当前位置:首页>文档>2012年高考政治试卷(北京)(空白卷)_政治历年高考真题_新·PDF版2008-2025·高考政治真题_政治(按年份分类)2008-2025_2012·政治高考真题

2012年高考政治试卷(北京)(空白卷)_政治历年高考真题_新·PDF版2008-2025·高考政治真题_政治(按年份分类)2008-2025_2012·政治高考真题

  • 2026-03-21 22:59:00 2026-01-25 11:47:48

文档预览

2012年高考政治试卷(北京)(空白卷)_政治历年高考真题_新·PDF版2008-2025·高考政治真题_政治(按年份分类)2008-2025_2012·政治高考真题
2012年高考政治试卷(北京)(空白卷)_政治历年高考真题_新·PDF版2008-2025·高考政治真题_政治(按年份分类)2008-2025_2012·政治高考真题
2012年高考政治试卷(北京)(空白卷)_政治历年高考真题_新·PDF版2008-2025·高考政治真题_政治(按年份分类)2008-2025_2012·政治高考真题
2012年高考政治试卷(北京)(空白卷)_政治历年高考真题_新·PDF版2008-2025·高考政治真题_政治(按年份分类)2008-2025_2012·政治高考真题
2012年高考政治试卷(北京)(空白卷)_政治历年高考真题_新·PDF版2008-2025·高考政治真题_政治(按年份分类)2008-2025_2012·政治高考真题
2012年高考政治试卷(北京)(空白卷)_政治历年高考真题_新·PDF版2008-2025·高考政治真题_政治(按年份分类)2008-2025_2012·政治高考真题

文档信息

文档格式
pdf
文档大小
0.214 MB
文档页数
6 页
上传时间
2026-01-25 11:47:48

文档内容

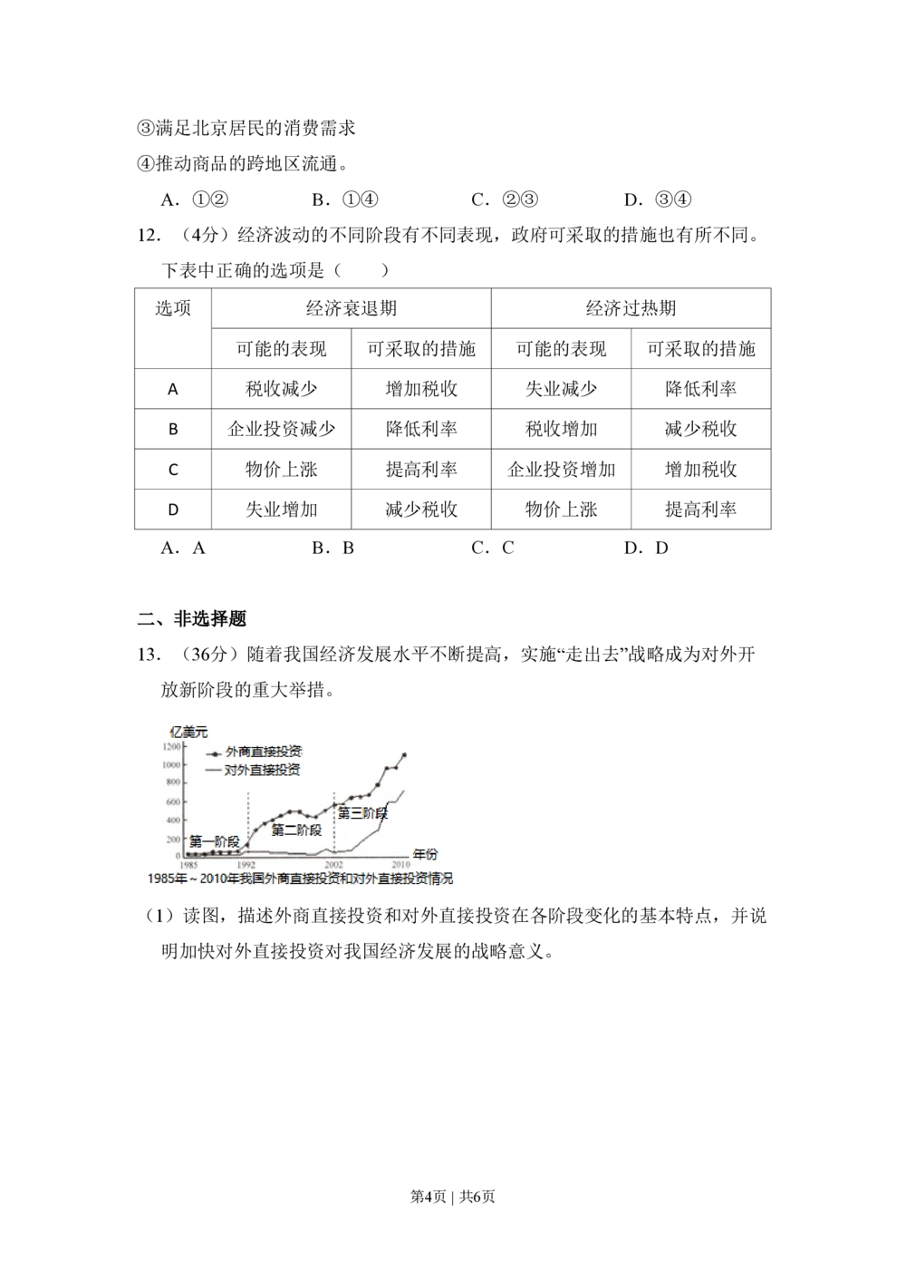
2012年北京市高考政治试卷 一、选择题(每小题0分) 优秀城市雕塑体现了城市的精神品质和文化追求。北京“十二五”期间将新 建一批呈现北京历史文化特色和“北京精神”的城市雕塑,分布在京城的大街小 巷。回答1、2题。 1.(4分)优秀城市雕塑的文化价值主要表现为( ) ①显示城市的文化底蕴 ②活跃城市的文化市场 ③增强人们的精神力量 ④培育优秀的文化人才。 A.①③ B.①④ C.②③ D.②④ 2.(4分)优秀城市雕塑作为公共环境艺术作品( ) ①体现了城市环境对雕塑风格的依赖 ②反映了雕塑理念与城市环境的统一 ③体现了城市环境是时代精神的产物 ④反映了历史情怀与时代精神的整合。 A.①② B.①③ C.②④ D.③④ 3.(4分)随着国际化程度不断提高,北京越来越多的中餐馆开始提供英文菜 单,但一些菜单的译法闹出不少笑话。看来有关部门出版了《美食译苑﹣﹣ 中文菜单英文译法》一书,将2158道中餐菜名翻译成外国人能看懂的英文名 称。此举有助于( ) A.丰富中华饮食文化的内涵 B.促进中西饮食文化的传播 C.展现中华饮食文化的魅力 D.减少中西饮食文化的差异 4.(4分)加强改革顶层设计和总体规划,重点解决体制性障碍和深层次矛盾 ,全面协调推进经济、政治、文化、社会等体制创新。从哲学角度,以上论 述( ) ①运用了科学的系统优化方法 ②把握了矛盾主次方面的辩证统一 ③坚持了重点论和两点论统一 第1页 | 共6页④强调了整体功能是部分功能之和。 A.①③ B.①④ C.②③ D.②④ 5.(4分)如图漫画中人的困境启示我们,实现人生目标要( ) A.坚定的理想信念 B.以客观条件为基础 C.百折不挠反复实践 D.努力发展自身才能 6.(4分)制定和实施村规民约是村民自治的有效途径。我国《村民委员会组 织法》规定,村规民约的内容不得与宪法、法律、法规和国家的政策相抵触 ,不得有侵犯村民的人身权利、民主权利和合法财产权利的内容。下列内容 能够纳入村规民约的是( ) A.外出务工者必须按时返乡参加选举 B.牲畜毁坏他人农作物被打死不赔偿 C.村委会定期张榜公布村内重要事项 D.村民发生纠纷必须服从村委会裁定 7.(4分)近年来,北京市公安局开辟了“人大代表、政协委员直通车”、“人民 来访接待室”、“政法民声热线”等民意渠道,对收集的民意进行分析,做到“ 警务跟着社情民意走、警力围着群众工作转”。这些做法强调( ) ①坚持群众路线,转变工作作风 ②重视代表提案,维护群众权益 ③促进信息公开,审慎行使权力 ④加强公民参与,主动接受监督。 A.①③ B.①④ C.②③ D.②④ 8.(4分)某班同学以小组为单位进行综合探究。回答8、9题。 甲组同学撰写论文的主要参考文献有:《关于推动宗教参与和和谐社会建设的 思考》、《发挥宗教团体在赈灾救济中的社会功能》、《论农村信教群众在 第2页 | 共6页新农村建设中的作用》、《新时期爱国宗教人士的培养研究》.据此推断, 甲组的研究主题最可能是( ) A.我国如何依法管理宗教事务 B.我国如何实行宗教信仰自由政策 C.我国宗教如何坚持独立自主自办的原则 D.我国如何引导宗教与社会主义社会相适应 9.(4分)某班同学以小组为单位进行综合探究。回答8、9题。 乙组同学就所学《国家和国际组织常识》的内容,拟出下列命题准备开展研究 ,其中不成立的是( ) A.人民民主制度是民主与专政的统一 B.代议制的本质是直接民主 C.我国国家管理形式具有代议制特征 D.法国现行政体具有议会制的点 10.(4分)某两种商品的价格变化如图所示,由此可以推断出( ) A.两种商品之间相互替代 B.商品1在市场上供不应求 C.商品2的生产企业利润上升 D.商品2的市场供给量高于商品1 11.(4分)近年来,西藏青稞酒、山西老陈醋、新疆沙棘汁等各地名优土特产 纷纷出现在北京的“商品大集”上,广受市民青睐。一系列“商品大集”的举办 有利于( ) ①提升北京居民的消费结构 ②加快生产要素向北京聚集 第3页 | 共6页③满足北京居民的消费需求 ④推动商品的跨地区流通。 A.①② B.①④ C.②③ D.③④ 12.(4分)经济波动的不同阶段有不同表现,政府可采取的措施也有所不同。 下表中正确的选项是( ) 选项 经济衰退期 经济过热期 可能的表现 可采取的措施 可能的表现 可采取的措施 A 税收减少 增加税收 失业减少 降低利率 B 企业投资减少 降低利率 税收增加 减少税收 C 物价上涨 提高利率 企业投资增加 增加税收 D 失业增加 减少税收 物价上涨 提高利率 A.A B.B C.C D.D 二、非选择题 13.(36分)随着我国经济发展水平不断提高,实施“走出去”战略成为对外开 放新阶段的重大举措。 (1)读图,描述外商直接投资和对外直接投资在各阶段变化的基本特点,并说 明加快对外直接投资对我国经济发展的战略意义。 第4页 | 共6页(2)评析斯密关于分工的观点,并据此说明对外直接投资对企业生产经营的影 响。 截止2011年底,我国对外直接投资企业已达1.8万多家,遍及全球178个国 家和地区。目前我国企业对外直接投资还存在一些制约因素:对外投资审批环 节多,对东道国政治、公共安全和社会民生等信息掌握不够,有的对外投资企 业环保责任意识淡薄,个别国家对中国企业的到来怀有疑虑,有的国家复杂的 社会政治环境影响我国企业人员和资产安全…… (3)结合材料,针对企业对外直接投资在国内外遇到的问题,说明我国政府应 如何帮助企业更好地“走出去”。 作为我国对外直接投资的主体,企业在对外直接投资中要面对东道国语言 、风俗习惯、价值观、宗教信仰等文化差异带来的挑战。 (4)运用《文化生活》中的相关知识,谈谈我国对外直接投资企业应对上述挑 战应有的正确态度。 第5页 | 共6页14.(4分)发展经济、改善民生是国家和民族发展的目标与责任。让群众广泛 享有免费或优惠的基本公共文化服务,是文化惠民工程的重要内容。试举文 化惠民工程的一个实例,并用《文化生活》中扶持公益性文化事业的相关知 识加以简要说明。 15.(12分)地图反映了人们认识世界的程度,地图的变化记录了人们认识世 界的过程。 欧洲中世纪时,地图主要由神职人员绘制,当时欧洲的世界地图千篇一律:基 督教圣地耶路撒冷居于中心,多瑙河、地中海和顿河呈“T”字型,把世界分割为 欧、亚、非三部分。中国古代地图大部分由官方或士大夫绘制,主要用于日常 行政事务管理和作为诗史的辅助工具,在中国古代绘制的世界地图中,中国占 据绝部分图幅,政区表现较为准确,中国疆域之外则绘制简略,严重失真人。 由于人类活动范围的局限,早期地图绘制者认为地球平的。15、16世纪哥伦布 等航海家证实地球是圆的。随着遥感技术的广泛应用,现在的世界地图日益精 准,更好地满足了生产生活的需要。 结合材料,说明认识对实践的依赖关系。 第6页 | 共6页