当前位置:首页>文档>江西省南昌市2025届高三信息卷数学答案_2025年5月_250517江西省南昌市2025届高三信息卷(南昌三模)(全科)_江西省南昌市2025届高三信息卷数学

江西省南昌市2025届高三信息卷数学答案_2025年5月_250517江西省南昌市2025届高三信息卷(南昌三模)(全科)_江西省南昌市2025届高三信息卷数学

  • 2026-04-07 03:40:47 2026-02-11 11:18:02

文档预览

江西省南昌市2025届高三信息卷数学答案_2025年5月_250517江西省南昌市2025届高三信息卷(南昌三模)(全科)_江西省南昌市2025届高三信息卷数学
江西省南昌市2025届高三信息卷数学答案_2025年5月_250517江西省南昌市2025届高三信息卷(南昌三模)(全科)_江西省南昌市2025届高三信息卷数学
江西省南昌市2025届高三信息卷数学答案_2025年5月_250517江西省南昌市2025届高三信息卷(南昌三模)(全科)_江西省南昌市2025届高三信息卷数学
江西省南昌市2025届高三信息卷数学答案_2025年5月_250517江西省南昌市2025届高三信息卷(南昌三模)(全科)_江西省南昌市2025届高三信息卷数学
江西省南昌市2025届高三信息卷数学答案_2025年5月_250517江西省南昌市2025届高三信息卷(南昌三模)(全科)_江西省南昌市2025届高三信息卷数学
江西省南昌市2025届高三信息卷数学答案_2025年5月_250517江西省南昌市2025届高三信息卷(南昌三模)(全科)_江西省南昌市2025届高三信息卷数学
江西省南昌市2025届高三信息卷数学答案_2025年5月_250517江西省南昌市2025届高三信息卷(南昌三模)(全科)_江西省南昌市2025届高三信息卷数学
江西省南昌市2025届高三信息卷数学答案_2025年5月_250517江西省南昌市2025届高三信息卷(南昌三模)(全科)_江西省南昌市2025届高三信息卷数学

文档信息

文档格式
pdf
文档大小
0.615 MB
文档页数
4 页
上传时间
2026-02-11 11:18:02

文档内容

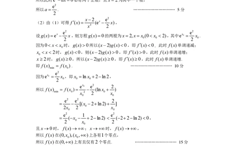
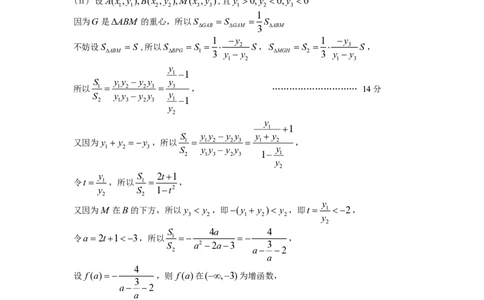
2025届高三信息卷 数学 参考答案及评分意见 一、选择题:本题共8小题,每小题5分,共40分。在每小题给出的四个选项中,只有一 项是符合题目要求的。 题号 1 2 3 4 5 6 7 8 答案 C A A D D D B B 二、选择题:本题共3小题,每题6分,共18分。在每小题给出的选项中,有多项符合题 目要求。全部选对的得6分,部分选对的得部分分,有选错的得0分。 题号 9 10 11 答案 ABC AB ACD 三、填空题:本题共3小题,每小题5分,共15分。 7 12.1 13.60 14. 18 四、解答题:本题共5小题,共77分。解答应写出文字说明、证明过程或演算步骤。 15.【解析】(1)由3cos2Acos2B2,得3(12sin2 A)(12sin2B)2, 则sin2B3sin2 A(sinA,sinB0),sinB 3sinA, 由正弦定理得:b 3a3. …………………… 6分 BC 3 (2)设CBD,在RtBCD中,cos  , BD 3c 在ABC中,由余弦定理得:AB2 BC2  AC2 2ABBCcos(π), 3 即c2 392c 3( )2,所以c2 4,即c2. …………………… 13分 3c 16.【解析】(1)分别过A,B,C作底面DEF 的垂线,垂足A,B ,C , 1 1 1 垂足分别为DE,EF,FD的中点,所以AA //BB,AA  BB , 1 1 1 1 所以四边形AABB为平行四边形,所以AB//AB , 1 1 1 1 所以AB//平面DEF ,同理CB//平面DEF . 故平面ABC∥平面DEF . …………………… 6分 (2)取DE的中点O,分别以OE,OF ,OA为x,y,z轴的正半轴建立空间直角坐标系, 3 1 3 3 1 1 则A(0,0, ),C( , , ),D( ,0,0),E( ,0,0), 2 4 4 2 2 2  1 3  1 3 所以AC ( , ,0),AD( ,0, ), 4 4 2 2  设平面CDA的法向量为n (x,y,z), 1  1 3  n    A  C  0    4 x 4 y 0 则 1 ,所以 ,    n AD 0  1 3 1  x z 0   2 2  令x3,得y  3,z  3,所以n (3, 3, 3), 1  由图可知平面EDA的一个法向量为n (0,1,0), ………………………… 11分 2    n n 3 5 所以cosn ,n  1 2   ,   1 2 |n ||n | 151 5 1 2 2 5 所以二面角CDAE 的正弦值为 . ………………………… 15分 5 x2 17.【解析】(1)因为 f(x) (ex ax),而x2不是 f(x)的极值点, x3 所以方程ex ax0还有其它正根(变号零点), 若曲线y ex和y ax在(0,)只有一个公共点, 则y ex和y ax相切,不符合题意, 所以此时ex ax0必有两个正根,且x2为其中一个根, e2 所以a . ………………………… 5分 2 x2 e2 (2)由(1)可得 f(x) (ex  x), x3 2 e2 e2 设g(x)ex  x,则方程g(x)0的两根为x2,x x (0 x 2),其中ex 0  x . 2 0 0 2 0 因为0 x x 时,g(x)0所以(x2)g(x)0,即 f(x)0,此时 f(x)单调递减; 0 x  x2时,g(x)0,则(x2)g(x)0,即 f(x)0,此时 f(x)单调递增; 0 x2时,g(x)0,所以(x2)g(x)0,即 f(x)0,此时 f(x)单调递增. 即 f(x)  f(x ). ………………………… 10分 min 0 e2 因为ex 0  x ,即x lnx 2ln2, 2 0 0 0 ex 0 e2 2 所以 f(x)  f(x )  (lnx  ) min 0 x 2 2 0 x 0 0 e2 e2 2   [(x 2ln2) ] 2x 2 0 x 0 0 e2 1 e2  (x  2ln2)  (22ln2)0, 2 0 x 2 0 且x0时, f(x);x时, f(x), 所以 f(x)在(0,x ),(x ,)上各有1个零点, 0 0 所以 f(x)在(0,)上有且仅有2个零点. ………………………… 15分 18. 【解析】(1)依题意可知动点Q到点(1,0)的距离等于到直线x1的距离 所以动点Q的轨迹是以F 为焦点,x1为准线的抛物线. 所以C的方程为y2 4x. ………………………… 5分 (2)(ⅰ)设A(x ,y ),B(x ,y ),M(x ,y ) 1 1 2 2 3 3 y2 4x 4 因为A,B在曲线C上,则有 1 1 ,两式相减得:k  .  y 2 2 4x 2 AB y 1  y 2 4 4 同理k  ,k  . AM y  y BM y  y 1 3 2 3 因为ABM 为直角三角形,即MAMB4 4 所以k k 1,即  1. MA MB y  y y  y 1 3 2 3 则y y (y  y )y  y2 16, ………………………… 8分 1 2 1 2 3 3 又因为ABM 的重心G 在x轴上.则有y  y  y 0,即y  y y 1 2 3 1 2 3 所以y y 16, 1 2 4 直线AB的方程为y y  (xx ), 1 y  y 1 1 2 所以直线AB的方程为4x(y  y )y y y 0, 1 2 1 2 所以直线AB经过定点P(4,0); ………………………… 11分 (ⅱ) 设A(x ,y ),B(x ,y ),M(x ,y ),且y 0,y 0,y 0 1 1 2 2 3 3 1 2 3 1 因为G 是ABM 的重心,所以S S  S GAB GAM 3 ABM 1 y 1 y 不妨设S  S ,所以S S   2 S,S S   3 S, ABM BPG 1 3 y  y MGH 2 3 y  y 1 2 1 3 y 1 1 S y y  y y y 所以 1  1 2 2 3  3 , ………………………… 14分 S y y  y y y 2 1 3 2 3 1 1 y 2 y 1 1 S y y  y y y  y 又因为y  y y ,所以 1  1 2 2 3  1 2 , 1 2 3 S y y y y y 2 1 3 2 3 1 1 y 2 y S 2t1 令t  1 ,所以 1  , y S 1t2 2 2 y 又因为M 在B的下方,所以y  y ,即(y  y ) y ,即t  1 2, 3 2 1 2 2 y 2 S 4a 4 令a 2t13,所以 1   , S a2 2a3 3 2 a 2 a 4 设 f(a) ,则 f(a)在(,3)为增函数, 3 a 2 a S 所以0 f(a)1,即 1 (0,1). ………………………… 17分 S 2 19.【解析】(1)设这三张卡片标记的数字从小到大依次记为a ,a ,a ,排列有: 1 2 3 aa a ,aa a ,a aa ,a a a ,a aa ,a a a 1 2 3 1 3 2 2 1 3 2 3 1 3 1 2 3 2 1 按照甲的策略,能取到a 的有: 3 aa a ,a aa ,a a a , 1 3 2 2 1 3 2 3 1 3 1 所以,甲选到这3张卡片数字中的最大数字的概率是  ; ……………… 4分 6 2 (2)X 的可能取值可以是1,2,3,4,将这四张卡片排成一列,有A4 24种排法, 4"X 1"表示标记数字4的卡片排在前2位,标记数字1的卡片排在第4位, A1A2 1 P(X 1) 2 2  ; 24 6 "X 2"表示标记数字4的卡片排在前2位,标记数字2的卡片排在第4位, A1A2 1 P(X 2) 2 2  ; 24 6 "X 3"表示标记数字1,2的卡片排在前2位,标记数字3的卡片排在第3位,或标记数字 4的卡片排在前2位,标记数字3的卡片排在第4位, A2 A1A2 1 P(X 3) 2  2 2  ; 24 24 4 "X 4"表示标记数字3的卡片排在前2位,标记数字4的卡片排在后2位, 或标记数字 1,2的卡片排在前2位,标记数字4的卡片排在第3位, A1A1A2 A2 5 P(X 4) 2 2 2  2  ; 24 24 12 因此,随机变量X 的分布列是 X 1 2 3 4 1 1 1 5 P 6 6 4 12 1 2 3 20 24920 35 EX       ; ………………………… 10分 6 6 4 12 12 12 (3)设这n张卡片标记的数字从小到大依次记为a ,a ,a ,,a ,将这n个数字随机排列, 1 2 3 n 共有An n 甲选取到这n张卡片中的最大数字,即甲选到数字a ,可以分为a 排在第k1,k2,,n n n 位,并且甲选中a ,分别记为事件A(i k1,k2,,n), n i 1 A 表示a 排在第k 1位,其它卡片随机排,因此,P(A ) ; k1 n k1 n A 表示a 排在第i位,且前i1个数中的最大数在前k 位,(ik2,k3,,n1,n) i n 因此, Ani kAi2 (n1)(n2)(i1)ik(i2)(i3)21 k P(A) n1 i2   , i An n(n1)21 n(i1) n 因此,甲选到最大数字的概率为: k 1 1 1 P  (   ), k n k k1 n1 k1 1 1 k 1 1 1 P P  (  ) (   ) k1 k n k1 n1 n k k1 n1 1 1 1  (  1), n k1 n1 因为P 最大,所以P P 0,P P 0,即 k k 1 k k k 1 0 0 0 0 0 1 1 1 1 1 1 1   1    . …………… 17分 k 1 k 2 n1 k k 1 k 2 n1 0 0 0 0 0