当前位置:首页>文档>130.2026周洋鑫考研数学基础班(概统12)_已解密(2)_04.2026考研数学周洋鑫数学笑过_00.随课资料

130.2026周洋鑫考研数学基础班(概统12)_已解密(2)_04.2026考研数学周洋鑫数学笑过_00.随课资料

  • 2026-04-15 10:25:04 2026-02-24 23:36:25

文档预览

130.2026周洋鑫考研数学基础班(概统12)_已解密(2)_04.2026考研数学周洋鑫数学笑过_00.随课资料
130.2026周洋鑫考研数学基础班(概统12)_已解密(2)_04.2026考研数学周洋鑫数学笑过_00.随课资料
130.2026周洋鑫考研数学基础班(概统12)_已解密(2)_04.2026考研数学周洋鑫数学笑过_00.随课资料
130.2026周洋鑫考研数学基础班(概统12)_已解密(2)_04.2026考研数学周洋鑫数学笑过_00.随课资料
130.2026周洋鑫考研数学基础班(概统12)_已解密(2)_04.2026考研数学周洋鑫数学笑过_00.随课资料
130.2026周洋鑫考研数学基础班(概统12)_已解密(2)_04.2026考研数学周洋鑫数学笑过_00.随课资料
130.2026周洋鑫考研数学基础班(概统12)_已解密(2)_04.2026考研数学周洋鑫数学笑过_00.随课资料
130.2026周洋鑫考研数学基础班(概统12)_已解密(2)_04.2026考研数学周洋鑫数学笑过_00.随课资料

文档信息

文档格式
pdf
文档大小
1.339 MB
文档页数
8 页
上传时间
2026-02-24 23:36:25

文档内容

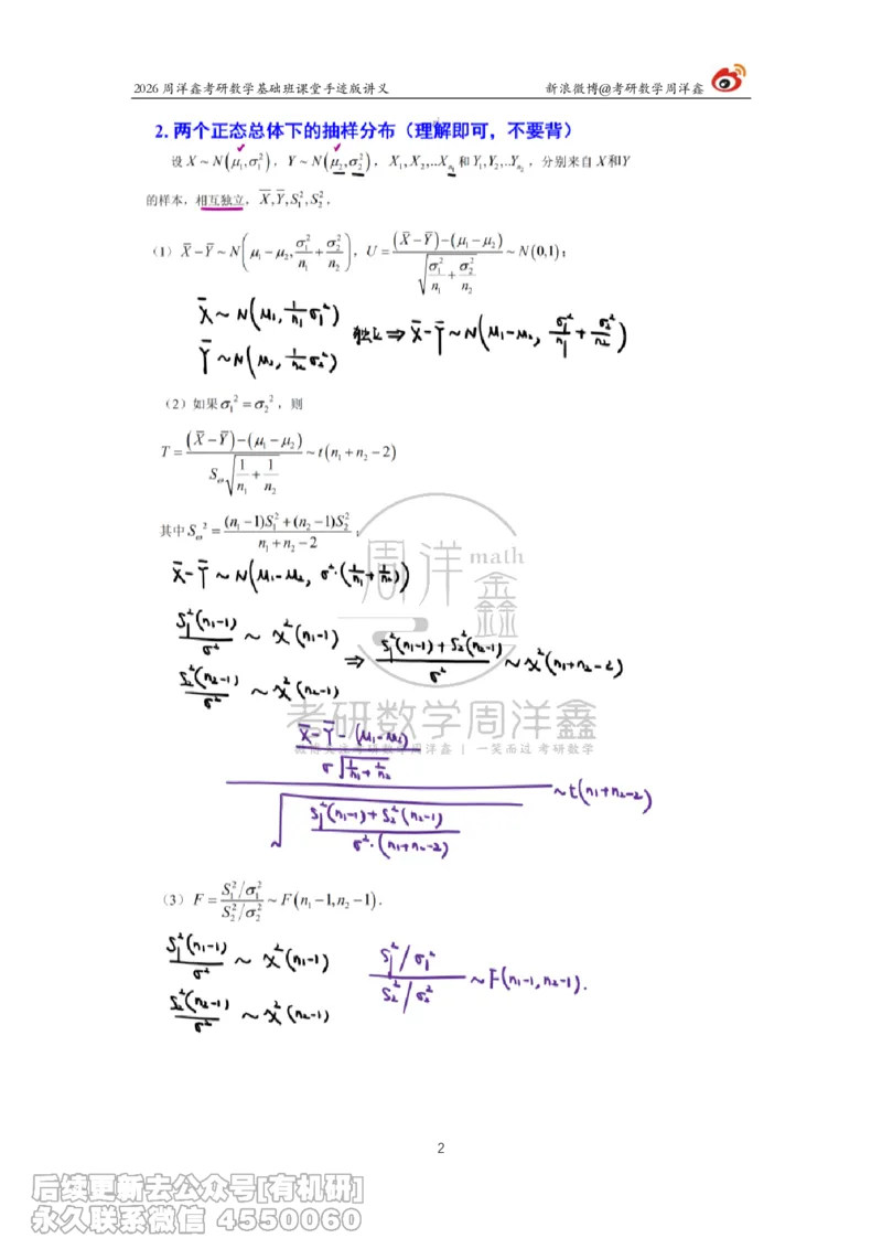
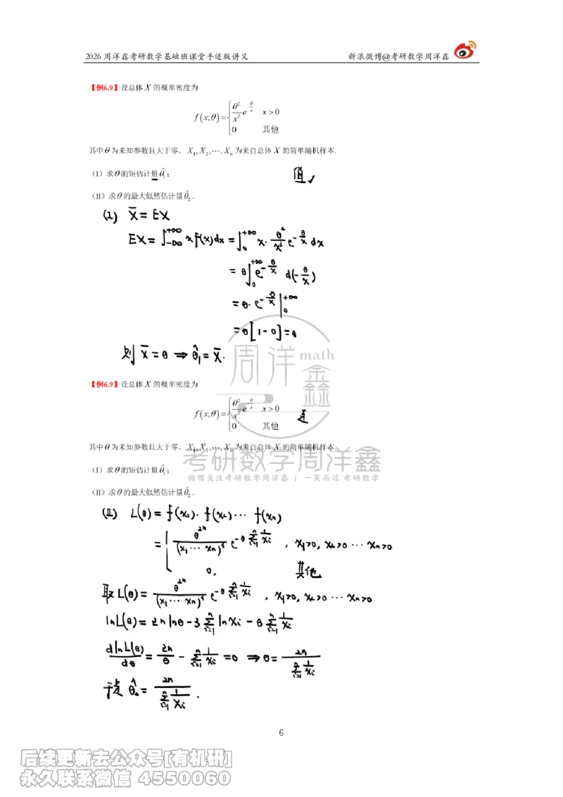
2026周洋鑫考研数学基础班课堂手迹版讲义 新浪微博@考研数学周洋鑫 2026 考研数学基础班课堂手迹版讲义 新浪微博:考研数学周洋鑫 概率统计基础班(12) 12026周洋鑫考研数学基础班课堂手迹版讲义 新浪微博@考研数学周洋鑫 22026周洋鑫考研数学基础班课堂手迹版讲义 新浪微博@考研数学周洋鑫 32026周洋鑫考研数学基础班课堂手迹版讲义 新浪微博@考研数学周洋鑫 42026周洋鑫考研数学基础班课堂手迹版讲义 新浪微博@考研数学周洋鑫 52026周洋鑫考研数学基础班课堂手迹版讲义 新浪微博@考研数学周洋鑫 62026周洋鑫考研数学基础班课堂手迹版讲义 新浪微博@考研数学周洋鑫 72026周洋鑫考研数学基础班课堂手迹版讲义 新浪微博@考研数学周洋鑫 8