当前位置:首页>文档>2006年天津高考理科数学真题及答案_全国卷+地方卷_2.数学_1.数学高考真题试卷_1990-2007年各地高考历年真题_天津

2006年天津高考理科数学真题及答案_全国卷+地方卷_2.数学_1.数学高考真题试卷_1990-2007年各地高考历年真题_天津

  • 2026-03-04 11:12:24 2026-03-04 11:05:32

文档预览

2006年天津高考理科数学真题及答案_全国卷+地方卷_2.数学_1.数学高考真题试卷_1990-2007年各地高考历年真题_天津
2006年天津高考理科数学真题及答案_全国卷+地方卷_2.数学_1.数学高考真题试卷_1990-2007年各地高考历年真题_天津
2006年天津高考理科数学真题及答案_全国卷+地方卷_2.数学_1.数学高考真题试卷_1990-2007年各地高考历年真题_天津
2006年天津高考理科数学真题及答案_全国卷+地方卷_2.数学_1.数学高考真题试卷_1990-2007年各地高考历年真题_天津
2006年天津高考理科数学真题及答案_全国卷+地方卷_2.数学_1.数学高考真题试卷_1990-2007年各地高考历年真题_天津
2006年天津高考理科数学真题及答案_全国卷+地方卷_2.数学_1.数学高考真题试卷_1990-2007年各地高考历年真题_天津
2006年天津高考理科数学真题及答案_全国卷+地方卷_2.数学_1.数学高考真题试卷_1990-2007年各地高考历年真题_天津
2006年天津高考理科数学真题及答案_全国卷+地方卷_2.数学_1.数学高考真题试卷_1990-2007年各地高考历年真题_天津
2006年天津高考理科数学真题及答案_全国卷+地方卷_2.数学_1.数学高考真题试卷_1990-2007年各地高考历年真题_天津
2006年天津高考理科数学真题及答案_全国卷+地方卷_2.数学_1.数学高考真题试卷_1990-2007年各地高考历年真题_天津
2006年天津高考理科数学真题及答案_全国卷+地方卷_2.数学_1.数学高考真题试卷_1990-2007年各地高考历年真题_天津
2006年天津高考理科数学真题及答案_全国卷+地方卷_2.数学_1.数学高考真题试卷_1990-2007年各地高考历年真题_天津
2006年天津高考理科数学真题及答案_全国卷+地方卷_2.数学_1.数学高考真题试卷_1990-2007年各地高考历年真题_天津

文档信息

文档格式
doc
文档大小
0.804 MB
文档页数
13 页
上传时间
2026-03-04 11:05:32

文档内容

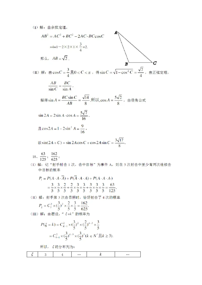
2006 年天津高考理科数学真题及答案 第Ⅰ卷(选择题 共50分) 一、选择题(本大题共10个小题,每小题5分,满分50分。在每小题给出的四个选项中 只有一个正确答案) i 1、i是虚数单位, ( ) 1i 1 1 1 1 1 1 1 1 A.  i B.  i C.  i D.  i 2 2 2 2 2 2 2 2 2、如果双曲线的两个焦点分别为 、 ,一条渐近线方程为 ,那 F (3,0) F (3,0) y  2x 1 2 么它的两条准线间的距离是( ) A. B. C. D. 6 3 4 2 1  y  x  3、设变量x、y满足约束条件  x y  2 ,则目标函数z  2x y的最小值为( )  y 3x6  A.2 B.3 C.4 D.9 4、设集合 , ,那么“ ”是“ ”的( M {x|0 x 3} N {x|0 x  2} aM aN ) A.充分而不必要条件 B.必要而不充分条件 C.充分必要条件 D.既不充分也不必要条件 5、将4个颜色互不相同的球全部放入编号为1和2的两个盒子里,使得放入每个盒子里的 球的个数不小于该盒子的编号,则不同的放球方法有( ) A.10种 B.20种 C.36种 D.52种 6、设 、 是两条不同的直线, 、 是两个不同的平面.考查下列命题,其中正确的命 m n   题是( ) A. B. m ,n ,m  n //,m ,n// m  n C. D. ,m ,n// m  n ,  m,n  m n   7、已知数列 、 都是公差为1的等差数列,其首项分别为 、 ,且 , {a } {b } a b a b 5 n n 1 1 1 1 .设 ( ),则数列 的前10项和等于( ) a ,b N* c  a nN* {c } 1 1 n b n n A.55 B.70 C.85 D.100  8、已知函数 f(x)  asinxbcosx(a、b为常数,a  0,xR)在x  处取得 43 最小值,则函数y  f( x)是( ) 4 3 A.偶函数且它的图象关于点(,0)对称 B.偶函数且它的图象关于点( ,0)对称 2 3 C.奇函数且它的图象关于点( ,0)对称 D.奇函数且它的图象关于点(,0)对称 2 9、函数 的定义域为开区间 ,导函数 在 内的图象如图所示,则函数 f(x) (a,b) f (x) (a,b) 在 开 区 间 内 有 极 小 值 点 f(x) (a,b) yy yy  ff((xx)) ( ) A.1个 bb B.2个 aa OO xx C.3个 D. 4个 10、已知函数 y  f(x)的图象与函数 y  ax(a 0且a 1)的图象关于直线 y  x 对 1 称,记g(x)  f(x)[f(x)2f(2)1].若 y  g(x)在区间[ ,2]上是增函数,则实数a 2 的取值范围是( ) 1 1 A.[2,) B.(0,1)  (1,2) C.[ ,1) D.(0, ] 2 2 第Ⅱ卷(非选择题 共100分) 二、填空题(本大题共6个小题,每小题4分,共24分) 1 11、 的二项展开式中 的系数是____ (用数学作答). (2x )7 x x 12、设向量 a 与 b  的夹角为  ,且 a  (3,3) , 2b  a   (1,1) ,则 cos __________. 13、如图,在正三棱柱 中, . ABC  A BC AB 1 1 1 1 若二面角 的大小为 ,则点 C  ABC 60 C 1 到平面 的距离为______________. ABC 1 14、设直线 与圆 相交于 、 ax y30 (x1)2 (y2)2 4 A 两点,且弦 的长为 ,则 ____________. B AB 2 3 a 15、某公司一年购买某种货物400吨,每次都购买x吨,运费为4万元/次,一年的总存储费用为4x万元,要使一年的总运费与总存储费用之和最小,则x 吨. 16、设函数 fx  1 ,点 A 表示坐标原点,点 A  n, f  n  nN*  ,若向量 x1 0 n a    A  A    A  A     A  A ,  是 a 与 i 的 夹 角 , ( 其 中 i    1,0 ) , 设 n 0 1 1 2  n1 n n n S  tan tan  tan ,则limS = . n 1 2  n n n 三、解答题(本题共6道大题,满分76分) 17、(本题满分12分) 如 图 , 在 ABC中 , AC 2, BC 1, 3 cosC  . 4 (1)求AB的值; (2)求  的值. sin 2AC 18、(本题满分12分) 3 某射手进行射击训练,假设每次射击击中目标的概率为 ,且各次射击的结果互不影响。 5 (1)求射手在3次射击中,至少有两次连续击中目标的概率(用数字作答); (2)求射手第3次击中目标时,恰好射击了4次的概率(用数字作答); (3)设随机变量 表示射手第3次击中目标时已射击的次数,求 的分布列.   19、(本题满分12分) 如图,在五面体 ABCDEF 中,点 O是矩形 ABCD的对角线的交点,面 1 CDE是等边三角形,棱EF // BC. 2 (1)证明FO//平面CDE; (2)设 ,证明 平 BC  3CD EO 面CDF . 20、(本题满分12分) 3 已知函数 fx  4x3 3x2 cos cos,其中xR,为参数,且0 2. 16 (1)当时 ,判断函数  是否有极值; cos0 f x(2)要使函数  的极小值大于零,求参数 的取值范围; f x  (3)若对(2)中所求的取值范围内的任意参数 ,函数  在区间 内都是增  f x 2a1,a 函数,求实数a的取值范围. 21、(本题满分14分) 已知数列  满足 ,并且 x , y x  x 1,y  y  2 n n 1 2 1 2 x x y y n1  n , n1  n (  为非零参数, n  2,3,4, ).  x x y y n n1 n n1 (1)若 成等比数列,求参数 的值; x ,x ,x  1 3 5 (2)当 0 时,证明 x n1  x n  nN* ; y y n1 n (3)当 1 时,证明 x 1  y 1  x 2  y 2    x n  y n    nN* . x  y x  y x  y 1 2 2 3 3 n1 n1 22、(本题满分14分) 如图,以椭圆 x2 y2 的中心 为  1a b 0 O a2 b2 圆心,分别以a和b为半径作大圆和小圆。过椭圆右焦 点 F  c,0  c b 作垂直于 x 轴的直线交大圆于第一象 限内的点 A.连结OA交小圆于点B.设直线BF 是小 圆的切线. (1)证明 ,并求直线 与 轴的交点 的 c2  ab BF y M 坐标; ( 2 ) 设 直 线 交 椭 圆 于 、 两 点 , 证 明 BF P Q   1 OPOQ b2. 2 2006年天津高考理科数学真题参考答案一、选择题 题号 1 2 3 4 5 6 7 8 9 10 答案 A C B B A B C D A D 二、填空题 11、280 12、3 10 13、3 14、0 15、20 16、1 10 4 i i(1i) 1 i 1、i是虚数单位,    ,选A. 1i 2 2 2 2、如果双曲线的两个焦点分别为 、 ,一条渐近线方程为 ,∴ F (3,0) F (3,0) y  2x 1 2 a2 b2 9  ,解得a2 3,所以它的两条准线间的距离是 a2 ,选  b  2 2   2 b2 6 c  a y C. C y x  B 3、设变量x、 y满足约束条件 x y2 ,在坐标系中画出可行域△ABC, O x  A y3x6  A(2,0),B(1,1),C(3,3),则目标函数 的最小值为3,选B. z 2x y 4、设集合 , , ,所以若“ ”推不 M {x|0 x 3} N {x|0 x  2} M  N aM 出“aN ”;若“aN ”,则“aM ”,所以“aM ”是“aN ”的必要而 不充分条件,选B. 5、将4个颜色互不相同的球全部放入编号为1和2的两个盒子里,使得放入每个盒子里的 球的个数不小于该盒子的编号,分情况讨论:①1号盒子中放1个球,其余3个放入2号 盒子,有 种方法;②1号盒子中放2个球,其余2个放入2号盒子,有 种方 C1 4 C2 6 4 4 法;则不同的放球方法有10种,选A. 6、设 、 是两条不同的直线, 、 是两个不同的平面。下列命题中正确的命题是 m n   ,选B. //,m ,n// m  n 7、已知数列 、 都是公差为1的等差数列,其首项分别为 、 ,且 , {a } {b } a b a b 5 n n 1 1 1 1 .设 ( ),则数列 的前10项和等于 = a 1 ,b 1 N* c n  a b n nN* {c n } a b 1 a b 2   a b 10 , , ∴ = a a  a a a (b 1)4 a a  a b b1  b9 b 1 1 b b1  b9 1 1 1 1 1 1 1 456 1385,选C.  8 、 已 知 函 数 、 为 常 数 , yy yy ff((xx)) f(x)asinxbcosx (a b bb aa OO xx a 0,xR),∴ f(x) a2 b2 sin(x)的周期为2π,若函数在x  处取得最小 4 3 3 3 3 值,不妨设 f(x)sin(x ),则函数 y  f( x)=sin( x )sinx,所以 4 4 4 4 3 y  f( x)是奇函数且它的图象关于点(,0)对称,选D. 4 9、函数 的定义域为开区间 ,导函数 在 内的图象如图所示,函数 f(x) (a,b) f (x) (a,b) 在开区间 内有极小值的点即函数由减函数变为增函数的点,其导数值为由负到 f(x) (a,b) 正的点,只有1个,选A. 10、已知函数 y  f(x)的图象与函数 y  ax(a 0且a 1)的图象关于直线 y  x 对 称,则 f(x)log x,记 g(x) f(x)[f(x) f(2)1]=(log x)2 (log 21)log x. a a a a 1 当a>1时,若 y  g(x)在区间[ ,2]上是增函数, y log x为增函数,令t log x, 2 a a 1 log 21 1 t∈[log , log 2],要求对称轴  a ≤log ,矛盾;当 0
基本 文件 流程 错误 SQL 调试
  1. 请求信息 : 2026-03-04 11:35:54 HTTP/1.1 GET : https://www.yeyulingfeng.com/wendang/336633.html
  2. 运行时间 : 0.224434s [ 吞吐率:4.46req/s ] 内存消耗:4,937.27kb 文件加载:144
  3. 缓存信息 : 0 reads,0 writes
  4. 会话信息 : SESSION_ID=89c8c7c921a785b58d7f3ae4bdbfae14
  1. /yingpanguazai/ssd/ssd1/www/wwww.yeyulingfeng.com/public/index.php ( 0.79 KB )
  2. /yingpanguazai/ssd/ssd1/www/wwww.yeyulingfeng.com/vendor/autoload.php ( 0.17 KB )
  3. /yingpanguazai/ssd/ssd1/www/wwww.yeyulingfeng.com/vendor/composer/autoload_real.php ( 2.49 KB )
  4. /yingpanguazai/ssd/ssd1/www/wwww.yeyulingfeng.com/vendor/composer/platform_check.php ( 0.90 KB )
  5. /yingpanguazai/ssd/ssd1/www/wwww.yeyulingfeng.com/vendor/composer/ClassLoader.php ( 14.03 KB )
  6. /yingpanguazai/ssd/ssd1/www/wwww.yeyulingfeng.com/vendor/composer/autoload_static.php ( 6.05 KB )
  7. /yingpanguazai/ssd/ssd1/www/wwww.yeyulingfeng.com/vendor/topthink/think-helper/src/helper.php ( 8.34 KB )
  8. /yingpanguazai/ssd/ssd1/www/wwww.yeyulingfeng.com/vendor/topthink/think-validate/src/helper.php ( 2.19 KB )
  9. /yingpanguazai/ssd/ssd1/www/wwww.yeyulingfeng.com/vendor/ralouphie/getallheaders/src/getallheaders.php ( 1.60 KB )
  10. /yingpanguazai/ssd/ssd1/www/wwww.yeyulingfeng.com/vendor/topthink/think-orm/src/helper.php ( 1.47 KB )
  11. /yingpanguazai/ssd/ssd1/www/wwww.yeyulingfeng.com/vendor/topthink/think-orm/stubs/load_stubs.php ( 0.16 KB )
  12. /yingpanguazai/ssd/ssd1/www/wwww.yeyulingfeng.com/vendor/topthink/framework/src/think/Exception.php ( 1.69 KB )
  13. /yingpanguazai/ssd/ssd1/www/wwww.yeyulingfeng.com/vendor/topthink/think-container/src/Facade.php ( 2.71 KB )
  14. /yingpanguazai/ssd/ssd1/www/wwww.yeyulingfeng.com/vendor/symfony/deprecation-contracts/function.php ( 0.99 KB )
  15. /yingpanguazai/ssd/ssd1/www/wwww.yeyulingfeng.com/vendor/symfony/polyfill-mbstring/bootstrap.php ( 8.26 KB )
  16. /yingpanguazai/ssd/ssd1/www/wwww.yeyulingfeng.com/vendor/symfony/polyfill-mbstring/bootstrap80.php ( 9.78 KB )
  17. /yingpanguazai/ssd/ssd1/www/wwww.yeyulingfeng.com/vendor/symfony/var-dumper/Resources/functions/dump.php ( 1.49 KB )
  18. /yingpanguazai/ssd/ssd1/www/wwww.yeyulingfeng.com/vendor/topthink/think-dumper/src/helper.php ( 0.18 KB )
  19. /yingpanguazai/ssd/ssd1/www/wwww.yeyulingfeng.com/vendor/symfony/var-dumper/VarDumper.php ( 4.30 KB )
  20. /yingpanguazai/ssd/ssd1/www/wwww.yeyulingfeng.com/vendor/guzzlehttp/guzzle/src/functions_include.php ( 0.16 KB )
  21. /yingpanguazai/ssd/ssd1/www/wwww.yeyulingfeng.com/vendor/guzzlehttp/guzzle/src/functions.php ( 5.54 KB )
  22. /yingpanguazai/ssd/ssd1/www/wwww.yeyulingfeng.com/vendor/topthink/framework/src/think/App.php ( 15.30 KB )
  23. /yingpanguazai/ssd/ssd1/www/wwww.yeyulingfeng.com/vendor/topthink/think-container/src/Container.php ( 15.76 KB )
  24. /yingpanguazai/ssd/ssd1/www/wwww.yeyulingfeng.com/vendor/psr/container/src/ContainerInterface.php ( 1.02 KB )
  25. /yingpanguazai/ssd/ssd1/www/wwww.yeyulingfeng.com/app/provider.php ( 0.19 KB )
  26. /yingpanguazai/ssd/ssd1/www/wwww.yeyulingfeng.com/vendor/topthink/framework/src/think/Http.php ( 6.04 KB )
  27. /yingpanguazai/ssd/ssd1/www/wwww.yeyulingfeng.com/vendor/topthink/think-helper/src/helper/Str.php ( 7.29 KB )
  28. /yingpanguazai/ssd/ssd1/www/wwww.yeyulingfeng.com/vendor/topthink/framework/src/think/Env.php ( 4.68 KB )
  29. /yingpanguazai/ssd/ssd1/www/wwww.yeyulingfeng.com/app/common.php ( 0.03 KB )
  30. /yingpanguazai/ssd/ssd1/www/wwww.yeyulingfeng.com/vendor/topthink/framework/src/helper.php ( 18.78 KB )
  31. /yingpanguazai/ssd/ssd1/www/wwww.yeyulingfeng.com/vendor/topthink/framework/src/think/Config.php ( 5.54 KB )
  32. /yingpanguazai/ssd/ssd1/www/wwww.yeyulingfeng.com/config/alipay.php ( 3.59 KB )
  33. /yingpanguazai/ssd/ssd1/www/wwww.yeyulingfeng.com/vendor/topthink/framework/src/think/facade/Env.php ( 1.67 KB )
  34. /yingpanguazai/ssd/ssd1/www/wwww.yeyulingfeng.com/config/app.php ( 0.95 KB )
  35. /yingpanguazai/ssd/ssd1/www/wwww.yeyulingfeng.com/config/cache.php ( 0.78 KB )
  36. /yingpanguazai/ssd/ssd1/www/wwww.yeyulingfeng.com/config/console.php ( 0.23 KB )
  37. /yingpanguazai/ssd/ssd1/www/wwww.yeyulingfeng.com/config/cookie.php ( 0.56 KB )
  38. /yingpanguazai/ssd/ssd1/www/wwww.yeyulingfeng.com/config/database.php ( 2.48 KB )
  39. /yingpanguazai/ssd/ssd1/www/wwww.yeyulingfeng.com/config/filesystem.php ( 0.61 KB )
  40. /yingpanguazai/ssd/ssd1/www/wwww.yeyulingfeng.com/config/lang.php ( 0.91 KB )
  41. /yingpanguazai/ssd/ssd1/www/wwww.yeyulingfeng.com/config/log.php ( 1.35 KB )
  42. /yingpanguazai/ssd/ssd1/www/wwww.yeyulingfeng.com/config/middleware.php ( 0.19 KB )
  43. /yingpanguazai/ssd/ssd1/www/wwww.yeyulingfeng.com/config/route.php ( 1.89 KB )
  44. /yingpanguazai/ssd/ssd1/www/wwww.yeyulingfeng.com/config/session.php ( 0.57 KB )
  45. /yingpanguazai/ssd/ssd1/www/wwww.yeyulingfeng.com/config/trace.php ( 0.34 KB )
  46. /yingpanguazai/ssd/ssd1/www/wwww.yeyulingfeng.com/config/view.php ( 0.82 KB )
  47. /yingpanguazai/ssd/ssd1/www/wwww.yeyulingfeng.com/app/event.php ( 0.25 KB )
  48. /yingpanguazai/ssd/ssd1/www/wwww.yeyulingfeng.com/vendor/topthink/framework/src/think/Event.php ( 7.67 KB )
  49. /yingpanguazai/ssd/ssd1/www/wwww.yeyulingfeng.com/app/service.php ( 0.13 KB )
  50. /yingpanguazai/ssd/ssd1/www/wwww.yeyulingfeng.com/app/AppService.php ( 0.26 KB )
  51. /yingpanguazai/ssd/ssd1/www/wwww.yeyulingfeng.com/vendor/topthink/framework/src/think/Service.php ( 1.64 KB )
  52. /yingpanguazai/ssd/ssd1/www/wwww.yeyulingfeng.com/vendor/topthink/framework/src/think/Lang.php ( 7.35 KB )
  53. /yingpanguazai/ssd/ssd1/www/wwww.yeyulingfeng.com/vendor/topthink/framework/src/lang/zh-cn.php ( 13.70 KB )
  54. /yingpanguazai/ssd/ssd1/www/wwww.yeyulingfeng.com/vendor/topthink/framework/src/think/initializer/Error.php ( 3.31 KB )
  55. /yingpanguazai/ssd/ssd1/www/wwww.yeyulingfeng.com/vendor/topthink/framework/src/think/initializer/RegisterService.php ( 1.33 KB )
  56. /yingpanguazai/ssd/ssd1/www/wwww.yeyulingfeng.com/vendor/services.php ( 0.14 KB )
  57. /yingpanguazai/ssd/ssd1/www/wwww.yeyulingfeng.com/vendor/topthink/framework/src/think/service/PaginatorService.php ( 1.52 KB )
  58. /yingpanguazai/ssd/ssd1/www/wwww.yeyulingfeng.com/vendor/topthink/framework/src/think/service/ValidateService.php ( 0.99 KB )
  59. /yingpanguazai/ssd/ssd1/www/wwww.yeyulingfeng.com/vendor/topthink/framework/src/think/service/ModelService.php ( 2.04 KB )
  60. /yingpanguazai/ssd/ssd1/www/wwww.yeyulingfeng.com/vendor/topthink/think-trace/src/Service.php ( 0.77 KB )
  61. /yingpanguazai/ssd/ssd1/www/wwww.yeyulingfeng.com/vendor/topthink/framework/src/think/Middleware.php ( 6.72 KB )
  62. /yingpanguazai/ssd/ssd1/www/wwww.yeyulingfeng.com/vendor/topthink/framework/src/think/initializer/BootService.php ( 0.77 KB )
  63. /yingpanguazai/ssd/ssd1/www/wwww.yeyulingfeng.com/vendor/topthink/think-orm/src/Paginator.php ( 11.86 KB )
  64. /yingpanguazai/ssd/ssd1/www/wwww.yeyulingfeng.com/vendor/topthink/think-validate/src/Validate.php ( 63.20 KB )
  65. /yingpanguazai/ssd/ssd1/www/wwww.yeyulingfeng.com/vendor/topthink/think-orm/src/Model.php ( 23.55 KB )
  66. /yingpanguazai/ssd/ssd1/www/wwww.yeyulingfeng.com/vendor/topthink/think-orm/src/model/concern/Attribute.php ( 21.05 KB )
  67. /yingpanguazai/ssd/ssd1/www/wwww.yeyulingfeng.com/vendor/topthink/think-orm/src/model/concern/AutoWriteData.php ( 4.21 KB )
  68. /yingpanguazai/ssd/ssd1/www/wwww.yeyulingfeng.com/vendor/topthink/think-orm/src/model/concern/Conversion.php ( 6.44 KB )
  69. /yingpanguazai/ssd/ssd1/www/wwww.yeyulingfeng.com/vendor/topthink/think-orm/src/model/concern/DbConnect.php ( 5.16 KB )
  70. /yingpanguazai/ssd/ssd1/www/wwww.yeyulingfeng.com/vendor/topthink/think-orm/src/model/concern/ModelEvent.php ( 2.33 KB )
  71. /yingpanguazai/ssd/ssd1/www/wwww.yeyulingfeng.com/vendor/topthink/think-orm/src/model/concern/RelationShip.php ( 28.29 KB )
  72. /yingpanguazai/ssd/ssd1/www/wwww.yeyulingfeng.com/vendor/topthink/think-helper/src/contract/Arrayable.php ( 0.09 KB )
  73. /yingpanguazai/ssd/ssd1/www/wwww.yeyulingfeng.com/vendor/topthink/think-helper/src/contract/Jsonable.php ( 0.13 KB )
  74. /yingpanguazai/ssd/ssd1/www/wwww.yeyulingfeng.com/vendor/topthink/think-orm/src/model/contract/Modelable.php ( 0.09 KB )
  75. /yingpanguazai/ssd/ssd1/www/wwww.yeyulingfeng.com/vendor/topthink/framework/src/think/Db.php ( 2.88 KB )
  76. /yingpanguazai/ssd/ssd1/www/wwww.yeyulingfeng.com/vendor/topthink/think-orm/src/DbManager.php ( 8.52 KB )
  77. /yingpanguazai/ssd/ssd1/www/wwww.yeyulingfeng.com/vendor/topthink/framework/src/think/Log.php ( 6.28 KB )
  78. /yingpanguazai/ssd/ssd1/www/wwww.yeyulingfeng.com/vendor/topthink/framework/src/think/Manager.php ( 3.92 KB )
  79. /yingpanguazai/ssd/ssd1/www/wwww.yeyulingfeng.com/vendor/psr/log/src/LoggerTrait.php ( 2.69 KB )
  80. /yingpanguazai/ssd/ssd1/www/wwww.yeyulingfeng.com/vendor/psr/log/src/LoggerInterface.php ( 2.71 KB )
  81. /yingpanguazai/ssd/ssd1/www/wwww.yeyulingfeng.com/vendor/topthink/framework/src/think/Cache.php ( 4.92 KB )
  82. /yingpanguazai/ssd/ssd1/www/wwww.yeyulingfeng.com/vendor/psr/simple-cache/src/CacheInterface.php ( 4.71 KB )
  83. /yingpanguazai/ssd/ssd1/www/wwww.yeyulingfeng.com/vendor/topthink/think-helper/src/helper/Arr.php ( 16.63 KB )
  84. /yingpanguazai/ssd/ssd1/www/wwww.yeyulingfeng.com/vendor/topthink/framework/src/think/cache/driver/File.php ( 7.84 KB )
  85. /yingpanguazai/ssd/ssd1/www/wwww.yeyulingfeng.com/vendor/topthink/framework/src/think/cache/Driver.php ( 9.03 KB )
  86. /yingpanguazai/ssd/ssd1/www/wwww.yeyulingfeng.com/vendor/topthink/framework/src/think/contract/CacheHandlerInterface.php ( 1.99 KB )
  87. /yingpanguazai/ssd/ssd1/www/wwww.yeyulingfeng.com/app/Request.php ( 0.09 KB )
  88. /yingpanguazai/ssd/ssd1/www/wwww.yeyulingfeng.com/vendor/topthink/framework/src/think/Request.php ( 55.78 KB )
  89. /yingpanguazai/ssd/ssd1/www/wwww.yeyulingfeng.com/app/middleware.php ( 0.25 KB )
  90. /yingpanguazai/ssd/ssd1/www/wwww.yeyulingfeng.com/vendor/topthink/framework/src/think/Pipeline.php ( 2.61 KB )
  91. /yingpanguazai/ssd/ssd1/www/wwww.yeyulingfeng.com/vendor/topthink/think-trace/src/TraceDebug.php ( 3.40 KB )
  92. /yingpanguazai/ssd/ssd1/www/wwww.yeyulingfeng.com/vendor/topthink/framework/src/think/middleware/SessionInit.php ( 1.94 KB )
  93. /yingpanguazai/ssd/ssd1/www/wwww.yeyulingfeng.com/vendor/topthink/framework/src/think/Session.php ( 1.80 KB )
  94. /yingpanguazai/ssd/ssd1/www/wwww.yeyulingfeng.com/vendor/topthink/framework/src/think/session/driver/File.php ( 6.27 KB )
  95. /yingpanguazai/ssd/ssd1/www/wwww.yeyulingfeng.com/vendor/topthink/framework/src/think/contract/SessionHandlerInterface.php ( 0.87 KB )
  96. /yingpanguazai/ssd/ssd1/www/wwww.yeyulingfeng.com/vendor/topthink/framework/src/think/session/Store.php ( 7.12 KB )
  97. /yingpanguazai/ssd/ssd1/www/wwww.yeyulingfeng.com/vendor/topthink/framework/src/think/Route.php ( 23.73 KB )
  98. /yingpanguazai/ssd/ssd1/www/wwww.yeyulingfeng.com/vendor/topthink/framework/src/think/route/RuleName.php ( 5.75 KB )
  99. /yingpanguazai/ssd/ssd1/www/wwww.yeyulingfeng.com/vendor/topthink/framework/src/think/route/Domain.php ( 2.53 KB )
  100. /yingpanguazai/ssd/ssd1/www/wwww.yeyulingfeng.com/vendor/topthink/framework/src/think/route/RuleGroup.php ( 22.43 KB )
  101. /yingpanguazai/ssd/ssd1/www/wwww.yeyulingfeng.com/vendor/topthink/framework/src/think/route/Rule.php ( 26.95 KB )
  102. /yingpanguazai/ssd/ssd1/www/wwww.yeyulingfeng.com/vendor/topthink/framework/src/think/route/RuleItem.php ( 9.78 KB )
  103. /yingpanguazai/ssd/ssd1/www/wwww.yeyulingfeng.com/route/app.php ( 3.73 KB )
  104. /yingpanguazai/ssd/ssd1/www/wwww.yeyulingfeng.com/vendor/topthink/framework/src/think/facade/Route.php ( 4.70 KB )
  105. /yingpanguazai/ssd/ssd1/www/wwww.yeyulingfeng.com/vendor/topthink/framework/src/think/route/dispatch/Controller.php ( 4.74 KB )
  106. /yingpanguazai/ssd/ssd1/www/wwww.yeyulingfeng.com/vendor/topthink/framework/src/think/route/Dispatch.php ( 10.44 KB )
  107. /yingpanguazai/ssd/ssd1/www/wwww.yeyulingfeng.com/app/controller/Index.php ( 9.50 KB )
  108. /yingpanguazai/ssd/ssd1/www/wwww.yeyulingfeng.com/app/BaseController.php ( 2.05 KB )
  109. /yingpanguazai/ssd/ssd1/www/wwww.yeyulingfeng.com/vendor/topthink/think-orm/src/facade/Db.php ( 0.93 KB )
  110. /yingpanguazai/ssd/ssd1/www/wwww.yeyulingfeng.com/vendor/topthink/think-orm/src/db/connector/Mysql.php ( 5.44 KB )
  111. /yingpanguazai/ssd/ssd1/www/wwww.yeyulingfeng.com/vendor/topthink/think-orm/src/db/PDOConnection.php ( 52.47 KB )
  112. /yingpanguazai/ssd/ssd1/www/wwww.yeyulingfeng.com/vendor/topthink/think-orm/src/db/Connection.php ( 8.39 KB )
  113. /yingpanguazai/ssd/ssd1/www/wwww.yeyulingfeng.com/vendor/topthink/think-orm/src/db/ConnectionInterface.php ( 4.57 KB )
  114. /yingpanguazai/ssd/ssd1/www/wwww.yeyulingfeng.com/vendor/topthink/think-orm/src/db/builder/Mysql.php ( 16.58 KB )
  115. /yingpanguazai/ssd/ssd1/www/wwww.yeyulingfeng.com/vendor/topthink/think-orm/src/db/Builder.php ( 24.06 KB )
  116. /yingpanguazai/ssd/ssd1/www/wwww.yeyulingfeng.com/vendor/topthink/think-orm/src/db/BaseBuilder.php ( 27.50 KB )
  117. /yingpanguazai/ssd/ssd1/www/wwww.yeyulingfeng.com/vendor/topthink/think-orm/src/db/Query.php ( 15.71 KB )
  118. /yingpanguazai/ssd/ssd1/www/wwww.yeyulingfeng.com/vendor/topthink/think-orm/src/db/BaseQuery.php ( 45.13 KB )
  119. /yingpanguazai/ssd/ssd1/www/wwww.yeyulingfeng.com/vendor/topthink/think-orm/src/db/concern/TimeFieldQuery.php ( 7.43 KB )
  120. /yingpanguazai/ssd/ssd1/www/wwww.yeyulingfeng.com/vendor/topthink/think-orm/src/db/concern/AggregateQuery.php ( 3.26 KB )
  121. /yingpanguazai/ssd/ssd1/www/wwww.yeyulingfeng.com/vendor/topthink/think-orm/src/db/concern/ModelRelationQuery.php ( 20.07 KB )
  122. /yingpanguazai/ssd/ssd1/www/wwww.yeyulingfeng.com/vendor/topthink/think-orm/src/db/concern/ParamsBind.php ( 3.66 KB )
  123. /yingpanguazai/ssd/ssd1/www/wwww.yeyulingfeng.com/vendor/topthink/think-orm/src/db/concern/ResultOperation.php ( 7.01 KB )
  124. /yingpanguazai/ssd/ssd1/www/wwww.yeyulingfeng.com/vendor/topthink/think-orm/src/db/concern/WhereQuery.php ( 19.37 KB )
  125. /yingpanguazai/ssd/ssd1/www/wwww.yeyulingfeng.com/vendor/topthink/think-orm/src/db/concern/JoinAndViewQuery.php ( 7.11 KB )
  126. /yingpanguazai/ssd/ssd1/www/wwww.yeyulingfeng.com/vendor/topthink/think-orm/src/db/concern/TableFieldInfo.php ( 2.63 KB )
  127. /yingpanguazai/ssd/ssd1/www/wwww.yeyulingfeng.com/vendor/topthink/think-orm/src/db/concern/Transaction.php ( 2.77 KB )
  128. /yingpanguazai/ssd/ssd1/www/wwww.yeyulingfeng.com/vendor/topthink/framework/src/think/log/driver/File.php ( 5.96 KB )
  129. /yingpanguazai/ssd/ssd1/www/wwww.yeyulingfeng.com/vendor/topthink/framework/src/think/contract/LogHandlerInterface.php ( 0.86 KB )
  130. /yingpanguazai/ssd/ssd1/www/wwww.yeyulingfeng.com/vendor/topthink/framework/src/think/log/Channel.php ( 3.89 KB )
  131. /yingpanguazai/ssd/ssd1/www/wwww.yeyulingfeng.com/vendor/topthink/framework/src/think/event/LogRecord.php ( 1.02 KB )
  132. /yingpanguazai/ssd/ssd1/www/wwww.yeyulingfeng.com/vendor/topthink/think-helper/src/Collection.php ( 16.47 KB )
  133. /yingpanguazai/ssd/ssd1/www/wwww.yeyulingfeng.com/vendor/topthink/framework/src/think/facade/View.php ( 1.70 KB )
  134. /yingpanguazai/ssd/ssd1/www/wwww.yeyulingfeng.com/vendor/topthink/framework/src/think/View.php ( 4.39 KB )
  135. /yingpanguazai/ssd/ssd1/www/wwww.yeyulingfeng.com/vendor/topthink/framework/src/think/Response.php ( 8.81 KB )
  136. /yingpanguazai/ssd/ssd1/www/wwww.yeyulingfeng.com/vendor/topthink/framework/src/think/response/View.php ( 3.29 KB )
  137. /yingpanguazai/ssd/ssd1/www/wwww.yeyulingfeng.com/vendor/topthink/framework/src/think/Cookie.php ( 6.06 KB )
  138. /yingpanguazai/ssd/ssd1/www/wwww.yeyulingfeng.com/vendor/topthink/think-view/src/Think.php ( 8.38 KB )
  139. /yingpanguazai/ssd/ssd1/www/wwww.yeyulingfeng.com/vendor/topthink/framework/src/think/contract/TemplateHandlerInterface.php ( 1.60 KB )
  140. /yingpanguazai/ssd/ssd1/www/wwww.yeyulingfeng.com/vendor/topthink/think-template/src/Template.php ( 46.61 KB )
  141. /yingpanguazai/ssd/ssd1/www/wwww.yeyulingfeng.com/vendor/topthink/think-template/src/template/driver/File.php ( 2.41 KB )
  142. /yingpanguazai/ssd/ssd1/www/wwww.yeyulingfeng.com/vendor/topthink/think-template/src/template/contract/DriverInterface.php ( 0.86 KB )
  143. /yingpanguazai/ssd/ssd1/www/wwww.yeyulingfeng.com/runtime/temp/10a0c909b6afa23b5a52a2e2d58c3c0f.php ( 21.72 KB )
  144. /yingpanguazai/ssd/ssd1/www/wwww.yeyulingfeng.com/vendor/topthink/think-trace/src/Html.php ( 4.42 KB )
  1. CONNECT:[ UseTime:0.001044s ] mysql:host=127.0.0.1;port=3306;dbname=wenku;charset=utf8mb4
  2. SHOW FULL COLUMNS FROM `fenlei` [ RunTime:0.001764s ]
  3. SELECT * FROM `fenlei` WHERE `fid` = 0 [ RunTime:0.000735s ]
  4. SELECT * FROM `fenlei` WHERE `fid` = 63 [ RunTime:0.000653s ]
  5. SHOW FULL COLUMNS FROM `set` [ RunTime:0.001614s ]
  6. SELECT * FROM `set` [ RunTime:0.000618s ]
  7. SHOW FULL COLUMNS FROM `wendang` [ RunTime:0.001778s ]
  8. SELECT * FROM `wendang` WHERE `id` = 336633 LIMIT 1 [ RunTime:0.011854s ]
  9. UPDATE `wendang` SET `liulancishu` = 3 WHERE `id` = 336633 [ RunTime:0.008924s ]
  10. UPDATE `wendang` SET `lasttime` = 1772595354 WHERE `id` = 336633 [ RunTime:0.001369s ]
  11. SELECT * FROM `wendang` WHERE `id` < 336633 ORDER BY `id` DESC LIMIT 1 [ RunTime:0.001464s ]
  12. SELECT * FROM `wendang` WHERE `id` > 336633 ORDER BY `id` ASC LIMIT 1 [ RunTime:0.001263s ]
  13. SELECT * FROM `wendang` WHERE `id` <> 336633 ORDER BY `id` DESC LIMIT 10 [ RunTime:0.005391s ]
  14. SELECT * FROM `wendang` WHERE `id` <> 336633 ORDER BY `id` DESC LIMIT 10,10 [ RunTime:0.002639s ]
  15. SELECT * FROM `wendang` WHERE `id` <> 336633 ORDER BY `id` DESC LIMIT 20,10 [ RunTime:0.003128s ]
0.226121s