当前位置:首页>文档>数学02(人教B版2019)(解析版)(1)_1多考区联考_0914黄金卷:2024-2025学年高二上学期入学摸底考试数学试卷21套(含答题卡)

数学02(人教B版2019)(解析版)(1)_1多考区联考_0914黄金卷:2024-2025学年高二上学期入学摸底考试数学试卷21套(含答题卡)

  • 2026-04-07 04:56:35 2026-02-09 09:27:43

文档预览

数学02(人教B版2019)(解析版)(1)_1多考区联考_0914黄金卷:2024-2025学年高二上学期入学摸底考试数学试卷21套(含答题卡)
数学02(人教B版2019)(解析版)(1)_1多考区联考_0914黄金卷:2024-2025学年高二上学期入学摸底考试数学试卷21套(含答题卡)
数学02(人教B版2019)(解析版)(1)_1多考区联考_0914黄金卷:2024-2025学年高二上学期入学摸底考试数学试卷21套(含答题卡)
数学02(人教B版2019)(解析版)(1)_1多考区联考_0914黄金卷:2024-2025学年高二上学期入学摸底考试数学试卷21套(含答题卡)
数学02(人教B版2019)(解析版)(1)_1多考区联考_0914黄金卷:2024-2025学年高二上学期入学摸底考试数学试卷21套(含答题卡)
数学02(人教B版2019)(解析版)(1)_1多考区联考_0914黄金卷:2024-2025学年高二上学期入学摸底考试数学试卷21套(含答题卡)
数学02(人教B版2019)(解析版)(1)_1多考区联考_0914黄金卷:2024-2025学年高二上学期入学摸底考试数学试卷21套(含答题卡)
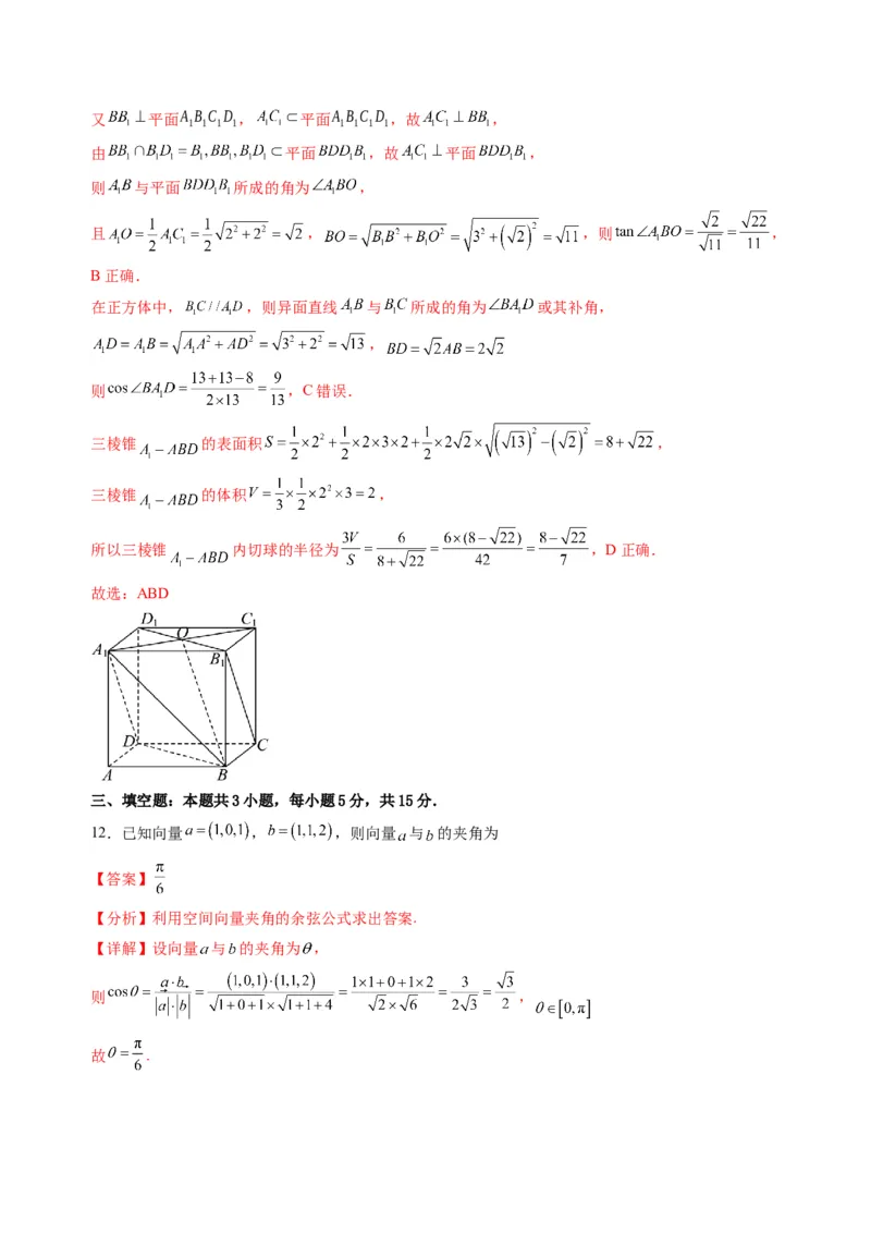
数学02(人教B版2019)(解析版)(1)_1多考区联考_0914黄金卷:2024-2025学年高二上学期入学摸底考试数学试卷21套(含答题卡)
数学02(人教B版2019)(解析版)(1)_1多考区联考_0914黄金卷:2024-2025学年高二上学期入学摸底考试数学试卷21套(含答题卡)
数学02(人教B版2019)(解析版)(1)_1多考区联考_0914黄金卷:2024-2025学年高二上学期入学摸底考试数学试卷21套(含答题卡)
数学02(人教B版2019)(解析版)(1)_1多考区联考_0914黄金卷:2024-2025学年高二上学期入学摸底考试数学试卷21套(含答题卡)
数学02(人教B版2019)(解析版)(1)_1多考区联考_0914黄金卷:2024-2025学年高二上学期入学摸底考试数学试卷21套(含答题卡)
数学02(人教B版2019)(解析版)(1)_1多考区联考_0914黄金卷:2024-2025学年高二上学期入学摸底考试数学试卷21套(含答题卡)
数学02(人教B版2019)(解析版)(1)_1多考区联考_0914黄金卷:2024-2025学年高二上学期入学摸底考试数学试卷21套(含答题卡)
数学02(人教B版2019)(解析版)(1)_1多考区联考_0914黄金卷:2024-2025学年高二上学期入学摸底考试数学试卷21套(含答题卡)
数学02(人教B版2019)(解析版)(1)_1多考区联考_0914黄金卷:2024-2025学年高二上学期入学摸底考试数学试卷21套(含答题卡)
数学02(人教B版2019)(解析版)(1)_1多考区联考_0914黄金卷:2024-2025学年高二上学期入学摸底考试数学试卷21套(含答题卡)
数学02(人教B版2019)(解析版)(1)_1多考区联考_0914黄金卷:2024-2025学年高二上学期入学摸底考试数学试卷21套(含答题卡)
数学02(人教B版2019)(解析版)(1)_1多考区联考_0914黄金卷:2024-2025学年高二上学期入学摸底考试数学试卷21套(含答题卡)
数学02(人教B版2019)(解析版)(1)_1多考区联考_0914黄金卷:2024-2025学年高二上学期入学摸底考试数学试卷21套(含答题卡)
数学02(人教B版2019)(解析版)(1)_1多考区联考_0914黄金卷:2024-2025学年高二上学期入学摸底考试数学试卷21套(含答题卡)
数学02(人教B版2019)(解析版)(1)_1多考区联考_0914黄金卷:2024-2025学年高二上学期入学摸底考试数学试卷21套(含答题卡)

文档信息

文档格式
docx
文档大小
1.193 MB
文档页数
18 页
上传时间
2026-02-09 09:27:43

文档内容

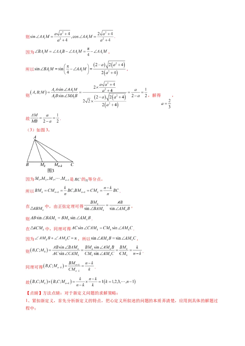
新高二开学摸底考试卷 02 数 学 (考试时间:120分钟 试卷满分:150分) 注意事项: 1.答卷前,考生务必将自己的姓名、考生号等填写在答题卡和试卷指定位置上。 2.回答选择题时,选出每小题答案后,用铅笔把答题卡对应题目的答案标号涂黑。如需改动,用 橡皮擦干净后,再选涂其他答案标号。回答非选择题时,将答案写在答题卡上。写在本试卷上无效。 3.考试范围:人教B版2019 4.考试结束后,将本试卷和答题卡一并交回。 一、单项选择题:本题共8小题,每小题5分,共40分.在每小题给出的四个选项中,只有一项是符 合题目要求的. 1.设 为虚数单位,已知复数 ,则 ( ) A. B. C. D.2 【答案】B 【分析】利用复数的商的运算法则求得 ,进而可求 . 【详解】 , 则 . 故选:B. 2.已知角 的终边过点 ,则 ( ) A. B. C. D. 【答案】B 【分析】根据已知条件结合任意角的三角函数的定义求出 ,然后代入计算即可. 【详解】因为角 的终边过点 , 所以 , 所以 ,故选:B 3.已知向量 满足 ,且 ,则 的值为( ) A.1 B.3 C.5 D.7 【答案】C 【分析】根据已知条件直接化简 求解即可. 【详解】因为向量 满足 ,且 , 所以 . 故选:C. 4.斜三棱柱 中,设 , , ,若 ,则 ( ) A. B. C. D. 【答案】A 【分析】根据条件,结合图形,利用向量的线性运算,即可求出结果. 【详解】因为 . 故选:A. 5.如图,从一个半径为 的圆形纸板中剪出一块最大的正三角形纸板,并将此正三角形纸板折叠成 一个正四面体,则该正四面体外接球的表面积为( )A. B. C. D. 【答案】B 【分析】先求出最大正三角形的边长,进而得到正四面体的棱长及高,再由空间几何关系利用勾股定 理求解外接球半径即可. 【详解】圆内最大正三角形即圆内接正三角形. 设该圆内接正三角形的半径为 ,边长为 , 则 , 解得 , 如图,设折叠后正四面体 的棱长为 ,高为 , 则 , 过 点作 平面 , 为底面正三角形 的中心,连接 , 则在 中,由正弦定理得 ,则 , 所以高 , 设正四面体外接球球心为 ,则 于是外接球的半径 , 在 中, ,则 ,所以 ,解得 , 则其外接球的表面积为 . 故选:B. 6.在数学史上,为了三角计算的简便并且更加追求计算的精确性,曾经出现过下列两种三角函数:定 义 为角 的正矢,记作 ;定义 为角 的余矢,记作 ,则下列命题正确的 是( ) A.函数 的对称中心为 B.若 ,则 的最大值为 C.若 , 且 ,则圆心角为 ,半径为3的扇形的面积 为 D.若 ,则 【答案】D 【分析】根据新定义,把新函数转化为熟悉的三角函数,再分析它们的有关性质即可. 【详解】对A: . 由 , , ,所以函数 的对称中心为 ,故A错误; 对B: . 设 ,则 ,且 , 所以 , 当 时, .故B错误; 对C: . 因为 且 ,所以 . 所以 .所以圆心角为 ,半径为3的扇形的面积为: ,故C错误; 对D:由 . 所以 ,故D正确. 故选:D 7.将函数 的图象先向左平移 个单位长度,再把所得函数图象上的每个点的横坐标都变为 原来的 倍,纵坐标不变,得到函数 的图象,若函数 在 上单调递增,则 的 取值范围是( ) A. B. C. D. 【答案】B 【分析】先根据三角函数变换规律求出 ,然后求出 的单调递增区间,再由函数 在 上单调递增,得 ,从而可求出 的取值范围. 【详解】将函数 的图象先向左平移 个单位长度,得 , 再把所得函数图象上的每个点的横坐标都变为原来的 倍,纵坐标不变,得 , 所以 , 由 , 得 , 所以 , 因为函数 在 上单调递增,所以 ( ), 即 ( ), 解得 , 因为 ,所以 ,所以 . 故选:B 8.在锐角三角形ABC中,角A,B,C的对边分别为a,b,c.若 ,且 ,则 的最大值为( ) A. B. C. D. 【答案】B 【分析】根据题意,结合条件由余弦定理可得 ,再由 ,结合正切函数的和 差角公式以及基本不等式代入计算可得 ,即可得到结果. 【详解】因为 ,且 ,则 , 由余弦定理可得 ,所以 , 即 ,由正弦定理可得 , 其中 ,则 ,所以 , 又 , 化简可得 , 且 为锐角三角形,则 , 所以 , 即 , 解得 或 (舍),所以 ,当且仅当 时,等号成立, 则 的最大值为 . 故选:B 【点睛】关键点睛:本题主要考查了余弦定理,正切函数的和差角公式以及基本不等式求最值问题, 难度较大,解答本题的关键在于由余弦定理得到 ,然后结合基本不等式代入计算,即可求解. 二、多项选择题:本题共3小题,每小题6分,共18分.在每小题给出的选项中,有多项符合题目要 求.全部选对的得6分,部分选对的得部分分,有选错的得0分. 9.已知 , , ,则( ) A. B.若 ,则 C.若 ,则 D. 在 上的投影向量的坐标为 【答案】BD 【分析】根据向量模的坐标表示即可判断A;根据向量平行和垂直的坐标表示即可判断BC;根据投影 向量的公式即可判断D. 【详解】对A, ,故A错误; 对B,若 ,则 ,解得 ,故B正确; 对C,若 ,则 ,则 ,故C错误; 对D, 在 上的投影向量的坐标为 ,故D正确. 故选:BD. 10.已知函数 的部分图象如图所示,则 ( )A. B. C. D. 【答案】AC 【分析】利用图象的特征求出各参数即可求解. 【详解】由图象可知: ,周期 ,故 . 由 ,解得 , 故函数 ,选项A正确; 选项B, ,B错误; 选项C, ,C正确; 选项D, ,D错误. 故选:AC. 11.在正四棱柱 中, , ,则( ) A.正四棱柱 的侧面积为24 B. 与平面 所成角的正切值为 C.异面直线 与 所成角的余弦值为 D.三棱锥 内切球的半径为 【答案】ABD 【分析】由侧面积公式即可求解A,根据线面垂直可得 与平面 所成的角为 ,即可由 三角形的边角关系求解B,根据线线平行可得异面直线 与 所成的角为 或其补角,由三角 形的边角关系求解C,利用等体积法即可求解D. 【详解】正四棱柱 的侧面积为 , 正确. 设 ,由于四边形A B C D 为正方形,故 , 1 1 1 1又 平面A B C D , 平面A B C D ,故 , 1 1 1 1 1 1 1 1 由 平面 ,故 平面 , 则 与平面 所成的角为 , 且 , ,则 , B正确. 在正方体中, ,则异面直线 与 所成的角为 或其补角, , 则 ,C错误. 三棱锥 的表面积 , 三棱锥 的体积 , 所以三棱锥 内切球的半径为 ,D正确. 故选:ABD 三、填空题:本题共3小题,每小题5分,共15分. 12.已知向量 , ,则向量 与 的夹角为 【答案】 【分析】利用空间向量夹角的余弦公式求出答案. 【详解】设向量 与 的夹角为 , 则 , 故 .故答案为: 13.若关于x的方程 无解,则实数k的取值范围是 . 【答案】 【分析】分析可知 与 没有交点,利用辅助角公式结合正弦函数值域分析求解. 【详解】由题意可知: 与 没有交点, 因为 , 且 ,可得 , 可知 ,所以实数k的取值范围是 . 故答案为: . 14.如图,从气球A上测得正前方的河流的两岸B、C的俯角分别为67°、30°,此时气球的高是46m, 河流的宽度 约等于 m. (参考数据: , , , , ) 【答案】60 【分析】先作辅助线,过点 作 垂直于 的延长线于点 ,先解 求出 ,再在 中 利用正弦定理即可求 . 【详解】 如图,过点 作 垂直于 的延长线于点 , 在 中, , , 所以 ,在 中, , , , 由正弦定理可得: 可得: , 所以河流的宽度 约等于 , 故答案为: . 四、解答题:本题共5小题,其中第15题13分,第16,17题15分,第18,19题17分,共77分.解答 应写出文字说明、证明过程或演算步骤. 15.(本题满分13分)已知复数 ,其中i为虚数单位, . (1)若z为纯虚数,求 ; (2)若复数z在复平面内对应的点在第四象限,求实数a的取值范围. 【答案】(1) ; (2) . 【分析】(1)由已知求出 ,再由模的意义求出结果. (2)由给定条件列出不等式组,求解即可得范围. 【详解】(1)由z为纯虚数,得 ,解得 ,则 , 所以 . (2)由复数z在复平面内对应的点在第四象限,得 ,解得 , 所以实数a的取值范围是 . 16.(本题满分15分)已知函数 从条件①、条件②、条件③这三个条件中选择一个作为已知,使函数 存在且唯一. 条件①: ; 条件②: 在区间 单调,且 ; 条件③:函数 相邻两个零点间的距离为 . 选__________作为条件 (1)求 值; (2)求 在区间 上的最大值与最小值及对应的 的值.【答案】(1) (2)当 时, ;当 时, 【分析】先化简 ,(1)若选条件,分别求解 ,舍掉不满足 存在且唯一,逐一检验即可得 解,(2)由(1)得到 解析式,求出相位范围即可求解. 【详解】(1) , 若选条件①, , ,即 ,无解,不合题意; 若选条件②,因为 , 所以 且 所以 过 图象的最高点, 过 图象的最低点, 又因为 在区间 单调,所以 解得 , 当 时, , 当 时, ,所以 在区间 不单调,不符合题意,所以 ; 若选条件③, 因为 相邻两个零点间的距离为 , 所以 ,即 ,又 ,解得 ,不合题意; 综上, ; (2)由(1)知 , 当 时, , 所以,当 时, ; 当 时, . 17.(本题满分15分)如图,在四棱锥 中,平面 平面 , 为等边三角形,, , 为 的中点. (1)证明: 平面 ; (2)求平面 与平面 夹角的余弦值. 【答案】(1)证明见解析 (2) 【分析】(1)取 的中点 ,连接 ,即可得到 ,根据面面垂直的性质得到 平 面 ,从而证明 平面 ,即可得到 ,再由 ,即可得证; (2)由(1)可得 平面 ,建立空间直角坐标系,利用空间向量法计算可得. 【详解】(1)取 的中点 ,连接 , 因为 为等边三角形,所以 , 又因为平面 平面 ,平面 平面 , 平面 ,所以 平面 , 因为 平面 ,所以 , 又 平面 ,所以 平面 , 因为 平面 ,所以 , 因为 是 的中点,所以 , 因为 平面 ,且 , 所以 平面 . (2)因为 ,由(1)知四边形 为矩形,则 , 又 平面 ,所以 平面 ,以 为坐标原点,分别以 所在直线为 轴, 轴, 轴建立空间直角坐标系, 则 , 取平面 的法向量为 , 设平面 的法向量为 , 则 ,即 ,令 ,则 , 所以 . , 所以平面 与平面 夹角的余弦值为 . 18.(本题满分17分)如图,有一块半径为2的半圆形钢板,计划裁剪成等腰梯形 的形状,它 的下底 是半圆的直径,上底 的端点在圆周上.记 .(提示:直径所对的圆周角是直角, 即图中 ) (1)用 表示 的长; (2)若 ,求如图中阴影部分的面积 ; (3)记梯形 的周长为 ,将 表示成 的函数,并求出 的最大值. 【答案】(1) (2) (3) ; 【分析】(1)连接 ,过 作 ,由几何关系可得 ,由三角函数可表示出 的 长; (2)图中阴影部分的面积 等于 和扇形 的面积,分别求出即可得出答案. (3)根据给定条件,利用圆的性质,结合直角三角形的边角关系表示出 ,利用二倍角的余弦公式变 形函数,再利用换元法,结合二次函数求出最大值. 【详解】(1)连接 ,过 作 ,则 ,所以 . (2) . , , 所以 , (3) , 则 , 令 ,则 , 则 ,当 时, . 19.(本题满分17分)点A是直线PQ外一点,点M在直线PQ上(点M与P,Q两点均不重合), 我们称如下操作为“由A点对PQ施以视角运算”:若点M在线段PQ上,记 ;若点M在线段PQ外,记 . (1)若M在正方体 的棱AB的延长线上,且 ,由 对AB施以视角运算, 求 的值; (2)若M在正方体 的棱AB上,且 ,由 对AB施以视角运算,得到 ,求 的值; (3)若 是 边BC的 等分点,由A对BC施以视角运算,求 的值. 【答案】(1) (2) (3)1【分析】(1)根据锐角三角函数的定义,结合和差角公式可得 ,即可代入公式 求解, (2)根据 的计算公式,代入即可求解, (3)由正弦定理可得 ,即可结合 对 施以视角运算,即可求证. 【详解】(1)如图1, 因为 ,所以 . 由正方体的定义可知 ,则 , 故 , . 因为 , 所以 , 则 . (2)如图2,设 ,则 . 因为 , 所以 , 则 ,解得 , 故 . (3)如图3, 因为 是 的 等分点, 所以 . 在 中,由正弦定理可得 , 则 . 在 中,同理可得 . 因为 ,所以 , 则 . 同理可得 . 故 【点睛】方法点睛:对于新定义问题的求解策略: 1、紧扣新定义,首先分析新定义的特点,把心定义所叙述的问题的本质弄清楚,应用到具体的解题过 程中;2、用好定义的性质,解题时要善于从试题中发现可以使用的定义的性质的一些因素.