当前位置:首页>文档>2010年高考化学试卷(全国卷Ⅰ)(空白卷)_化学历年高考真题_新·PDF版2008-2025·高考化学真题_化学(按省份分类)2008-2025_2008-2025·(河北)化学高考真题

2010年高考化学试卷(全国卷Ⅰ)(空白卷)_化学历年高考真题_新·PDF版2008-2025·高考化学真题_化学(按省份分类)2008-2025_2008-2025·(河北)化学高考真题

  • 2026-04-09 10:03:06 2026-02-11 22:14:11

文档预览

2010年高考化学试卷(全国卷Ⅰ)(空白卷)_化学历年高考真题_新·PDF版2008-2025·高考化学真题_化学(按省份分类)2008-2025_2008-2025·(河北)化学高考真题
2010年高考化学试卷(全国卷Ⅰ)(空白卷)_化学历年高考真题_新·PDF版2008-2025·高考化学真题_化学(按省份分类)2008-2025_2008-2025·(河北)化学高考真题
2010年高考化学试卷(全国卷Ⅰ)(空白卷)_化学历年高考真题_新·PDF版2008-2025·高考化学真题_化学(按省份分类)2008-2025_2008-2025·(河北)化学高考真题
2010年高考化学试卷(全国卷Ⅰ)(空白卷)_化学历年高考真题_新·PDF版2008-2025·高考化学真题_化学(按省份分类)2008-2025_2008-2025·(河北)化学高考真题
2010年高考化学试卷(全国卷Ⅰ)(空白卷)_化学历年高考真题_新·PDF版2008-2025·高考化学真题_化学(按省份分类)2008-2025_2008-2025·(河北)化学高考真题
2010年高考化学试卷(全国卷Ⅰ)(空白卷)_化学历年高考真题_新·PDF版2008-2025·高考化学真题_化学(按省份分类)2008-2025_2008-2025·(河北)化学高考真题
2010年高考化学试卷(全国卷Ⅰ)(空白卷)_化学历年高考真题_新·PDF版2008-2025·高考化学真题_化学(按省份分类)2008-2025_2008-2025·(河北)化学高考真题
2010年高考化学试卷(全国卷Ⅰ)(空白卷)_化学历年高考真题_新·PDF版2008-2025·高考化学真题_化学(按省份分类)2008-2025_2008-2025·(河北)化学高考真题
2010年高考化学试卷(全国卷Ⅰ)(空白卷)_化学历年高考真题_新·PDF版2008-2025·高考化学真题_化学(按省份分类)2008-2025_2008-2025·(河北)化学高考真题

文档信息

文档格式
pdf
文档大小
0.248 MB
文档页数
5 页
上传时间
2026-02-11 22:14:11

文档内容

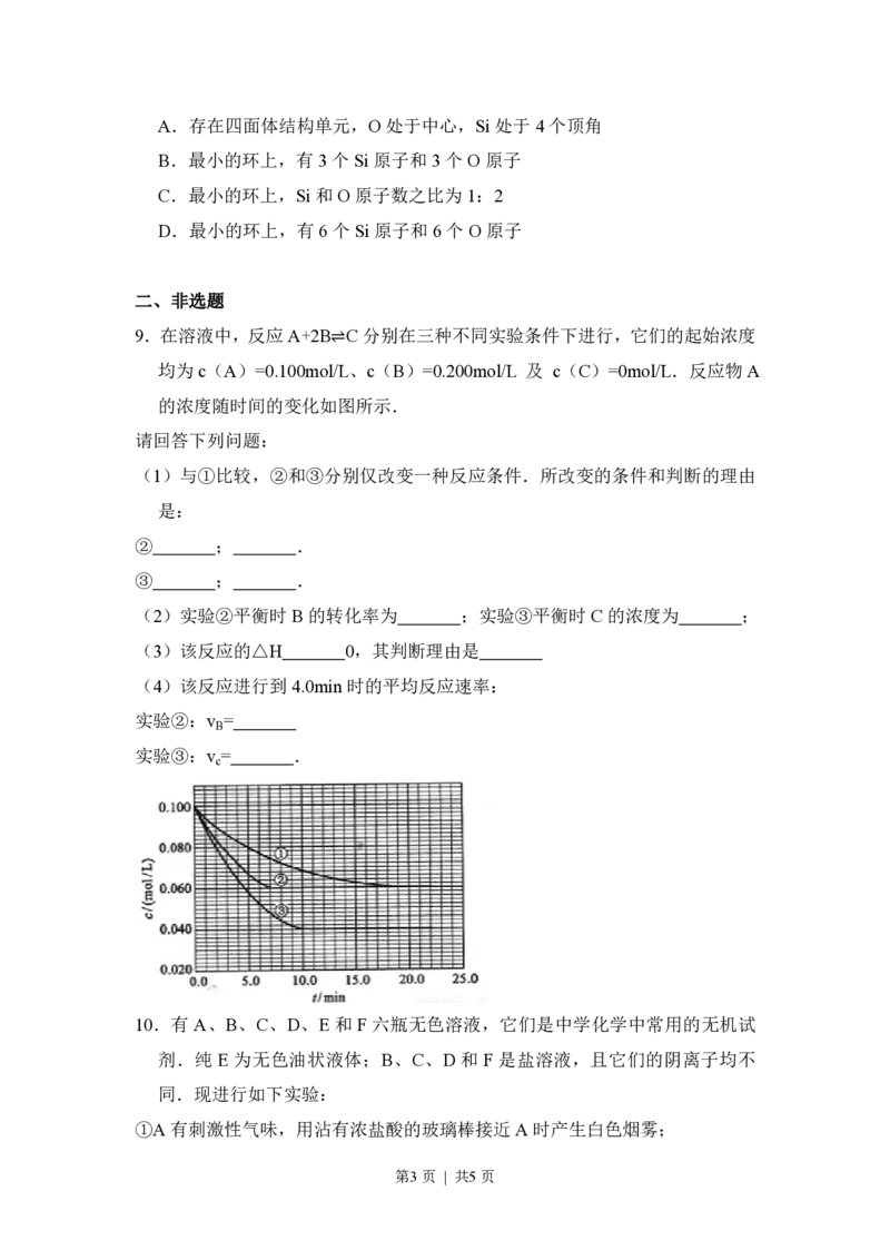
2010 年全国统一高考化学试卷(全国卷Ⅰ) 一、选择题 1.(3分)下列判断错误的是( ) A.熔点:Si N >NaCl>SiI 3 4 4 B.沸点:NH >PH >AsH 3 3 3 C.酸性:HClO >H SO >H PO 4 2 4 3 4 D.碱性:NaOH>Mg(OH) >Al(OH) 2 3 2.(3分)下列叙述正确的是( ) A.Li在氧气中燃烧主要生成Li O 2 2 B.将CO 通入次氯酸钙溶液可生成次氯酸 2 C.将SO 通入BaCl 溶液可生成BaSO 沉淀 2 2 3 D.将NH 通入热的CuSO 溶液中能使Cu2+还原成Cu 3 4 3.(3分)能正确表示下列反应的离子方程式是( ) A.将铁粉加入稀硫酸中2Fe+6H+═2Fe3++3H ↑ 2 B.将磁性氧化铁溶于盐酸Fe O +8H+═3Fe3++4H O 3 4 2 C.将氯化亚铁溶液和稀硝酸混合Fe2++4H++NO ﹣═Fe3++2H O+NO↑ 3 2 D.将铜屑加Fe3+溶液中2Fe3++Cu═2Fe2++Cu2+ 4.(3分)下列叙述正确的是( ) A.某醋酸溶液的pH=a,将此溶液稀释1倍后,溶液的pH=b,则a>b B.在滴有酚酞溶液的氨水中,加入NH Cl的溶液恰好无色,则此时溶液pH 4 <7 C.常温下,1.0×10﹣3mol/L盐酸的pH=3.0,1.0×10﹣8mol/L盐酸pH=8.0 D.若1mLpH=1盐酸与100mLNaOH溶液混合后,溶液pH=7,则NaOH溶 液的pH=11 5.(3 分)如图是一种染料敏化太阳能电池的示意图。电池的一个电极由有机 光敏燃料(S)涂覆在 TiO 纳米晶体表面制成,另一电极由导电玻璃镀铂构 2 成,电池中发生的反应为: TiO /s→TiO /S﹡(激发态) 2 2 第1页 | 共5页TiO /S﹡→TiO /S++e﹣ 2 2 I ﹣+2e﹣→3I﹣ 3 2TiO /S++3I﹣→2TiO /S+I ﹣ 2 2 3 下列关于该电池叙述错误的是( ) A.电池工作时,是将太阳能转化为电能 B.电池工作时,I﹣离子在镀铂导电玻璃电极上放电 C.电池中镀铂导电玻璃为正极 D.电池的电解质溶液中I﹣和I ﹣的浓度不会减少 3 6.(3分)如图表示4﹣溴环己烯所发生的4个不同反应.其中,有机产物只含 有一种官能团的反应是( ) A.①④ B.③④ C.②③ D.①② 7.(3 分)一定条件下磷与干燥氯气反应,若 0.25g 磷消耗掉 314mL 氯气(标 准状况),则产物中PCl 与PCl 的物质的量之比接近于( ) 3 5 A.1:2 B.2:3 C.3:1 D.5:3 8.(3分)下面关于SiO 晶体网状结构的叙述正确的是( ) 2 第2页 | 共5页A.存在四面体结构单元,O处于中心,Si处于4个顶角 B.最小的环上,有3个Si原子和3个O原子 C.最小的环上,Si和O原子数之比为1:2 D.最小的环上,有6个Si原子和6个O原子 二、非选题 9.在溶液中,反应A+2B⇌C分别在三种不同实验条件下进行,它们的起始浓度 均为c(A)=0.100mol/L、c(B)=0.200mol/L 及 c(C)=0mol/L.反应物A 的浓度随时间的变化如图所示. 请回答下列问题: (1)与①比较,②和③分别仅改变一种反应条件.所改变的条件和判断的理由 是: ② ; . ③ ; . (2)实验②平衡时B 的转化率为 ;实验③平衡时C的浓度为 ; (3)该反应的△H 0,其判断理由是 (4)该反应进行到4.0min时的平均反应速率: 实验②:v = B 实验③:v = . c 10.有 A、B、C、D、E 和 F 六瓶无色溶液,它们是中学化学中常用的无机试 剂.纯 E 为无色油状液体;B、C、D 和 F 是盐溶液,且它们的阴离子均不 同.现进行如下实验: ①A有刺激性气味,用沾有浓盐酸的玻璃棒接近A时产生白色烟雾; 第3页 | 共5页②将 A 分别加入其它五种溶液中,只有 D、F 中有沉淀产生;继续加入过量 A 时,D 中沉淀无变化,F中沉淀完全溶解; ③将 B 分别加入 C、D、E、F 中,C、D、F 中产生沉淀,E 中有无色、无味气 体逸出; ④将C分别加入D、E、F中,均有沉淀生成,再加入稀HNO ,沉淀均不溶. 3 根据上述实验信息,请回答下列问题: (1)能确定溶液是(写出溶液标号与相应溶质的化学式): (2)不能确定的溶液,写出其标号、溶质可能的化学式及进一步鉴别的方 法: . 11.请设计CO 在高温下与木炭反应生成CO的实验. 2 (1)在下面方框中,A 表示有长颈漏斗和锥形瓶组成的气体发生器,请在答题 卡上的 A 后完成该反应的实验装置示意图(夹持装置,连接胶管及尾气处理 不分不必画出,需要加热的仪器下方用△标出),按气流方向在每件仪器下 方标出字母 B、C…;其他可选用的仪器(数量不限)简易表示如下: (2)根据方框中的装置图,在答题卡上填写该表 仪器符号 仪器中所加物质 作用 A 石灰石、稀盐酸 石灰石与盐酸生成CO 2 (3)有人对气体发生器作如下改进:在锥形瓶中放入一小试管,将长颈漏斗下 端插入小试管中.改进后的优点是 ; (4)验证CO的方法是 . 12.有机化合物A~H 的转换关系如下所示: 第4页 | 共5页请回答下列问题: (1)链烃A有支链且只有一个官能团,其相对分子质量在65~75之间,1 mol A 完全燃烧消耗7mol氧气,则A的结构简式是 ,名称是 ; (2)在特定催化剂作用下,A与等物质的量的H 反应生成E.由E转化为F的 2 化学方程式是 ; (3)G与金属钠反应能放出气体.由G转化为H的化学方程式是 ; (4)①的反应类型是 ;③的反应类型是 ; (5)链烃B 是A的同分异构体,分子中的所有碳原子共平面,其催化氢化产物 为正戊烷,写出B 所有可能的结构简式 ; (6)C 也是 A 的一种同分异构体,它的一氯代物只有一种(不考虑立体异 构).则C 的结构简式为 . 第5页 | 共5页