当前位置:首页>文档>期中考前练手卷01-2022-2023学年高一地理上学期期中期末考点大串讲(人教版2019必修第一册)(原卷版)_E015高中全科试卷_地理试题_必修1_3.期中试卷

期中考前练手卷01-2022-2023学年高一地理上学期期中期末考点大串讲(人教版2019必修第一册)(原卷版)_E015高中全科试卷_地理试题_必修1_3.期中试卷

  • 2026-04-01 06:20:16 2026-02-15 20:09:34

文档预览

期中考前练手卷01-2022-2023学年高一地理上学期期中期末考点大串讲(人教版2019必修第一册)(原卷版)_E015高中全科试卷_地理试题_必修1_3.期中试卷
期中考前练手卷01-2022-2023学年高一地理上学期期中期末考点大串讲(人教版2019必修第一册)(原卷版)_E015高中全科试卷_地理试题_必修1_3.期中试卷
期中考前练手卷01-2022-2023学年高一地理上学期期中期末考点大串讲(人教版2019必修第一册)(原卷版)_E015高中全科试卷_地理试题_必修1_3.期中试卷
期中考前练手卷01-2022-2023学年高一地理上学期期中期末考点大串讲(人教版2019必修第一册)(原卷版)_E015高中全科试卷_地理试题_必修1_3.期中试卷
期中考前练手卷01-2022-2023学年高一地理上学期期中期末考点大串讲(人教版2019必修第一册)(原卷版)_E015高中全科试卷_地理试题_必修1_3.期中试卷
期中考前练手卷01-2022-2023学年高一地理上学期期中期末考点大串讲(人教版2019必修第一册)(原卷版)_E015高中全科试卷_地理试题_必修1_3.期中试卷
期中考前练手卷01-2022-2023学年高一地理上学期期中期末考点大串讲(人教版2019必修第一册)(原卷版)_E015高中全科试卷_地理试题_必修1_3.期中试卷

文档信息

文档格式
docx
文档大小
1.917 MB
文档页数
7 页
上传时间
2026-02-15 20:09:34

文档内容

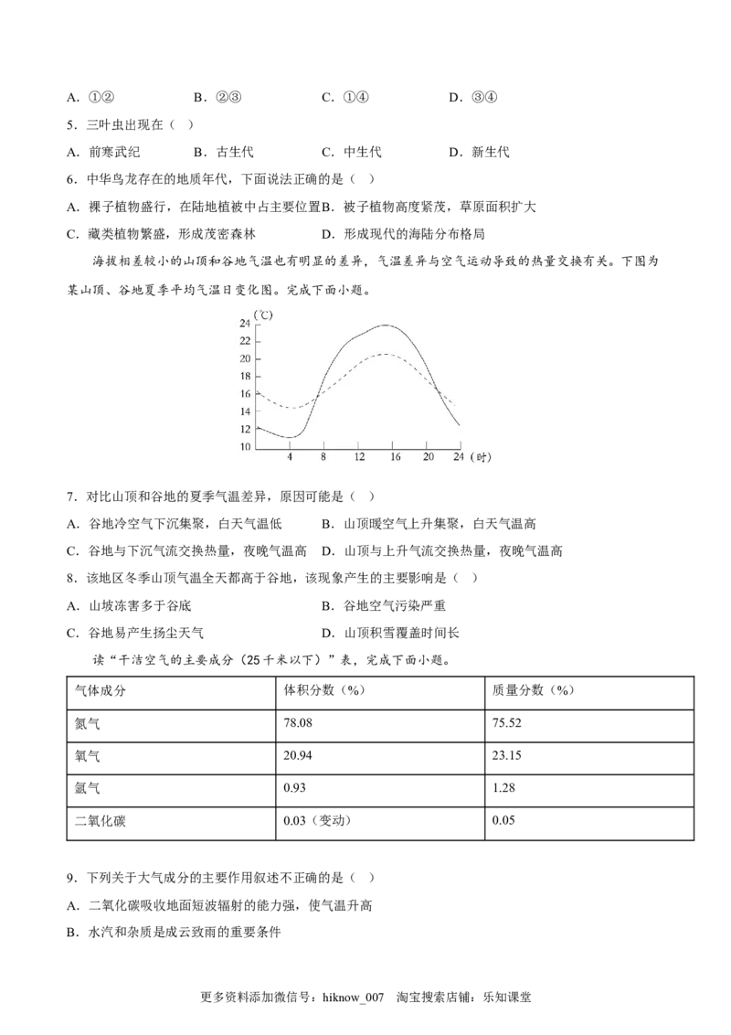
2021-2022学年高一地理期中模拟卷(人教版2019) (一) 一、选择题:(本题共16小题,每小题3分,共48分。在每小题给出的四个选项中,只有一项是符 合题目要求的。) 熔盐塔式光热发电技术是利用定日镜将太阳光能反射到中部集热塔,塔内熔盐被加热,高温熔盐流入 热熔盐罐中。当需要发电时,罐中的熔盐将水加热,产生蒸汽驱动汽轮机发电。下图为熔盐塔式光热发电 站景观图。据此完成下面小题。 1.下列关于太阳辐射的叙述,正确的是( ) A.在地球表面分布均匀 B.间接为地表提供光热 C.是地球上水体运动的主要动力 D.能量源自太阳内部核裂变反应 2.下列省市最适宜建设塔式光热电站的是( ) A.重庆市 B.甘肃省 C.上海市 D.海南省 3.与太阳能光伏发电相比,太阳能光热发电的最大优势是( ) A.选址更为灵活 B.受天气影响更小 C.夜间也可发电 D.对生态破坏更小 不同地质年代的沉积岩含有不同生命现象的信息。下图示意为某中学地理兴趣小组搜集到不同地质年 代地层中的生物化石。完成下面小题。 4.根据地层及其化石的有关知识,可知( ) ①任何地层都含有生物化石②中华鸟龙时期出现联合古陆③生物总是从低级向高级进化④化石的特点与环 境关系密切 更多资料添加微信号:hiknow_007 淘宝搜索店铺:乐知课堂A.①② B.②③ C.①④ D.③④ 5.三叶虫出现在( ) A.前寒武纪 B.古生代 C.中生代 D.新生代 6.中华鸟龙存在的地质年代,下面说法正确的是( ) A.裸子植物盛行,在陆地植被中占主要位置B.被子植物高度紧茂,草原面积扩大 C.藏类植物繁盛,形成茂密森林 D.形成现代的海陆分布格局 海拔相差较小的山顶和谷地气温也有明显的差异,气温差异与空气运动导致的热量交换有关。下图为 某山顶、谷地夏季平均气温日变化图。完成下面小题。 7.对比山顶和谷地的夏季气温差异,原因可能是( ) A.谷地冷空气下沉集聚,白天气温低 B.山顶暖空气上升集聚,白天气温高 C.谷地与下沉气流交换热量,夜晚气温高 D.山顶与上升气流交换热量,夜晚气温高 8.该地区冬季山顶气温全天都高于谷地,该现象产生的主要影响是( ) A.山坡冻害多于谷底 B.谷地空气污染严重 C.谷地易产生扬尘天气 D.山顶积雪覆盖时间长 读“干洁空气的主要成分(25千米以下)”表,完成下面小题。 气体成分 体积分数(%) 质量分数(%) 氮气 78.08 75.52 氧气 20.94 23.15 氩气 0.93 1.28 二氧化碳 0.03(变动) 0.05 9.下列关于大气成分的主要作用叙述不正确的是( ) A.二氧化碳吸收地面短波辐射的能力强,使气温升高 B.水汽和杂质是成云致雨的重要条件 更多资料添加微信号:hiknow_007 淘宝搜索店铺:乐知课堂C.二氧化碳是绿色植物进行光合作用的基本原料 D.臭氧能够吸收太阳紫外线,对生物具有保护作用 10.下列正确表述二氧化碳浓度的是( ) A.城市的二氧化碳浓度比乡村低 B.平流层里没有二氧化碳 C.华北地区夏天二氧化碳浓度比冬天高 D.森林里的早晨二氧化碳浓度较高 随着电影《中国机长》的热映,川航3U8633航班紧急迫降的事迹展现在大众面前。飞机从重庆起飞, 在9800米高空,风挡玻璃无预警脱落,刘传健机长借助自己一百多次来回飞川藏线的经验和从业30年的 技术,成功于成都迫降,拯救了全机人的生命。据此,回答下面小题。 11.风挡玻璃脱落时,飞机正处于大气的( ) A.平流层 B.电离层 C.对流层 D.高层大气 12.机长迫降时面临的困难主要有( ) ①被风挡玻璃砸伤②机内温度过低③飞机颠簸强烈④太阳辐射太强 A.①③ B.②③ C.①④ D.②④ 潮汐发电是利用涨潮、落潮时水坝两侧形成水位差,潮水流入或流出水坝过程中推动水轮机旋转,从 而带动发电机发电。左图为潮汐发电站水位示意图,右图为当地潮汐时刻示意图。读图,完成下面小题。 13.左图所示水位状态最可能对应右图中( ) A.2时前后 B.11时前后 C.17时前后 D.20时前后 14.潮汐发电的特点是( ) ①能量来自太阳辐射②清洁无污染③发电有周期性④发电量稳定⑤地域性较强 A.①②⑤ B.②③④ C.①③④ D.②③⑤ 城市渠化是指将城市内河河道取直,硬化河堤、河底,改造岸坡为直立砌墙或混凝土墙,把天然河道 变成人工明渠。完成下面小题。 更多资料添加微信号:hiknow_007 淘宝搜索店铺:乐知课堂15.我国各地在城市化过程中均存在不同程度的城市渠化现象,其主要作用是( ) A.改善城市供水条件 B.增强排污排涝能力 C.提升内河航运能力 D.增加休憩娱乐场所 16.城市渠化对地理环境的负面影响是( ) A.河流流速减慢,泥沙淤积加重 B.河道取直,水质恶化 C.底栖生物生存环境变化,生物多样性减少D.阻断与地下径流的联系,地下水位上升 二、非选择题:(共3题,共52分。) 二、非选择题:(共3题,共52分。) 17.结合下列材料,回答问题。(16分) 材料一北京时间2018年10月31日16时29分,在四川省凉山州西昌(27.7°N,102.08°E)发生 5.1级地震,震源深度19km。 材料二甲图为我国大陆部分地区地壳等厚度线图,乙图为地震波在地球内部传播速度图。 (1)为探测莫霍面的情况,在下列四地同时进行了地震波的测定,最迟从莫霍面传来地震波的是( )(2 分) A.拉萨 B.乌鲁木齐 C.上海 D.北京 (2)材料二乙图中A为____,B为____,并写出其判断依据____。(10分) (3)甲图所示区域地壳厚度大致分布规律是____。根据材料可以推断出,西昌市地震的震源位于____(填 “地壳”“地幔”或“地核”)。(4分) 18.阅读图文材料,回答下列问题。(26分) 材料一:太阳能的开发利用无处不在,“低碳经济”悄然融入百姓生活,下图是某城市太阳能路灯街 更多资料添加微信号:hiknow_007 淘宝搜索店铺:乐知课堂道景观。 材料二:北半球大气上界太阳辐射的分布图 材料三:我国太阳总辐射量分布图。 (1)下列四个城市中,太阳年辐射总量最丰富的城市是(单选)____,该城市的太阳年辐射总量的取值范围 为____J/cm²。(2分) A.兰州B.海口C.上海D.昆明 (2)我国年太阳辐射总量大致的分布规律是西部____,东部____;北方____,南方____。(前面四格填 “多”或“少”)(4分) (3)全球年太阳辐射的变化幅度是从____向____递减。结合材料二和材料三分析影响某地年太阳总辐射量的 主要因素有____、____等因素。(4分) (4)根据所学,简述太阳辐射对地球的影响。(4分) (5)列举三个日常生活中直接利用太阳辐射的例子。(3分) (6)四川盆地为我国太阳辐射的低值中心,分析其原因。(4分) (7)青藏高原地区是我国年太阳辐射最强的地区,试分析其原因。(5分) 19.阅读图文材料,完成下列要求。(10分) 2022年进入汛期以来,全国一些地区出现了大到暴雨,有些地区已经出现了内涝现象。从有关报道中 可以看到:6月以来,广西南宁、广西玉林、江西赣州、广东韶关、河南信阳等地都因暴雨导致城区内涝, 有些街道水深接近1米,出现了“城市看海”的现象,给群众生产生活带来损失。 更多资料添加微信号:hiknow_007 淘宝搜索店铺:乐知课堂事实上,每年的两季特别是汛期,“城市看海”“汽车变船”都会在一些城市上演,给人们的生活和 出行带来了不便,有时甚至还会出现吞噬生命的悲剧。 (1)分析降水与地表径流量的关系。(4分) (2)为减少“城市看海”“汽车变船”现象,请从水循环角度提出合理化建议。(6分) 更多资料添加微信号:hiknow_007 淘宝搜索店铺:乐知课堂更多资料添加微信号:hiknow_007 淘宝搜索店铺:乐知课堂