当前位置:首页>文档>2014年高考生物试卷(新课标Ⅱ)(空白卷)_生物历年高考真题_新·Word版2008-2025·高考生物真题_生物(按省份分类)2008-2025_2010-2025·(辽宁)生物高考真题

2014年高考生物试卷(新课标Ⅱ)(空白卷)_生物历年高考真题_新·Word版2008-2025·高考生物真题_生物(按省份分类)2008-2025_2010-2025·(辽宁)生物高考真题

  • 2026-03-19 07:52:28 2026-01-26 19:43:30

文档预览

2014年高考生物试卷(新课标Ⅱ)(空白卷)_生物历年高考真题_新·Word版2008-2025·高考生物真题_生物(按省份分类)2008-2025_2010-2025·(辽宁)生物高考真题
2014年高考生物试卷(新课标Ⅱ)(空白卷)_生物历年高考真题_新·Word版2008-2025·高考生物真题_生物(按省份分类)2008-2025_2010-2025·(辽宁)生物高考真题
2014年高考生物试卷(新课标Ⅱ)(空白卷)_生物历年高考真题_新·Word版2008-2025·高考生物真题_生物(按省份分类)2008-2025_2010-2025·(辽宁)生物高考真题
2014年高考生物试卷(新课标Ⅱ)(空白卷)_生物历年高考真题_新·Word版2008-2025·高考生物真题_生物(按省份分类)2008-2025_2010-2025·(辽宁)生物高考真题
2014年高考生物试卷(新课标Ⅱ)(空白卷)_生物历年高考真题_新·Word版2008-2025·高考生物真题_生物(按省份分类)2008-2025_2010-2025·(辽宁)生物高考真题
2014年高考生物试卷(新课标Ⅱ)(空白卷)_生物历年高考真题_新·Word版2008-2025·高考生物真题_生物(按省份分类)2008-2025_2010-2025·(辽宁)生物高考真题
2014年高考生物试卷(新课标Ⅱ)(空白卷)_生物历年高考真题_新·Word版2008-2025·高考生物真题_生物(按省份分类)2008-2025_2010-2025·(辽宁)生物高考真题
2014年高考生物试卷(新课标Ⅱ)(空白卷)_生物历年高考真题_新·Word版2008-2025·高考生物真题_生物(按省份分类)2008-2025_2010-2025·(辽宁)生物高考真题
2014年高考生物试卷(新课标Ⅱ)(空白卷)_生物历年高考真题_新·Word版2008-2025·高考生物真题_生物(按省份分类)2008-2025_2010-2025·(辽宁)生物高考真题

文档信息

文档格式
docx
文档大小
0.057 MB
文档页数
5 页
上传时间
2026-01-26 19:43:30

文档内容

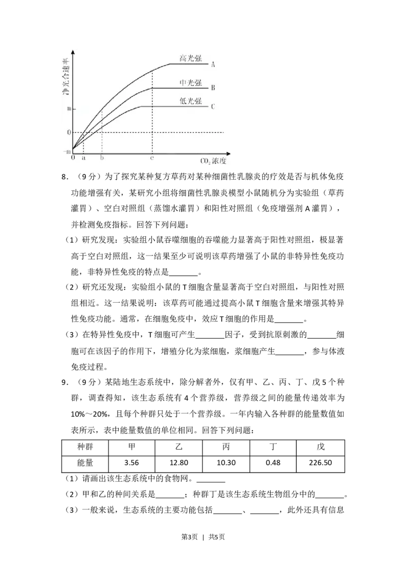
2014 年全国统一高考生物试卷(新课标Ⅱ) 一、选择题:本题共 6小题,每小题6分,在每小题给出的四个选项中,只有 一项是符合题目要求的. 1.(6分)关于细胞的叙述,错误的是( ) A.植物细胞的胞间连丝具有物质运输的作用 B.动物细胞间的黏着性与细胞膜上的糖蛋白有关 C.ATP水解释放的能量可用于细胞内的吸能反应 D.哺乳动物的细胞可以合成蔗糖,也可以合成乳糖 2.(6分)同一动物个体的神经细胞与肌细胞在功能上是不同的,造成这种差 异的主要原因是( ) A.二者所处的细胞周期不同 B.二者合成的特定蛋白不同 C.二者所含有的基因组不同 D.二者核DNA的复制方式不同 3.(6分)关于正常情况下组织液生成与回流的叙述,错误的是( ) A.生成与回流的组织液中氧气的含量相等 B.组织液不断生成与回流,并保持动态平衡 C.血浆中的有些物质经毛细血管动脉端进入组织液 D.组织液中的有些物质经毛细血管静脉端进入血液 4.(6分)将某植物花冠切成大小和形状相同的细条,分为a、b、c、d、e和f 组(每组的细条数相等),取上述6组细条分别置于不同浓度的蔗糖溶液中, 浸泡相同时间后测量各组花冠细条的长度,结果如图所示。假如蔗糖溶液与 花冠细胞之间只有水分交换,则( ) A.实验后,a组液泡中的溶质浓度比b组的高 第1页 | 共5页B.浸泡导致f组细胞中液泡的失水量小于b组的 C.a组细胞在蔗糖溶液中失水或吸水所耗ATP大于b组 D.使细条在浸泡前后长度不变的蔗糖浓度介于0.4~0.5mol•L﹣1之间 5.(6分)关于核酸的叙述,错误的是( ) A.细胞核中发生的转录过程有RNA聚合酶的参与 B.植物细胞的线粒体和叶绿体中均可发生DNA的复制 C.双链DNA分子中一条链上的磷酸和核糖是通过氢键连接的 D.用甲基绿和吡罗红染色剂可观察DNA和RNA在细胞中的分布 6.(6分)关于光合作用和呼吸作用的叙述,错误的是( ) A.磷酸是光反应中合成ATP所需的反应物 B.光合作用中叶绿素吸收光能不需要酶的参与 C.人体在剧烈运动时所需要的能量由乳酸分解提供 D.病毒核酸的复制需要宿主细胞的呼吸作用提供能量 二、解答题 7.(10分)某植物净光合速率变化趋势如图所示。据图回答下列问题: (1)当CO 浓度为a时,高光强下该植物的净光合速率为 ,CO 浓度在 2 2 a~b之间时,曲线 表示了净光合速率随CO 浓度的增高而增高。 2 (2)CO 浓度大于c时,曲线B和C所表示的净光合速率不再增加,限制其增 2 加的环境因素是 。 (3)当环境中CO 浓度小于a时,在图示的3种光强下,该植物呼吸作用产生 2 的CO 量 (填“大于”、“等于”或“小于”)光合作用吸收的 CO 2 2 量。 (4)据图可推测,在温室中,若要采取提高CO 浓度的措施来提高该种植物的 2 产量,还应该同时考虑 这一因素的影响,并采取相应措施。 第2页 | 共5页8.(9分)为了探究某种复方草药对某种细菌性乳腺炎的疗效是否与机体免疫 功能增强有关,某研究小组将细菌性乳腺炎模型小鼠随机分为实验组(草药 灌胃)、空白对照组(蒸馏水灌胃)和阳性对照组(免疫增强剂 A灌胃), 并检测免疫指标。回答下列问题: (1)研究发现:实验组小鼠吞噬细胞的吞噬能力显著高于阳性对照组,极显著 高于空白对照组,这一结果至少可说明该草药增强了小鼠的非特异性免疫功 能,非特异性免疫的特点是 。 (2)研究还发现:实验组小鼠的T细胞含量显著高于空白对照组,与阳性对照 组相近。这一结果说明:该草药可能通过提高小鼠 T细胞含量来增强其特异 性免疫功能。通常,在细胞免疫中,效应T细胞的作用是 。 (3)在特异性免疫中,T细胞可产生 因子,受到抗原刺激的 细 胞可在该因子的作用下,增殖分化为浆细胞,浆细胞产生 ,参与体液 免疫过程。 9.(9分)某陆地生态系统中,除分解者外,仅有甲、乙、丙、丁、戊 5个种 群,调查得知,该生态系统有 4个营养级,营养级之间的能量传递效率为 10%~20%,且每个种群只处于一个营养级。一年内输入各种群的能量数值如 表所示,表中能量数值的单位相同。回答下列问题: 种群 甲 乙 丙 丁 戊 能量 3.56 12.80 10.30 0.48 226.50 (1)请画出该生态系统中的食物网。 (2)甲和乙的种间关系是 ;种群丁是该生态系统生物组分中的 。 (3)一般来说,生态系统的主要功能包括 、 ,此外还具有信息 第3页 | 共5页传递等功能。碳对生物和生态系统具有重要意义,碳在 和 之 间的循环主要以CO 的形式进行。 2 10.(11分)山羊性别决定方式为XY型。如图的系谱图表示了山羊某种性状 的遗传,图中深色表示该种性状的表现者。已知该性状受一对等位基因控制, 在不考虑染色体变异和基因突变的条件下,回答下列问题: (1)据系谱图推测,该性状为 (填“隐性”或“显性”)性状。 (2)假设控制该性状的基因仅位于Y染色体上,依照Y染色体上基因的遗传规 律,在第Ⅲ代中,表现型不符合该基因遗传规律的个体是 (填个体编 号)。 (3)若控制该性状的基因仅位于X染色体上,则系谱图中一定是杂合子的个体 是 (填个体编号),可能是杂合子的个体是 (填个体编号)。 [生物——选修1:生物技术实践] 11.(15分)为了调查某河流的水质状况,某研究小组测定了该河流水样中的 细菌含量,并进行了细菌的分离等工作。回答下列问题: (1)细菌生长繁殖所需的主要营养物质有碳源、水、 四类。该小组采 用稀释涂布平板法检测水样中的细菌含量。在涂布接种前,随机取若干灭菌 后的空平板先行培养了一段时间,这样做的目的是 ;然后,将1mL水 样稀释100倍,在3个平板上用涂布法分别接入0.1mL稀释液;经适当培养 后,3个平板上的菌落数分别为39、38和37.据此可得出每升水样中的活菌 数为 。 (2)该小组采用平板划线法分离水样中的细菌。操作时,接种环通过 灭菌,在第二次及以后划线时,总是从上一次的末端开始划线。这样做的目 的是 。 (3)示意图A和B中, 表示的是用稀释涂布平板法接种培养后得到的结 果。 第4页 | 共5页(4)该小组将得到的菌株接种到液体培养基中并混匀,一部分进行静置培养, 另一部分进行振荡培养。结果发现:振荡培养的细菌比静置培养的细菌生长 速度快。分析其原因是:振荡培养能提高培养液的 的含量,同时可以 使菌体与培养液充分接触,提高 的利用率。 [生物——选修3:现代生物科技专题] 12.植物甲具有极强的耐旱性,其耐旱性与某个基因有关,若从该植物中获得 该耐旱基因,并将其转移到耐旱性低的植物乙中,有可能提高后者的耐旱性。 回答下列问题: (1)理论上,基因组文库含有生物的 基因;而cDNA文库含有生物的 基因。 (2)若要从植物甲中获得耐旱基因,可首先建立该植物的基因组文库,再从中 出所需的耐旱基因。 (3)将耐旱基因导入农杆菌,并通过农杆菌转化法将其导入植物 的体 细胞中,经过一系列的过程得到再生植株。要确认该耐旱基因是否在再生植 株中正确表达,应检测此再生植株中该基因的 ,如果检测结果呈阳性 再在田间试验中检测植株的 是否得到提高。 (4)假如用得到的二倍体转基因耐旱植株自交,子代中耐旱与不耐旱植株的数 量比为3:1时,则可推测该耐旱基因整合到了 (填“同源染色体的 一条上”或“同源染色体的两条上”)。 第5页 | 共5页