当前位置:首页>文档>132.2026周洋鑫考研数学基础班(数一专题1)_已解密_04.2026考研数学周洋鑫数学笑过_00.随课资料

132.2026周洋鑫考研数学基础班(数一专题1)_已解密_04.2026考研数学周洋鑫数学笑过_00.随课资料

  • 2026-04-22 23:21:39 2026-02-24 23:38:10

文档预览

132.2026周洋鑫考研数学基础班(数一专题1)_已解密_04.2026考研数学周洋鑫数学笑过_00.随课资料
132.2026周洋鑫考研数学基础班(数一专题1)_已解密_04.2026考研数学周洋鑫数学笑过_00.随课资料
132.2026周洋鑫考研数学基础班(数一专题1)_已解密_04.2026考研数学周洋鑫数学笑过_00.随课资料
132.2026周洋鑫考研数学基础班(数一专题1)_已解密_04.2026考研数学周洋鑫数学笑过_00.随课资料
132.2026周洋鑫考研数学基础班(数一专题1)_已解密_04.2026考研数学周洋鑫数学笑过_00.随课资料
132.2026周洋鑫考研数学基础班(数一专题1)_已解密_04.2026考研数学周洋鑫数学笑过_00.随课资料
132.2026周洋鑫考研数学基础班(数一专题1)_已解密_04.2026考研数学周洋鑫数学笑过_00.随课资料
132.2026周洋鑫考研数学基础班(数一专题1)_已解密_04.2026考研数学周洋鑫数学笑过_00.随课资料
132.2026周洋鑫考研数学基础班(数一专题1)_已解密_04.2026考研数学周洋鑫数学笑过_00.随课资料
132.2026周洋鑫考研数学基础班(数一专题1)_已解密_04.2026考研数学周洋鑫数学笑过_00.随课资料

文档信息

文档格式
pdf
文档大小
1.785 MB
文档页数
10 页
上传时间
2026-02-24 23:38:10

文档内容

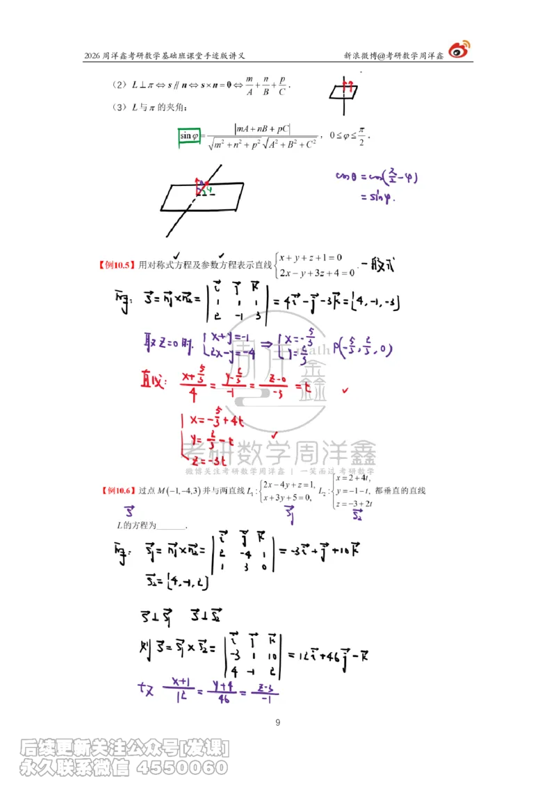
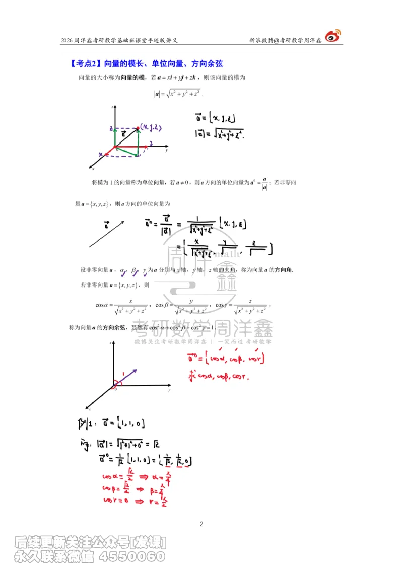
2026周洋鑫考研数学基础班课堂手迹版讲义 新浪微博@考研数学周洋鑫 2026 考研数学基础班课堂手迹版讲义 新浪微博:考研数学周洋鑫 数一专题(1) 12026周洋鑫考研数学基础班课堂手迹版讲义 新浪微博@考研数学周洋鑫 22026周洋鑫考研数学基础班课堂手迹版讲义 新浪微博@考研数学周洋鑫 32026周洋鑫考研数学基础班课堂手迹版讲义 新浪微博@考研数学周洋鑫 42026周洋鑫考研数学基础班课堂手迹版讲义 新浪微博@考研数学周洋鑫 52026周洋鑫考研数学基础班课堂手迹版讲义 新浪微博@考研数学周洋鑫 62026周洋鑫考研数学基础班课堂手迹版讲义 新浪微博@考研数学周洋鑫 72026周洋鑫考研数学基础班课堂手迹版讲义 新浪微博@考研数学周洋鑫 82026周洋鑫考研数学基础班课堂手迹版讲义 新浪微博@考研数学周洋鑫 92026周洋鑫考研数学基础班课堂手迹版讲义 新浪微博@考研数学周洋鑫 10