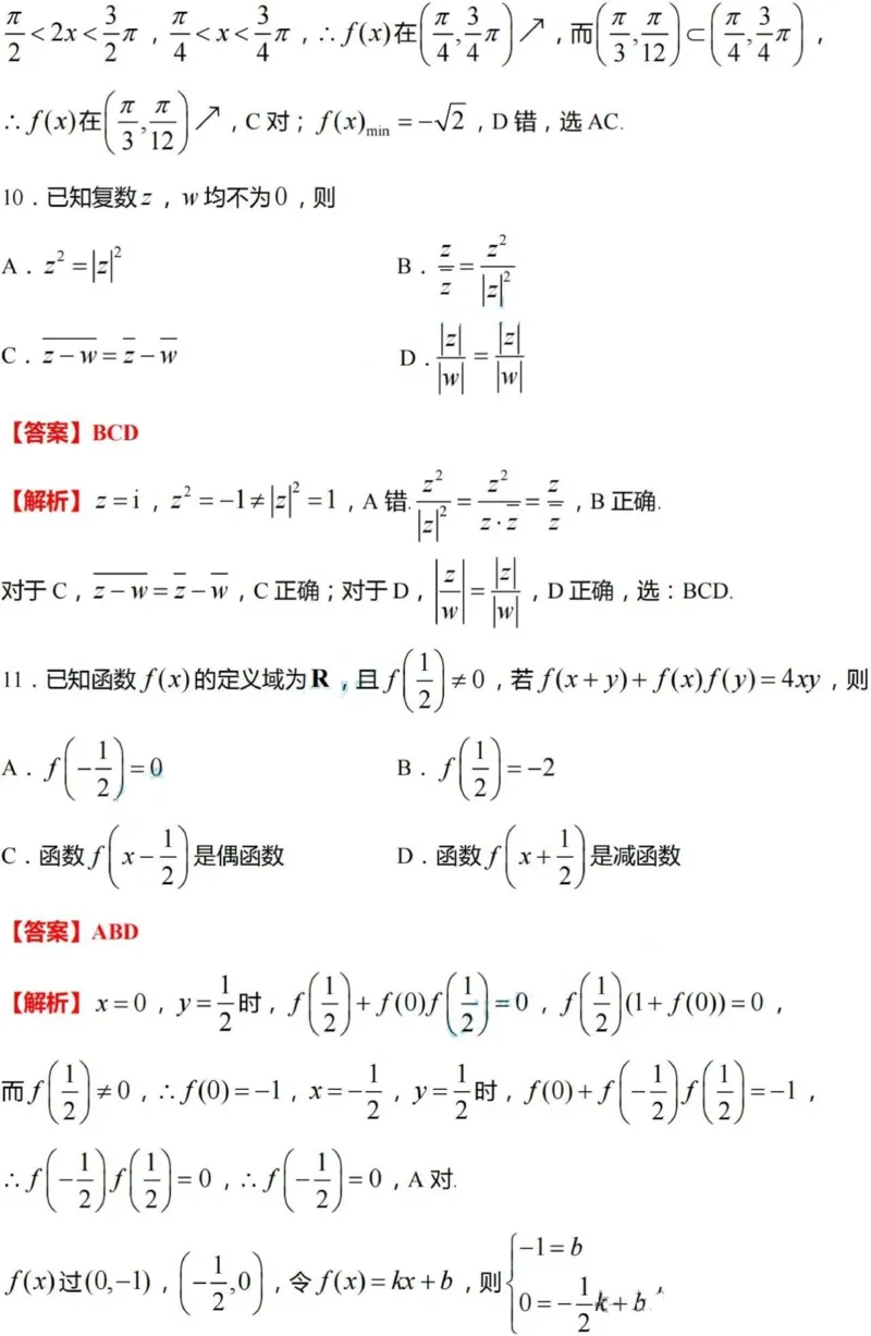
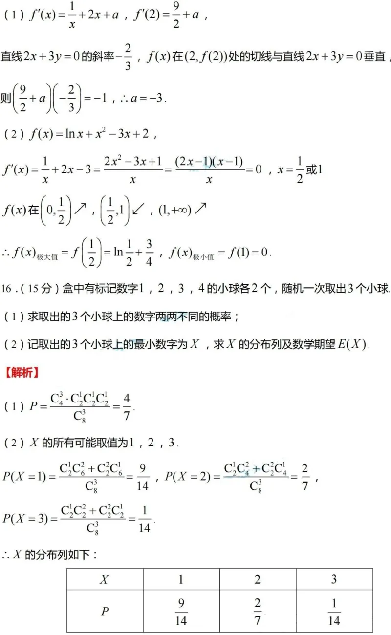
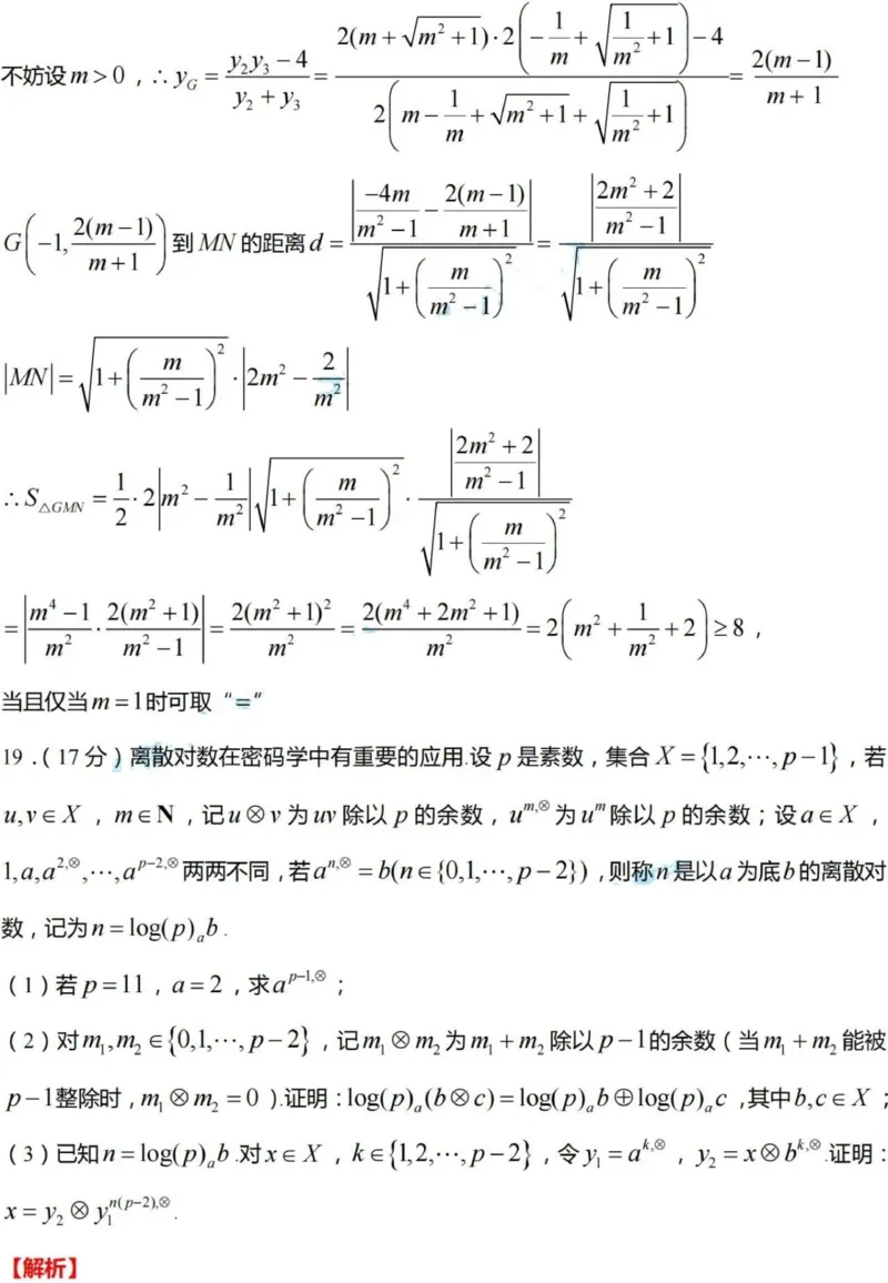
年 月普通高等学校招生全国统一考试适应性 2024 1 测试(九省联考)数学试题 注意事项: ].答卷前,考生务必将自己的考生号、姓名、考点学校、考场号及座位号填写在答题卡上. 2.回答选择题时,选出每小题答案后,用铅笔把答题卡上对应题目的答案标号涂黑.如需要改 动,用橡皮擦干净后,再选涂其他答案标号.回答非选择题时,将答案写在答题卡上.写在本 试卷上无效. 3.考试结束后,将本试卷和答题卡一并交回. 一、选择题:本题共 8小题,每小题 5分,共 40分.在每小题给出的四个选项中,只有一项是 符合题目要求的. 1.样本数据16,24,14,10,20,30,12,14,40的中位数为( ) A.14 B.16 C.18 D.20 x2 1 2.椭圆  y2 1(a 1)的离心率为 ,则a ( ) a2 2 2 3 A. B. 2 C. 3 D.2 3 3.记等差数列 a 的前n项和为S ,a a 6,a 17,则S ( ) n n 3 7 12 16 A.120 B.140 C.160 D.180 4.设,是两个平面,m,l 是两条直线,则下列命题为真命题的是( ) A.若,m∥,l∥,则m  l B.若m,l ,m∥l,则∥ C.若m,l∥,l∥,则m∥l D.若m,l ,m∥l,则 5.甲、乙、丙等5人站成一排,且甲不在两端,乙和丙之间恰有2人,则不同排法共有( ) A.20种 B.16种 C.12种 D.8种  6.已知Q为直线l:x2y10上的动点,点P满足QP  1,3 ,记P的轨迹为E,则( ) A.E是一个半径为 5的圆 B.E是一条与l相交的直线 C.E上的点到l的距离均为 5 D.E是两条平行直线 3    1sin2 7.已知  , ,tan24tan  ,则 ( )  4   4 2cos2sin2 1 3 3 A. B. C.1 D. 4 4 2 学科网(北京)股份有限公司x2 y2 8.设双曲线C:  1(a 0,b0)的左、右焦点分别为F,F ,过坐标原点的直线与C交于A,B两点, a2 b2 1 2   FB 2 FA,F AF B 4a2,则C的离心率为( ) 1 1 2 2 A. 2 B.2 C. 5 D. 7 二、选择题:本题共 3小题,每小题 6分,共 18分.在每小题给出的选项中,有多项符合题目 要求.全部选对的得 6分,部分选对的得部分分,有选错的得 0分.  3  3 9.已知函数 f  x sin2x  cos2x ,则( )  4   4    A.函数 f x 为偶函数 B.曲线 y  f  x 的对称轴为x k,kZ  4   C. f  x 在区间 , 单调递增 D. f  x 的最小值为-2  3 2  10.已知复数z,w均不为0,则( ) z z2 z z A.z2 |z|2 B.  C.zw  zw D.  z |z|2 w w 1 11.已知函数 f  x 的定义域为R ,且 f   0,若 f  x y  f  x  f  y  4xy,则( ) 2  1 1 A. f    0 B. f   2  2 2  1  1 C.函数 f x 是偶函数 D.函数 f x 是减函数  2  2 三、填空题:本题共 3小题,每小题 5分,共15分. 12.已知集合A2,0,2,4  ,B  x x3 m  ,若AB A,则m 的最小值为__________. 13.已知轴截面为正三角形的圆锥MM的高与球O的直径相等,则圆锥MM的体积与球O的体积的比值是 __________,圆锥MM的衣而积与球O的表面积的比值是__________. 14 . 以 maxM 表 示 数 集 M 中 最 大 的 数 . 设 0 a  b c 1 , 已 知 b  2a 或 a b 1 , 则 max  ba,cb,1c 的最小值为__________. 四、解答题:本题共 5小题,共 77分.解答应写出文字说明、证明过程或演算步骤. 15.(13分)已知函数 f  x lnx x2 ax2在点  2, f  2  处的切线与直线2x3y 0垂直. (1)求a; 学科网(北京)股份有限公司(2)求 f  x 的单调区间和极值. 16.(15分)盒中有标记数字1,2,3,4的小球各2个,随机一次取出3个小球. (1)求取出的3个小球上的数字两两不同的概率; (2)记取出的3个小球上的最小数字为X ,求X 的分布列及数学期望E  X . 17.(15分)如图,平行六面体ABCD ABC D 中,底面ABCD是边长为2的正方形,O为AC 与BD的 1 1 1 1 交点,AA 2,CCB CCD,CCO 45 . 1 1 1 1 (1)证明:CO 平面ABCD; 1 (2)求二面角B AA D的正弦值. 1 18.(17分)已知抛物线C: y2 4x 的焦点为F ,过F 的直线l交C于A,B两点,过F 与l垂直的直线交C 于D,E两点,其中B,D在x轴上方,M,N 分别为AB,DE的中点. (1)证明:直线MN 过定点; (2)设G 为直线AE与直线BD的交点,求GMN 面积的最小值. 19.(17分)离散对数在密码学中有重要的应用.设 p是素数,集合X  1,2,,p1 ,若u,vX,mN, 记uv 为uv 除以 p 的余数,um,为um 除以 p 的余数;设aX ,1,a,a2,,,ap2, 两两不同,若 an, b  n 0,1,,p2  ,则称n 是以a为底b 的离散对数,记为n log(p) b. a (1)若 p11,a 2,求ap1,; (2)对m ,m  0,1,,p2 ,记m m 为m m 除以 p1的余数(当m m 能被 p1整除时, 1 2 1 2 1 2 1 2 m m  0).证明:log(p)  bc  log(p) blog(p) c,其中b,cX ; 1 2 a a a (3)已知n log(p) b.对xX,k 1,2,,p2 ,令 y ak,,y  xbk,.证明:x  y  ynp2,. a 1 2 2 1 学科网(北京)股份有限公司