当前位置:首页>文档>高一数学期中模拟卷(全解全析)_1多考区联考试卷_1021高一期中模拟卷(天津专用)黄金卷:2024-2025学年高一上学期期中模拟考试

高一数学期中模拟卷(全解全析)_1多考区联考试卷_1021高一期中模拟卷(天津专用)黄金卷:2024-2025学年高一上学期期中模拟考试

  • 2026-04-24 09:22:43 2026-02-10 07:32:31

文档预览

高一数学期中模拟卷(全解全析)_1多考区联考试卷_1021高一期中模拟卷(天津专用)黄金卷:2024-2025学年高一上学期期中模拟考试
高一数学期中模拟卷(全解全析)_1多考区联考试卷_1021高一期中模拟卷(天津专用)黄金卷:2024-2025学年高一上学期期中模拟考试
高一数学期中模拟卷(全解全析)_1多考区联考试卷_1021高一期中模拟卷(天津专用)黄金卷:2024-2025学年高一上学期期中模拟考试
高一数学期中模拟卷(全解全析)_1多考区联考试卷_1021高一期中模拟卷(天津专用)黄金卷:2024-2025学年高一上学期期中模拟考试
高一数学期中模拟卷(全解全析)_1多考区联考试卷_1021高一期中模拟卷(天津专用)黄金卷:2024-2025学年高一上学期期中模拟考试
高一数学期中模拟卷(全解全析)_1多考区联考试卷_1021高一期中模拟卷(天津专用)黄金卷:2024-2025学年高一上学期期中模拟考试
高一数学期中模拟卷(全解全析)_1多考区联考试卷_1021高一期中模拟卷(天津专用)黄金卷:2024-2025学年高一上学期期中模拟考试
高一数学期中模拟卷(全解全析)_1多考区联考试卷_1021高一期中模拟卷(天津专用)黄金卷:2024-2025学年高一上学期期中模拟考试
高一数学期中模拟卷(全解全析)_1多考区联考试卷_1021高一期中模拟卷(天津专用)黄金卷:2024-2025学年高一上学期期中模拟考试
高一数学期中模拟卷(全解全析)_1多考区联考试卷_1021高一期中模拟卷(天津专用)黄金卷:2024-2025学年高一上学期期中模拟考试
高一数学期中模拟卷(全解全析)_1多考区联考试卷_1021高一期中模拟卷(天津专用)黄金卷:2024-2025学年高一上学期期中模拟考试
高一数学期中模拟卷(全解全析)_1多考区联考试卷_1021高一期中模拟卷(天津专用)黄金卷:2024-2025学年高一上学期期中模拟考试
高一数学期中模拟卷(全解全析)_1多考区联考试卷_1021高一期中模拟卷(天津专用)黄金卷:2024-2025学年高一上学期期中模拟考试
高一数学期中模拟卷(全解全析)_1多考区联考试卷_1021高一期中模拟卷(天津专用)黄金卷:2024-2025学年高一上学期期中模拟考试
高一数学期中模拟卷(全解全析)_1多考区联考试卷_1021高一期中模拟卷(天津专用)黄金卷:2024-2025学年高一上学期期中模拟考试
高一数学期中模拟卷(全解全析)_1多考区联考试卷_1021高一期中模拟卷(天津专用)黄金卷:2024-2025学年高一上学期期中模拟考试
高一数学期中模拟卷(全解全析)_1多考区联考试卷_1021高一期中模拟卷(天津专用)黄金卷:2024-2025学年高一上学期期中模拟考试
高一数学期中模拟卷(全解全析)_1多考区联考试卷_1021高一期中模拟卷(天津专用)黄金卷:2024-2025学年高一上学期期中模拟考试

文档信息

文档格式
docx
文档大小
0.744 MB
文档页数
14 页
上传时间
2026-02-10 07:32:31

文档内容

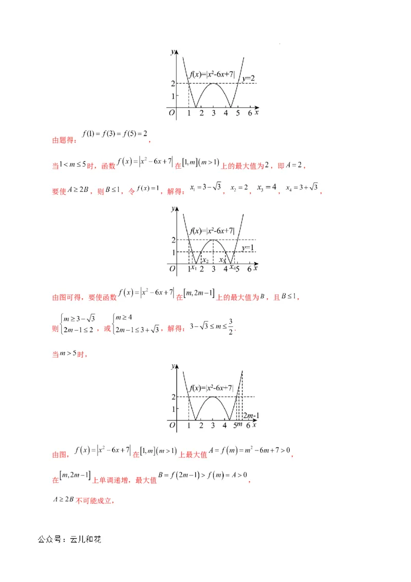
2024-2025 学年高一数学上学期期中模拟卷(天津) (考试时间:120分钟 试卷满分:150分) 注意事项: 1.答卷前,考生务必将自己的姓名、准考证号填写在答题卡上。 2.回答选择题时,选出每小题答案后,用铅笔把答题卡上对应题目的答案标号涂黑。如需改动,用 橡皮擦干净后,再选涂其他答案标号。回答非选择题时,将答案写在答题卡上。写在本试卷上无效。 3.考试结束后,将本试卷和答题卡一并交回。 4.测试范围:人教A版2019必修第一册第一章~第三章 5.难度系数:0.6。 第Ⅰ卷 一、单项选择题:本题共9小题,每小题5分,共45分.在每小题给出的四个选项中,只有一个选项是符 合题目要求的. 1.已知集合 ,则(C A)∩B=( ) R A. B. C. D. 【答案】D 【解析】依题意,C A={x|x≥2},所以(C A)∩B={2,3}.故选D. R R 2.若函数 ,则 ( ) A. B.2 C. D.4 【答案】A 【解析】函数 ,则 , 所以 .故选A. 3.设 ,则有( ) A. B. C. D. 学科网(北京)股份有限公司【答案】A 【解析】 ,当且仅当 时,等号成立,故 .故选A 4.设集合 ,则下列选项中,满足 的实数 的 取值范围是( ) A. B. ,或 C. D. ,或 【答案】D 【解析】要使 ,则 或 ,解得 ,或 . 所以满足 的实数 的取值范围是 ,或 .故选D 5.若函数 是定义域为 ,且对 ,且 ,有 ,不等式 的解集为( ) A. B. C. D. 【答案】C 【解析】函数 是定义域为 ,且对 ,且 ,有 , 即 , 为单调递增函数, ,整理得到: , 为单调递增函数, , 解得: ,故选C. 6.若不等式 的解集是 ,则不等式 的解集是( ) A. B. 学科网(北京)股份有限公司C. D. 【答案】C 【解析】因为不等式 的解集是: , 所以 和 是方程 的两个实数根, 由 ,解得: , 故不等式 ,即为 , 解不等式 ,得: ,所求不等式的解集是: . 故选C. 7.若集合 , ,若 ,则实数 的取值范围是( ) A. B. C. D. 【答案】A 【解析】因为 ,所以 ,所以 或 , 所以 或 , 当 时, 不成立,所以 ,所以 满足, 当 时,因为 ,所以 , 又因为 ,所以 ,所以 , 当 时,因为 ,所以 , 学科网(北京)股份有限公司又因为 ,所以 ,所以 , 综上可知: .故选A. 8.如图所示函数图象的表达式可以是( ) A. B. C. D. 【答案】A 【解析】由题意得:根据图像可得:函数 为偶函数, 在区间 上单调递减,在区间 上单调递增; 对于A项: 为偶函数,且 , 1 当 时,∵y=x单调递增,y=− 单调递增(反比例函数单调性性质),增函数+增函数=增函数, x 可得: 在区间 上单调递增, 当 时,同理可得: 在区间 上单调递减, 故A项正确. 对于B项: 为偶函数,且 , 当 时,易得: 在区间 上单调递减,故B项错误. 学科网(北京)股份有限公司对于C项: 为偶函数,且 当 时,易得 , , , 故C项错误; 对于D项: 为偶函数,且 , 当x>0时,易得 , ,故D项错误. 故选A. 9.若函数 在 上单调递增,则实数 的取值范围是( ) A. B. C. D. 【答案】A 【解析】由题意得, ,解得 , 所以实数 的取值范围是 .故选A. 第Ⅱ卷 二、填空题:本题共6小题,每小题5分,共30分. 10.已知命题 “ ”,则 :__________. 【答案】 【解析】因为命题 “ ”,则 : . 故答案为: . 学科网(北京)股份有限公司11.已知函数 是幂函数,且该函数是偶函数,则 的值是__________. 【答案】4 【解析】由题意得 ,解得 或1, 当 时, 为奇函数,不合要求,当 时, 为偶函数,满足要求, 故 .故答案为:4. 12.“不等式 对一切实数 都成立”,则 的取值范围为 . 【答案】 【解析】当 时,不等式 对一切实数 都成立, 所以 成立; 当 时,由题意得 解得: ; 综上所述: . 13. 是定义在 上的奇函数,且当 时, .则 时, __________;不等式 的解集是__________. 【答案】 【解析】当 时, , 所以 ,因为 是奇函数, 所以 ,所以 , 所以 时, ; 由 可得: , 学科网(北京)股份有限公司当 时, 在 上单调递增, 因为 是奇函数,所以 在 上单调递增, 所以 ,所以 . 故答案为: ; . 14.已知函数 ,①若对任意 ,且 都有 ,则实数 的取 值范围为__________;②若 在 上的值域为 ,则实数 的取值范围为__________. 【答案】 【解析】①若对任意 ,且 都有 , 则 在 单调递减,则 ,即 ,所以实数 的取值范围 ; ②当 时,若 在 上的值域为 , , 解得 或 (舍去),又 ,所以 ; 当 时,因为 在 单调递减, 则 在 上的最大值为 ,不合题意,所以 实数 的取值范围为 . 故答案为:① ;② . 15.已知函数 在 上的最大值为 ,在 上的最大值为 ,若 , 则实数 的取值范围是__________. 【答案】 【解析】由函数 ,作出 的图象如下: 学科网(北京)股份有限公司由题得: , 当 时,函数 在 上的最大值为 ,即 , 要使 ,则 ,令 ,解得: , , , , 由图可得,要使函数 在 上的最大值为 ,且 , 则 ,或 ,解得: . 当 时, 由图, 在 上最大值 , 在 上单调递增,最大值 , 不可能成立, 学科网(北京)股份有限公司综上,实数 的取值范围是 ,故答案为: . 三、解答题:本题共5小题,共75分.解答应写出文字说明、证明过程或演算步骤. 16.(14分) 已知集合 . (1)求 ,C (A∪B),(C A)∩B; R R (2)若 ,求实数 的取值范围. 【解析】(1)因为 , 所以 , , 所以C (A∪B)={x|x<1}, R 因为C A={x|x<3}, R 所以(C A)∩B={x|1≤x<3}.(8分) R (2)因为 ,所以 , 因为 , 所以 ,解得 . 所以实数a的取值范围是 .(14分) 17.(15分) 已知函数 . (1)若 ,求函数 在区间 上的最大和最小值; (2)解不等式 . 【解析】(1)解:当 时,可得 , 学科网(北京)股份有限公司则函数 表示开口向上的抛物线,且对称轴为 , 所以函数 在 上单调递减,在 上单调递增, 所以,当 时,函数 取得最小值,最小值为 , 又因为 ,所以函数的最大值为 , 综上可得,函数 的最大值为 ,最小值为 .(7分) (2)解:由不等式 ,即 , 即不等式 , 当 时,不等式即为 ,此时不等式的解集为空集; 当 时,即 时,不等式的解集为 ; 当 时,即 时,不等式的解集为 , 综上可得:当 时,不等式的解集为空集; 当 时,不等式的解集为 ;当 时,不等式的解集为 .(15分) 18.(15分) 已知函数 ,且其定义域为 . (1)判定函数 的奇偶性; (2)利用单调性的定义证明: 在 上单调递减; (3)解不等式 . 【解析】(1) 为奇函数,理由如下: 因为 ,且函数定义域为 ,关于原点对称, 所以 为奇函数. (5分) 学科网(北京)股份有限公司(2)任取0