当前位置:首页>文档>双流中学高2024届高三10月月考理科数学试题(1)_2023年10月_0210月合集_2024届四川省成都市双流中学高三上学期10月月考_四川省成都市双流中学2024届高三上学期10月月考理科数学

双流中学高2024届高三10月月考理科数学试题(1)_2023年10月_0210月合集_2024届四川省成都市双流中学高三上学期10月月考_四川省成都市双流中学2024届高三上学期10月月考理科数学

  • 2026-04-08 19:54:31 2026-02-12 17:23:42

文档预览

双流中学高2024届高三10月月考理科数学试题(1)_2023年10月_0210月合集_2024届四川省成都市双流中学高三上学期10月月考_四川省成都市双流中学2024届高三上学期10月月考理科数学
双流中学高2024届高三10月月考理科数学试题(1)_2023年10月_0210月合集_2024届四川省成都市双流中学高三上学期10月月考_四川省成都市双流中学2024届高三上学期10月月考理科数学
双流中学高2024届高三10月月考理科数学试题(1)_2023年10月_0210月合集_2024届四川省成都市双流中学高三上学期10月月考_四川省成都市双流中学2024届高三上学期10月月考理科数学
双流中学高2024届高三10月月考理科数学试题(1)_2023年10月_0210月合集_2024届四川省成都市双流中学高三上学期10月月考_四川省成都市双流中学2024届高三上学期10月月考理科数学
双流中学高2024届高三10月月考理科数学试题(1)_2023年10月_0210月合集_2024届四川省成都市双流中学高三上学期10月月考_四川省成都市双流中学2024届高三上学期10月月考理科数学
双流中学高2024届高三10月月考理科数学试题(1)_2023年10月_0210月合集_2024届四川省成都市双流中学高三上学期10月月考_四川省成都市双流中学2024届高三上学期10月月考理科数学
双流中学高2024届高三10月月考理科数学试题(1)_2023年10月_0210月合集_2024届四川省成都市双流中学高三上学期10月月考_四川省成都市双流中学2024届高三上学期10月月考理科数学
双流中学高2024届高三10月月考理科数学试题(1)_2023年10月_0210月合集_2024届四川省成都市双流中学高三上学期10月月考_四川省成都市双流中学2024届高三上学期10月月考理科数学
双流中学高2024届高三10月月考理科数学试题(1)_2023年10月_0210月合集_2024届四川省成都市双流中学高三上学期10月月考_四川省成都市双流中学2024届高三上学期10月月考理科数学

文档信息

文档格式
docx
文档大小
0.292 MB
文档页数
5 页
上传时间
2026-02-12 17:23:42

文档内容

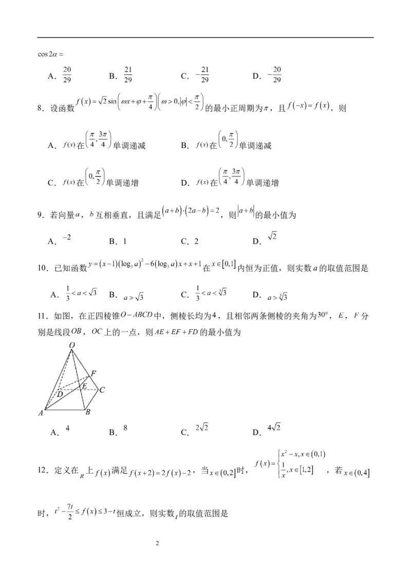
双流中学高2024届高三10月月考 数学(理工类) 本试卷共4页。考试结束后,只将答题卡交回 第I卷 选择题(60分) 一、选择题:本题共12小题,每小题5分,共60分.在每小题给出的四个选项中,只有一 项是符合题目要求的. 1.已知全集 , , ,则 等于 A. B. C. D. 2.若复数 (i为虚数单位),则复数z在复平面上对应的点所在的象限为 A.第一象限 B.第二象限 C.第三象限 D.第四象限 3.已知幂函数 的图象过点P(2,4),则 A. B.1 C.2 D.3 4.设 为定义在R上的偶函数,且当 时, ,则 A.e-1 B.-2e-2 C.2e-1 D.2e-2 5.若整数x,y满足不等式组 则2x+y的最大值是 A.11 B.23 C.26 D.30 6.已知 是三条不同的直线, 是两个不同的平面,那么下列命题正确的是 A.若 , , 且 ,则 B.若 , , ,则 C.若 , , 且 ,则 D.若 , , 且 ,则 7.已知角 的顶点在原点,始边与x轴的正半轴重合,点 是角 终边上的一点,则 1 学科网(北京)股份有限公司A. B. C. D. 8.设函数 的最小正周期为 ,且 ,则 A. 在 单调递减 B. 在 单调递减 C. 在 单调递增 D. 在 单调递增 9.若向量 , 互相垂直,且满足 ,则 的最小值为 A. B.1 C.2 D. 10.已知函数 在 内恒为正值,则实数a的取值范围是 A. B. C. D. 11.如图,在正四棱锥 中,侧棱长均为 ,且相邻两条侧棱的夹角为 , , 分 别是线段 , 上的一点,则 的最小值为 A. B. C. D. 12.定义在 上 满足 ,当 时, ,若 时, 恒成立,则实数 的取值范围是 2A. B. C. D. 第II卷 非选择题(90分) 二、填空题:本题共4小题,每小题5分,共20分. 13.写出一个以 为对称轴的奇函数 . 14.若函数 为偶函数,则a= . 15.在《九章算术》中,将四个面都为直角三角形的三棱锥称之为鳖臑(bienao).已知在 鳖臑M-ABC中,MA⊥平面ABC,MA=AB=BC=2,则该鳖臑的外接球的体积为 . 16.设 的外接圆的圆心为 ,半径为2,且满足 ,则 的最小值为 . 三、解答题:共70分。解答应写出文字说明、证明过程或演算步骤。第17~21题为必考 题,每个试题考生都必须作答.第22、23题为选考题,考生根据要求作答. (一)必考题:共60分。 17.(12分)已知函数 ,满足______. 在:①函数 的一个零点为0;②函数 图象上相邻两条对称轴的距离为 ;③函数 图象的一个最低点的坐标为 ,这三个条件中任选两个,补充在上面问题中,并给出问 题的解答. (1)求 的解析式; (2)把 的图象向右平移 个单位,再向上平移1个单位,得到函数 的图象,若 3 学科网(北京)股份有限公司在区间 上的最大值为2,求实数 的最小值. 18.(12分)已知函数 , . (1)当 时,求函数 在区间 上的最大值; (2)当 时,求函数 的极值. 19.(12分)在锐角 中,内角A,B,C的对边分别为a,b,c,已知 . (1)求A的值; (2)若 ,求 面积的取值范围. 20.(12分)如图,在四棱台 中,底面 是菱形, , , 平面 . (1)证明:BD CC ; 1 (2)棱 上是否存在一点 ,使得二面角 的余弦值为 若存在,求线段 的长; 若不存在,请说明理由. 421.(12分)已知函数 . (1)当 时,讨论 在区间 上的单调性; (2)若当 时, ,求 的取值范围. (二)选考题:共10分.请考生在第22、23题中任选一题作答。如果多做,则按所做的第 一题计分. 22.(选修4-4 极坐标与参数方程) 以直角坐标系的原点 为极点, 轴的正半轴为极轴,建立极坐标系,且在两种坐标系中取相 同的长度单位.曲线 的极坐标方程是 . (1)求曲线 的直角坐标方程; (2)设曲线 与 轴正半轴及 轴正半轴交于点 ,在第一象限内曲线 上任取一点 , 求四边形 面积的最大值. 23.(选修4-5 不等式选讲) 设函数 . (1)当 时,求不等式 的解集; (2)若函数 的最小值为 ,且正实数 满足 ,求 的最小值. 5 学科网(北京)股份有限公司