当前位置:首页>文档>高二期中数学评分细则(定版)_2024-2025高二(7-7月题库)_2025年05月试卷_0501湖北省云学名校联盟2024-2025学年高二下学期4月期中联考

高二期中数学评分细则(定版)_2024-2025高二(7-7月题库)_2025年05月试卷_0501湖北省云学名校联盟2024-2025学年高二下学期4月期中联考

  • 2026-04-10 09:05:47 2026-02-19 11:29:15

文档预览

高二期中数学评分细则(定版)_2024-2025高二(7-7月题库)_2025年05月试卷_0501湖北省云学名校联盟2024-2025学年高二下学期4月期中联考
高二期中数学评分细则(定版)_2024-2025高二(7-7月题库)_2025年05月试卷_0501湖北省云学名校联盟2024-2025学年高二下学期4月期中联考
高二期中数学评分细则(定版)_2024-2025高二(7-7月题库)_2025年05月试卷_0501湖北省云学名校联盟2024-2025学年高二下学期4月期中联考
高二期中数学评分细则(定版)_2024-2025高二(7-7月题库)_2025年05月试卷_0501湖北省云学名校联盟2024-2025学年高二下学期4月期中联考
高二期中数学评分细则(定版)_2024-2025高二(7-7月题库)_2025年05月试卷_0501湖北省云学名校联盟2024-2025学年高二下学期4月期中联考
高二期中数学评分细则(定版)_2024-2025高二(7-7月题库)_2025年05月试卷_0501湖北省云学名校联盟2024-2025学年高二下学期4月期中联考
高二期中数学评分细则(定版)_2024-2025高二(7-7月题库)_2025年05月试卷_0501湖北省云学名校联盟2024-2025学年高二下学期4月期中联考
高二期中数学评分细则(定版)_2024-2025高二(7-7月题库)_2025年05月试卷_0501湖北省云学名校联盟2024-2025学年高二下学期4月期中联考
高二期中数学评分细则(定版)_2024-2025高二(7-7月题库)_2025年05月试卷_0501湖北省云学名校联盟2024-2025学年高二下学期4月期中联考
高二期中数学评分细则(定版)_2024-2025高二(7-7月题库)_2025年05月试卷_0501湖北省云学名校联盟2024-2025学年高二下学期4月期中联考
高二期中数学评分细则(定版)_2024-2025高二(7-7月题库)_2025年05月试卷_0501湖北省云学名校联盟2024-2025学年高二下学期4月期中联考
高二期中数学评分细则(定版)_2024-2025高二(7-7月题库)_2025年05月试卷_0501湖北省云学名校联盟2024-2025学年高二下学期4月期中联考
高二期中数学评分细则(定版)_2024-2025高二(7-7月题库)_2025年05月试卷_0501湖北省云学名校联盟2024-2025学年高二下学期4月期中联考
高二期中数学评分细则(定版)_2024-2025高二(7-7月题库)_2025年05月试卷_0501湖北省云学名校联盟2024-2025学年高二下学期4月期中联考
高二期中数学评分细则(定版)_2024-2025高二(7-7月题库)_2025年05月试卷_0501湖北省云学名校联盟2024-2025学年高二下学期4月期中联考
高二期中数学评分细则(定版)_2024-2025高二(7-7月题库)_2025年05月试卷_0501湖北省云学名校联盟2024-2025学年高二下学期4月期中联考

文档信息

文档格式
docx
文档大小
0.986 MB
文档页数
16 页
上传时间
2026-02-19 11:29:15

文档内容

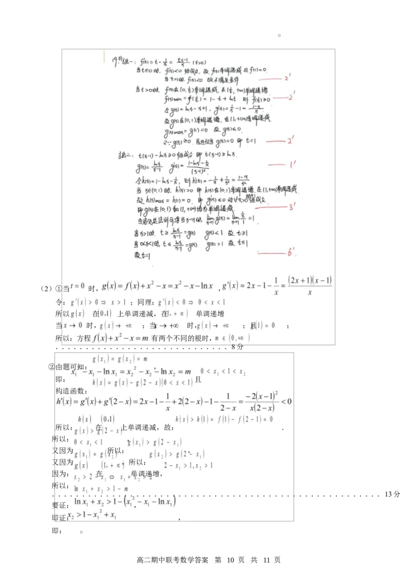
2025 年湖北云学名校联盟高二年级期中联考 数学试卷评分细则 1.【答案】A 【解析】由题知 . 故选:A. 2.【答案】D 【解析】对于 A,∵ ,∴A 不正确; 对于 B, , 故 B 不正确; 对于 C, ,故 C 不正确; 对于 D,显然正确. 故选:D. 3.【答案】C 【解析】根据全 概率公式可得: 故选:C. 4.【答案】B 【解析】因为 展开式的通项公式为 令 ,得 ;令 ,得 . 所以 的展开式中 的系数为 ,得 . 故选:B. 5.【答案】B 【解析】根据题意,甲、乙、丙、丁、戊五位同学决定在 8:00~9:00 去金顶、太子坡、南岩宫游玩,且每 人只能去一个地方,则每人有 3 种选择,则 5 人一共有 种情 况, 若金顶没人去,即五位同学选择了太子坡、南岩宫, 每人有 2 种选择方法,则 5 人一共有 种情况, 故金顶一定要有人去有 种情况. 故选:B. 6.【答案】D 【解析】解:设抛物线 的焦点为 , 由抛物线的定义可知 . 设 于点 ,则 , 当 三点共线,且 在 中间时, 取得最小值. 高二期中联考数学答案 第 1 页 共 11 页由抛物线 ,得 , 所以 的最小值为 . 故选:D . 7.【答案】B 【解析】根据题意可令 , 所以 在 上单调递增,则原不等式等价于 , 由 ,解之得 . 故选:B. 8.【答案】C 【解析】解:对 A 选项,根据题意可得: , A 选项正确; 对 B 选项,设每次插入项的个数构成数列 ,则 , 数列 是以首项为 1,公比为 2 的等比数列, 数列 的前 项和即为 , , B 选项正确; 对 C 选项, , C 选项错误; 对 D 选项,由 B 选项分析可得 ,又 又 是以首项为 ,公比为 3 的等比数列, D 选项正确. 故选:C. 9.【答案】AC 【解析】选取的 4 名学生都是男生的不同选法共有 种,故 A 正确; 恰有 2 名女生的不同选法共有 种,故 B 错误; 至少有 1 名女生的不同选法共有 种,故 C 正确; 选取的 4 名学生中至多有 2 名男生的不同选法共有 种,故 D 错误. 故选:AC. 10.【答案】ABD 高二期中联考数学答案 第 2 页 共 11 页【解析】因为 , , , 且 则 没有最大值,所以 A、D 正确,C 错误; 又由 所以 B 正确. 故选:ABD. 11.【答案】BCD 【解析】对于 A,因为 在 上是先减后增的函数,在对称轴左边的两点连线斜率为 负数,所以对于不相等的实数 不恒成立,故 A 错误; 对于 B,当 时, 令 当 时, 和 都单调递增,所以 在 上单调递增, 又 所以 在 上必有零点, 又当 时可证 恒成立, 综上所述,当 时,函数 恰好有 3 个零点,故 B 正确; 对于 C,由 ,得 ,即 令 则 , 在 上单调递增, 当 时, ,当 时, , 即 必唯一有零点, 即存在 满足 使得当 时, ;当 时, ; 所以 先减后增, 即存在不相等的实数 使 即 ,故 C 正确. 对于 D, 又: , 当且仅当 时等号成立, 所以对于任意不相等的正实数 都有 ,故 D 正确. 故选 BCD. 三.填空题:本题共 3 小题,每小题 5 分,共 15 分。 12.【答案】 补充:斜截式和一般式都可以得分 【解析】由 得, , 所以在 处切线方程为: 故答案为: . 高二期中联考数学答案 第 3 页 共 11 页13.【答案】 补充:只要化简后的最终结果一致都可以得分 【解析】 故答案为: . 14.【答案】 (2 分), (3 分). 【解析】(1)当 时,双曲线方程为: 由于点 在双曲线上,设点 , . . (2)在 中,由正弦定理: , 由(1)可得: 故答案为:(1) ,(2) . 15. 【解析】(1)当 时, ,令 .........2 分 故: ,当 时, ;当 时, ...........................4分 故:当 时,数列 前 项和取得最小值. .........................................6分 高二期中联考数学答案 第 4 页 共 11 页(补充:得出结论但未说明“当时,”扣 2 分) (2)解法一:当 时, ........................8分 ......................................... ............10分 因为数列 是公差 为等差数列 所以: 不为常数, 故: 的值为 ............................................................. ..........13分 解法二:由解法一知: , ,可得: , ...........8 分 因为数列 是公差 为等差数列 解得: 或 ............................................................. ....10分 检验:当 时, ,故: 满足条件; 当 时, , ,此时: , 故: 为常数数列,不满足条件. 综上: 的值为 ............................................................. ........13分 16.【解析】(1)当 时, , ........1 分 令 , 同理: 所以: 在 单调递增,在 单调递减,在 单 调 递 增 ........................5分当 时, 取得极大值 ; 高二期中联考数学答案 第 5 页 共 11 页当 时, 取得极小值 ..........................................7分 (补充:没有讨论单调性扣 2 分,最后结果没有写出具体极值扣 2 分。) (2)解法一:由题: , .................8 分 ①当 时, , 在 单调递增, . ②当 时, , 在 单调递减, . ③当 时, 在 单调递增,在 单调递减. 此时: 不合题意. ④当 时, , 在 单调递增, . 综上: 的值为 ........................................................... .......15分 (补充:分类讨论差一种情况或错误扣 2 分,没讨论导数零点取区间端点值的情况扣 2 分。) 解法二:由题: , .....................8分 ①当 时, , 在 单调递增, ..................................... ............11分 ②当 时,由于 , 在 上的最小值小于 , 与 题 目 矛 盾 , 故 不 成 立 ;................................14分 综上: 的值为 ........................................................... .......15分 解法三:由题: , ....................8分 由题: 的最小值为 ,则必有: ................... 11分 当 时, , 在 单调递增, . 故: 的值为 ........................................................... .........15分17.【解析】(1) ......................2分 ,令: ① ② 高二期中联考数学答案 第 6 页 共 11 页① ②得: 所以: ........................................................... ..7 分 ............................. ......8分 (2)由题: 化简可得: ........................................................... ...10分 令: , ................12 分 当 时,此时: ; (补充:只待入 n=1,n=2,未讲 n≥2, 扣 1 到 2 分) 当 时,此时: , 补充: 故:数列 满足: ............................................13分 所以: 故: 的取值范围是 ......................................................15分 18. 【解析】(1)由题: 故:椭圆 的标准方程为: ..................................................4分 (2)①解法一:由条件 ,可知直线 的斜率存在,设直线 , , 高二期中联考数学答案 第 7 页 共 11 页联立方程组: (▲) (未求出 扣 1 分)........................................6分 , ...................................... ............7分 由条件 , 即: 由于直线 不过点 ,故: 化简可得: .............12 分 代入(▲)式, .......................................................... ....13分 此时直线 恒过定点 .............................................14分 ②又因为 ,所以:点 在以 为直径的圆上,圆心为 ,半径为 . 所以: ..................................................16分 此时 的坐标为 , 的斜率 ,满足条件. 故: 的最小值为 ........................................................... ......17分 解法二:设 , ,由条件 ,即 ( ★ ).............. 5 分 (补充:第(2)问未讨论直线 l 的斜率是否存在或为 0 一律不扣分;全部缺失或未检验 总共只扣 2 分) 由点 在椭圆上,则有: ................... 6分高二期中联考数学答案 第 8 页 共 11 页① ............................................. ...............8分 同理: ② ......................................................9分 ① ②可得: 代入(★)式可得: 即: ....................................... ............12分 变形可得: ........................................................... .13分 所以:直线 恒过定点 .......................................................14分 下同解法一. 19.【解析】(1) , ......................... 1分 由于 不是定义域区间的端点,且 在定义域上连续 故: 不仅是函数 的 最 小 值 , 同 时 也 是 极 小 值 ......................................3分 ............................................ .............4分 检验:当 时, , 当 时, , 单调递减,当 时, , 单调递增. 所以: 成立, 故: ................................................ ..............................6分 补充两种解法:高二期中联考数学答案 第 9 页 共 11 页(2)①当 时, , 令: ;同理: 所以 在 上单调递减,在 单调递增 当 时, ;当 时, ;且 ; 所以:方程 有两个不同的根时, .............................8分 ②由题可知: , 即: 且 构造函数: 所以: 在 上单调递减,故: . 所以: , 又因为 所以: , 又因为 ,所以: 因为: 在 单调递增, 所以: .......................................................13分 要证: , 即证: , 即: 高二期中联考数学答案 第 10 页 共 11 页只须证明: , 即证: 因为: ,故只须证明: 因为 成立. 所以:原不等式 成 立 ................................................17分 高二期中联考数学答案 第 11 页 共 11 页