当前位置:首页>文档>2025届广东省广州市高三一模普通高中毕业班综合测试(一)数学试题(含解析)_2025年3月_2503192025年广州市普通高中毕业班综合测试(一)(全科)

2025届广东省广州市高三一模普通高中毕业班综合测试(一)数学试题(含解析)_2025年3月_2503192025年广州市普通高中毕业班综合测试(一)(全科)

  • 2026-04-07 04:55:19 2026-02-10 16:27:20

文档预览

2025届广东省广州市高三一模普通高中毕业班综合测试(一)数学试题(含解析)_2025年3月_2503192025年广州市普通高中毕业班综合测试(一)(全科)
2025届广东省广州市高三一模普通高中毕业班综合测试(一)数学试题(含解析)_2025年3月_2503192025年广州市普通高中毕业班综合测试(一)(全科)
2025届广东省广州市高三一模普通高中毕业班综合测试(一)数学试题(含解析)_2025年3月_2503192025年广州市普通高中毕业班综合测试(一)(全科)
2025届广东省广州市高三一模普通高中毕业班综合测试(一)数学试题(含解析)_2025年3月_2503192025年广州市普通高中毕业班综合测试(一)(全科)
2025届广东省广州市高三一模普通高中毕业班综合测试(一)数学试题(含解析)_2025年3月_2503192025年广州市普通高中毕业班综合测试(一)(全科)
2025届广东省广州市高三一模普通高中毕业班综合测试(一)数学试题(含解析)_2025年3月_2503192025年广州市普通高中毕业班综合测试(一)(全科)
2025届广东省广州市高三一模普通高中毕业班综合测试(一)数学试题(含解析)_2025年3月_2503192025年广州市普通高中毕业班综合测试(一)(全科)
2025届广东省广州市高三一模普通高中毕业班综合测试(一)数学试题(含解析)_2025年3月_2503192025年广州市普通高中毕业班综合测试(一)(全科)
2025届广东省广州市高三一模普通高中毕业班综合测试(一)数学试题(含解析)_2025年3月_2503192025年广州市普通高中毕业班综合测试(一)(全科)
2025届广东省广州市高三一模普通高中毕业班综合测试(一)数学试题(含解析)_2025年3月_2503192025年广州市普通高中毕业班综合测试(一)(全科)
2025届广东省广州市高三一模普通高中毕业班综合测试(一)数学试题(含解析)_2025年3月_2503192025年广州市普通高中毕业班综合测试(一)(全科)
2025届广东省广州市高三一模普通高中毕业班综合测试(一)数学试题(含解析)_2025年3月_2503192025年广州市普通高中毕业班综合测试(一)(全科)
2025届广东省广州市高三一模普通高中毕业班综合测试(一)数学试题(含解析)_2025年3月_2503192025年广州市普通高中毕业班综合测试(一)(全科)
2025届广东省广州市高三一模普通高中毕业班综合测试(一)数学试题(含解析)_2025年3月_2503192025年广州市普通高中毕业班综合测试(一)(全科)
2025届广东省广州市高三一模普通高中毕业班综合测试(一)数学试题(含解析)_2025年3月_2503192025年广州市普通高中毕业班综合测试(一)(全科)
2025届广东省广州市高三一模普通高中毕业班综合测试(一)数学试题(含解析)_2025年3月_2503192025年广州市普通高中毕业班综合测试(一)(全科)
2025届广东省广州市高三一模普通高中毕业班综合测试(一)数学试题(含解析)_2025年3月_2503192025年广州市普通高中毕业班综合测试(一)(全科)
2025届广东省广州市高三一模普通高中毕业班综合测试(一)数学试题(含解析)_2025年3月_2503192025年广州市普通高中毕业班综合测试(一)(全科)
2025届广东省广州市高三一模普通高中毕业班综合测试(一)数学试题(含解析)_2025年3月_2503192025年广州市普通高中毕业班综合测试(一)(全科)
2025届广东省广州市高三一模普通高中毕业班综合测试(一)数学试题(含解析)_2025年3月_2503192025年广州市普通高中毕业班综合测试(一)(全科)
2025届广东省广州市高三一模普通高中毕业班综合测试(一)数学试题(含解析)_2025年3月_2503192025年广州市普通高中毕业班综合测试(一)(全科)
2025届广东省广州市高三一模普通高中毕业班综合测试(一)数学试题(含解析)_2025年3月_2503192025年广州市普通高中毕业班综合测试(一)(全科)
2025届广东省广州市高三一模普通高中毕业班综合测试(一)数学试题(含解析)_2025年3月_2503192025年广州市普通高中毕业班综合测试(一)(全科)
2025届广东省广州市高三一模普通高中毕业班综合测试(一)数学试题(含解析)_2025年3月_2503192025年广州市普通高中毕业班综合测试(一)(全科)
2025届广东省广州市高三一模普通高中毕业班综合测试(一)数学试题(含解析)_2025年3月_2503192025年广州市普通高中毕业班综合测试(一)(全科)

文档信息

文档格式
pdf
文档大小
4.360 MB
文档页数
21 页
上传时间
2026-02-10 16:27:20

文档内容

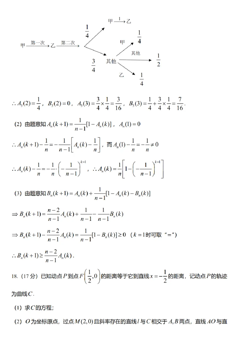
2025年广州市普通高中毕业班综合测试(一) 数 学 注意事项: 1.答卷前,考生务必将自己的姓名、考生号、考场号和座位号填写在答题卡上。用2B铅笔在答 题卡的相应位置填涂考生号。 2.作答选择题时,选出每小题答案后,用2B铅笔把答题卡上对应题目选项的答案信息点涂黑; 如需改动,用橡皮擦干净后,再选涂其他答案。答案不能答在试卷上。 3.非选择题必须用黑色字迹的钢笔或签字笔作答,答案必须写在答题卡各题目指定区域内的 相应位置上;如需改动,先划掉原来的答案,然后再写上新答案;不准使用铅笔和涂改液。不按以上 要求作答无效。 4.考生必须保持答题卡的整洁。考试结束后,将试卷和答题卡一并交回。 一、选择题:本题共8小题,每小题5分,共40分.在每小题给出的四个选项中,只有一项是符合题目 要求的. 1.若复数z满足1+iz=i,则z的虚部为 ( ) A. -1 B. 1 C. -i D. i 2.已知集合A={x∣0≤x≤a},B=x∣x2-2x≤0 1  ,若B⊆A,则实数a的取值范围是 ( ) A. 0,2  B. (0,2] C. 2,+∞  D. [2,+∞)    3.在平行四边形ABCD中,点E是BC边上的点,BC =4EC,点F是线段DE的中点,若AF =   λAB+μAD,则μ= ( ) 5 7 3 A. B. 1 C. D. 4 8 4 4.已知球O的表面积为4π,一圆台的上、下底面圆周都在球O的球面上,且下底面过球心O,母线 π 与下底面所成角为 ,则该圆台的侧面积为 ( ) 3 3 3 3 3 3 A. π B. π C. π D. 3π 4 2 2 x2 y2 5.已知点P在双曲线C: - =1a>0,b>0 a2 b2  上,且点P到C的两条渐近线的距离之积等于 a2 ,则C的离心率为 ( ) 2 A. 3 B. 2 C. 3 D. 2 6.已知实数a,b满足3a=4b,则下列不等式可能成立的是 ( ) A. b0,曲线y=cosωx与y=cosωx- 3  相邻的三个交点构成一个直角三角形,则ω= ( ) 3 2 A. π B. π C. 2π D. 3π 3 28.定义域为 R 的偶函数 f x 2  在 (-∞,0] 上单调递减,且 f 3  = 0,若关于 x 的不等式 mx-2  fx-2  ≥nx+3  f2-x  的解集为[-1,+∞),则em-2n+en+1的最小值为 ( ) A. 2e3 B. 2e2 C. 2e D. 2 e 二、选择题:本题共3小题,每小题6分,共18分.在每小题给出的选项中,有多项符合题目要求.全 部选对的得6分,部分选对的得部分分,有选错的得0分. 9.某位射击运动员的两组训练数据如下: 第一组:10,7,7,8,8,9,7;第二组:10,5,5,8,9,9,10.则 ( ) A. 两组数据的平均数相等 B. 第一组数据的方差大于第二组数据的方差 C. 两组数据的极差相等 D. 第一组数据的中位数小于第二组数据的中位数 10.已知函数fx  4-x =ln +ax在x=3处取得极大值,fx x  的导函数为fx  ,则 ( ) 4 A. a= 3 B. 当0fx2  C. f2+x  =f2-x  D. 当1≤x 1 ≤x 2 ≤3且x 1 +x 2 <4时,fx 1  +fx 2  16 < 3 11.如图,半径为1的动圆C沿着圆O:x2+y2=1外侧无滑动地滚动一周,圆C上的点Pa,b  形成的 外旋轮线Γ,因其形状像心形又称心脏线.已知运动开始时点P与点A1,0  重合.以下说法正 确的有 ( ) A. 曲线Γ上存在到原点的距离超过2 3的点 B. 点1,2  在曲线Γ上 C. 曲线Γ与直线x+y-2 2=0有两个交点 3 3 D. b≤ 2 三、填空题:本题共3小题,每小题5分,共15分. 12.已知cosαsinα-β  -sinαcosβ-α  3 = ,则sinβ= . 5 13.将1,2,3,⋯,9这9个数字填在3×3的方格表中,要求每一行从左到右、每一列从上到下的数字 依次变小.若将4填在如图所示的位置上,则填写方格表的方法共有 种. 14.在正三棱锥P-ABC中,PA=PB=PC=3 2,AB=6,点D在△ABC内部运动(包括边界), 点D到棱PA,PB,PC的距离分别记为d ,d ,d ,且d2+d2+d2=20,则点D运动路径的长度为 1 2 3 1 2 3 .四、解答题:本题共5小题,共77分.解答应写出文字说明、证明过程或演算步骤. 15.(13分) 在△ABC中,内角A,B,C的对边分别为a,b,c,已知c=a1+2cosB 3  . (1)求证:B=2A; (2)若a=3,b=2 6,求△ABC的面积. 16.(15分) 如图,在四棱锥P-ABCD中,底面ABCD为矩形,AB=2BC=2,侧面PCD是等边三角形,三 3 棱锥A-PBD的体积为 ,点E是棱CP的中点. 3 (1)求证:平面PBC⊥平面PCD; (2)求平面BDE与平面ABCD夹角的余弦值. 17.(15分) nn∈N∗,n≥3  个人相互传球,传球规则如下:若球由甲手中传出,则甲传给乙;否则,传球者等 可能地将球传给另外的n-1个人中的任何一个.第一次传球由甲手中传出,第kk∈N∗  次传 球后,球在甲手中的概率记为A nk  ,球在乙手中的概率记为B nk  . (1)求A 52  ,B 52  ,A 53  ,B 53  ; (2)求A nk  ; (3)比较B nk+1  n-2 与 n-1 A nk  的大小,并说明理由.18.(17分) 1 已知动点P到点F ,0 2 4  1 的距离等于它到直线x=- 的距离,记动点P的轨迹为曲线C. 2 (1)求C的方程; (2)O为坐标原点,过点M2,0  且斜率存在的直线l与C相交于A,B两点,直线AO与直线x= -2相交于点D,过点B且与C相切的直线交x轴于点E. (i)证明:直线DE⎳l; (ii)满足四边形ABDE的面积为12的直线l共有多少条?说明理由. 19.(17分) 已知 n ∈ N∗且 n ≥ 3,集合 A = a,a ,⋯,a n 1 2 n  ,其中 0 < a < a <⋯< a .若存在函数 1 2 n fx  fx   ≠x  ,其图象在区间D= a 1 ,a n  上是一段连续曲线,且 fa i   ∣a∈A i n  =A ,则称 n fx  2 是A 的T变换函数,集合A 是D的T子集.例如,设A = ,1, 2,2,3 n n 5  3  ,此时函数fx  2 2 = 是A 的T变换函数,A 是  ,3 x 5 5  3  的T子集. (1)判断集合{1,2,8,9}是否是1,9  的T子集?说明理由; (2)判断fx  2 =ln1+ ex  是否为集合A 的T变换函数?说明理由; n (3)若a i