当前位置:首页>文档>2015年浙江省高考历史10月(原卷版)_全国卷+地方卷_7.历史_1.历史高考真题试卷_2008-2020年_地方卷_浙江高考历史08-21_A3word版_原卷版(建议只打印原卷版,解析版手机对答案即可)

2015年浙江省高考历史10月(原卷版)_全国卷+地方卷_7.历史_1.历史高考真题试卷_2008-2020年_地方卷_浙江高考历史08-21_A3word版_原卷版(建议只打印原卷版,解析版手机对答案即可)

  • 2026-04-01 20:08:36 2026-03-05 18:09:28

文档预览

2015年浙江省高考历史10月(原卷版)_全国卷+地方卷_7.历史_1.历史高考真题试卷_2008-2020年_地方卷_浙江高考历史08-21_A3word版_原卷版(建议只打印原卷版,解析版手机对答案即可)
2015年浙江省高考历史10月(原卷版)_全国卷+地方卷_7.历史_1.历史高考真题试卷_2008-2020年_地方卷_浙江高考历史08-21_A3word版_原卷版(建议只打印原卷版,解析版手机对答案即可)
2015年浙江省高考历史10月(原卷版)_全国卷+地方卷_7.历史_1.历史高考真题试卷_2008-2020年_地方卷_浙江高考历史08-21_A3word版_原卷版(建议只打印原卷版,解析版手机对答案即可)
2015年浙江省高考历史10月(原卷版)_全国卷+地方卷_7.历史_1.历史高考真题试卷_2008-2020年_地方卷_浙江高考历史08-21_A3word版_原卷版(建议只打印原卷版,解析版手机对答案即可)

文档信息

文档格式
doc
文档大小
0.491 MB
文档页数
4 页
上传时间
2026-03-05 18:09:28

文档内容

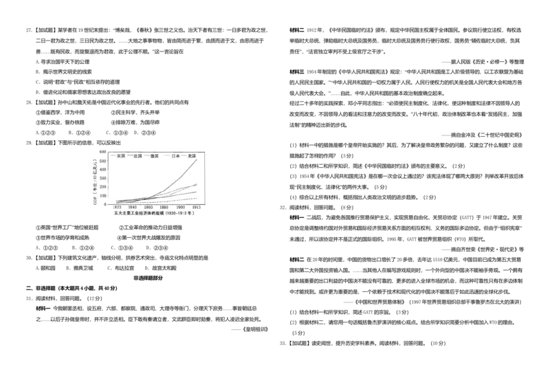
③“师夷长技以制夷” ④“物竞天择。适者生存” 2015年10月浙江省普通高中招生选考科目考试 A.②③①④ B.②④③① C.③②④① D.④③①② 历史试题 8.新材料的发现始终是史学研究的动力。“丹东一号”沉船经水下考古调查与研究,极有可能是黄海海战中爱国将 领邓世昌率领官兵与日军激战的战舰。它是 选择题部分 A.“致远”舰 B.“定远”舰 C.“靖远”舰 D.“经远”舰 一、选择题(本大题共30小题,每小题2分,共60分。每小题列出的四个备选项中只有一个是符合题目要求的, 9.1872年,广东商人陈启源自海外归来,次年在南海创办继昌隆缫丝厂,使用机器,雇佣工人进行生产。该厂的 不选、多选、错选均不得分) 创办反映出 1.周灭商后,以崭新的政治风格实行统治,“由是天子之尊,非复诸侯之长,而为诸侯之君。”形成这种政治风格 A.洋务企业在困境中转型 B.民族工业进入初步发展阶段 的制度基础主要是 C.民族工业短暂春天到来 D.近代民族工业产生的一种途径 A.宗法制 B.分封制 C.郡县制 D.察举制 10.日本帝国主义在侵华战争期间对中国人民犯下了滔天罪 行。右图 2.据古罗马学者记载,“中国产丝,织成锦绣文绮、运至罗马……裁成衣服,光辉夺目,人工巧妙达到极点。”这 所示反映了 种现象的出现是因为 A.旅顺大屠杀 A.汉代纺织技术发达,产品远销地中海地区 B.九一八事变 B.绒棉、织金绒、天鹅绒等纺织品流行 C.南京大屠杀 C.唐代丝织品经丝绸之路输至欧洲 D.八一三事变 D.黄道婆改进织造技术 11.在抗日民族统一战线旗帜下,国共两党合作抗日。在一次会战中,国民革命第十八集团军某部取得了全面抗战 3.右图是中国古代的文人画。下列各项中, 不符合 以来的首次大捷。这次会战是 该画艺术形式特点的是 A.淞沪会战 B.太原会战 C.徐州会战 D.枣宜会战 A.强调个性表现 B.追求抒情 写意 12.1978年,中共十一届三中全会在北京召开。这次会议重新确立的思想路线是 C.融多种艺术为一体 D.须逼真 摹写自 A.“以阶级斗争为纲” B.解放思想,实事求是 然景物 C.建立社会主义市场经济体制 D.建设有中国特色社会主义 4.唐朝出现了结构更为完备,可根据实际需 要,改 13.周恩来说:“我们注意到尼克松总统来华前的讲话中也谈到,‘我们必须做的事情是寻找某种办法使我们可以有 变牵引点高低,控制耕土深浅的农业生产工具。它是 分歧而又不成为战争中的敌人。’我们希望……两国的关系能够有一个新的开始。”这个“新的开始”发生在 A.耦犁 B.曲柄锄 C.曲辕犁 D.翻车 A.20世纪50年代 B.20世纪60年代 5.有人评论一位古代文学家的词作:“慷慨纵横,有不可一世之概……能于剪红刻翠之外,屹然别立一宗。”下列 C.20世纪70年代 D.20世纪80年代 人物,符合这一评论的是 14.1984年,中共中央、国务院决定在14个沿海港口城市逐步兴办经济技术开发区。第一个国家级经济技术开发 A.李白 B.柳永 C.李清照 D.辛弃疾 区设在 6.“某今说个知行合一,正是对病的药,又不是某凿空杜撰,知行本体原是如此。”语出一位著名思想家。他生活 A.大连 B.厦门 C.北海 D.深圳 在 15.下列漫画表现了中国社会经济生活发生的巨大变化。这种变化反映了 A.北宋 B.南宋 C.明代 D.清代 7.中国近代思想的演进“既不是一江长流,也不止一个洪峰,而是以一个接一个思潮的涨落相继出现的。”下列思 潮按其先后顺序排列,正确的是 ①“三民主义” ②“师夷长技以自强”21.1919年,英国科学家率领日全食观测队在巴西和非洲拍摄的恒星照片,证实了“遥远的星光如果掠过太阳表面, 将会发生1.7秒的偏转”的科学预言。这一预言提出的依据是 A.开普勒天体力学 B.牛顿经典力学 C.爱因斯坦广义相对论 D.普朗克量子理论 22.右图所示为世界反法西斯战争中的一次重要战役。该 战役是 A.莫斯科战役 A.社会主义改造的完成 B.“大跃进”运动的开展 B.斯大林格勒战役 C.“文化大革命”的结束 D.改革开放的成效 C.库尔斯克会战 16.20世纪末,中国的传统服饰连同印花棉布、古典丝绸又在国际时装舞台上活跃起来,掀起了一股股各具特色的 D.柏林战役 “中国风”。时装“中国风”的出现反映了 23.1943年,世界反法西斯联盟的三个主要国家签署了 《开罗宣 ①归真返璞的文化现象 ②经济全球化的加强 言》,向世人庄严宣告:日本所窃取于中国的领土, 如东北、 ③中国综合国力的提升 ④服饰深受政治生活的影响 台湾、澎湖列岛等,归还中国。这三个国家是 A.①②③ B.①②④ C.①③④ D.②③④ A.美国、苏联、中国 B.苏联、美国、英 国 17.史载,伯利克里执政时期,雅典城内大约有4.5万名成年男性公民,5万名外邦人,还有大约10万名奴隶, C.中国、苏联、英国 D.美国、英国、中 国 妇女和儿童也有10万人。这种情况说明雅典的民主政治 24.20世纪80年代初,一些西方学者到日本考察,探求企业成功的秘密。当时日本所采取的是 A.受到了工商业繁荣的影响 B.经历了一个漫长的发展过程 A.社会市场经济模式 B.计划指导型经济模式 C.在参政方式上存在多样化 D.在实施范围上存在明显局限 C.政府主导型市场经济模式 D.“宏观调控、微观自主”经济政策 18.莎士比亚在《哈姆雷特》中写道:“人是一件多么了不起的杰作!在理性上多么高贵!在才能上多么无限…… 25.右图所示空客机的零部件由多国生产,这能反映 宇宙的精华!万物的灵长!”这反映了文艺复兴运动的主流思潮是 A.北约组织的扩大 A.基督教神学 B.禁欲主义 C.人文主义 D.浪漫主义 B.欧洲统一货币的诞生 19.“如果同一个人或是由重要人物、贵族或平民组成的同一机关行使这三种权力,即制定法律权、执行公共决议 C.世界贸易组织的建立 权和裁判私人犯罪或争讼权,则一切便都完了。”这段论述出自 D.西欧经济一体化的推进 A.伏尔泰《哲学通信》 B.孟德斯鸠《论法的精神》 26.【加试题】有学者认为,没有一个研究西周史的学 者看到过 C.卢梭《社会契约论》 D.卢梭《论人类不平等的起源和基础》 烽火戏诸侯,也没有一个研究亚里土多德的学者 见过他本 20.下表所列数字的变化,反映了英国工业革命 人,我们只能通过目击者和追忆者的记载来叙述 以往的史 英国棉纺织业动力织布机台数变化表(单位:万台) 年份 1813 1820 1829 1833 1850 1861 实。这表明 A.史学家需要认真地考证与辨析他所研究的事实 台数 0.24 1.4 5.5 10 25 40 B.史学家必须经过田野考古,以获取第一手材料 A.改变了世界格局 B.密切了国际交流 C.历史研究对象的间接性造成史实表述的不确定性 C.完成了城市化进程 D.提高了社会生产力 D.历史研究不是抽象的争论,需要专门技术的支持27.【加试题】某学者在19世纪末提出:“博矣哉,《春秋》张三世之义也。治天下者有三世:一日多君为政之世, 材料二 1912年,《中华民国临时约法》颁布,规定中华民国主权属于全体国民。参议院行使立法权,有权选 二日一君为政之世,三日民为政之世。……大地之事事物物,皆由简而进于繁,由质而进于文,由恶而进于 举临时大总统、弹劾临时大总统及国务员,临时大总统及国务员行使行政权,国务员“辅佐临时大总统,负其 善……既有民政,而旋复退而为君政,此于公理不顺。”这一言论旨在 责任”,“法官独立审判不受上级官厅之干涉”。 A.寻求治国平天下的公理 ——据人民版《历史·必修一》等整理 B.揭示世界文明史的线索 材料三 1954年制定的《中华人民共和国宪法》规定:“中华人民共和国是工人阶级领导的、以工农联盟为基础 C.说明“君政”与“民政”相互依存的道理 的人民民主国家。”“中华人民共和国的一切权力属于人民。人民行使权力的机关是全国人民代表大会和地方各 D.借进化论和儒家思想表达政治改良的愿望 级人民代表大会。”……自此,中华人民共和国的基本政治制度确立起来。 28.【加试题】孙中山和詹天佑是中国近代化事业的先行者。他们的共同点有 经过二十多年的实践探索,邓小平同志指出:“必须使民主制度化、法律化,使这种制度和法律不因领导人的 ①借鉴西学,洋为中用 ②民主科学,齐头并举 改变而改变,不因领导人的看法和注意力的改变而改变。”八十年代初,政治体制改革也本着“发扬民主,加强 ③致力实业,督办铁路 ④排除万难,为国尽瘁 法制”的精神迈出新的步伐。 A.①②③ B.①②④ C.①③④ D.②③④ ——摘自金冲及《二十世纪中国史纲》 29.【加试题】下图所示的信息,可以反映出 (1)材料一中的措施是哪个皇帝开始实施的?其后,为了解决皇帝政务繁杂的问题,又建立了什么制度?这些 措施起了怎样的作用?(3分) (2)结合材料二和所学知识,简述《中华民国临时约法》颁布的主要意义。(2分) (3)1954年《中华人民共和国宪法》是在哪一次会议上通过的?该宪法体现了哪两大原则?列举改革开放后体 现“民主制度化、法律化”的两件大事。(5分) (4)综合以上所有材料,概括指出人类政治文明的进步趋势。(2分) 32.阅读材料,回答问题。(8分) 材料一 二战后,为避免各国推行贸易保护主义,实现贸易自由化,关贸总协定(GATT)于1947年建立。关贸 ①英国“世界工厂”地位被赶超 ②工业革命的推动力日益增强 总协定是调整缔约国对外贸易和国际经济贸易关系方面的相互权利、义务的国际多边协定。但由于“组织宪章” ③世界市场的孕育和成熟 ④第一次世界大战爆发的原因 未通过,所以该协定并不是正式的国际组织。1995年,GATT被世界贸易组织(WTO)所取代。 A.①②③ B.①②④ C.①③④ D.②③④ ——摘自齐世荣《世界史·现代史》等 30.【加试题】下列建筑文化遗产,轴线分明,拱券艺术突出,寺庙文化特点明显的是 材料二 在20年的时间里,中国的货物出口增长了20多倍,去年达1510亿美元,中国目前已成为第五大贸易 A.颐和园 B.雅典卫城 C.布达拉宫 D.故宫太和殿 国和第二大外国投资输入国。……当其他人在编写游戏规则时,一个外向型的中国决不能袖手旁观。一个拥有 非选择题部分 越来越重要的出口利益的中国决不能没有可靠的、更多的进入全球市场的机会,而这种可靠性只有在多边体制 二、非选择题(本大题共4小题,共40分) 中才能找到。或许更为重要的是,一个依赖于技术和现代化的中国决不能落后于如此迅速的全球化步伐。 31.阅读材料,回答问题。(12分) ——《中国和世界贸易体制》(1997年世界贸易组织总部干事鲁罗杰在北大的演讲) 材料一 今我朝罢丞相,设五府、六部、都察院、通政司、大理寺等衙门,分理天下庶务……事皆朝廷总 (1)结合材料一和所学知识,简述GATT的宗旨。(3分) 之……以后子孙做皇帝时,并不许立丞相。臣下敢有奏请立者,文武群臣即时劾奏,将犯人凌迟全家处死。 (2)根据材料二,请您用一句话概括鲁杰罗演讲的核心观点。结合所学知识简要分析中国加入WTO的理由。 ——《皇明祖训》 (5分) 33.【加试题】读史阅世,提升历史学科素养。阅读材料,回答问题。(10分)材料一 谈教育者,示可不知孔子。其收徒讲学,传承礼乐文化,倡“己欲立而立人,己欲达而达人”,“文质彬 彬,然后君子”,影响至深且远。汉兴,选用儒学之士,设立太学,由国家培养政治管理人才。隋唐以降,实 行科举,“社会孤寒之士,亦得平地拔起,厕身仕宦。”岁月如歌,回顾历朝选士之路,漫步于故宫保和殿,谁 能想到这里曾是儒生向往的“天子堂”! ——据《中国政治史大纲》、《历史·选修》整理 材料二 关于科举制,学术界有不同的认识:①以往流行的看法认为,以科举考试为目的的应试教育,严重束 缚人们的思想,扼杀了创新精神。②20世纪末叶,一些学者发现以前对科举制的看法,过于简单化。放在古 代的历史上考察,它打破了社会、阶级之间不可跨越的鸿沟,使平民子弟通过苦读,也有可能成为状元、榜眼 探花。仅凭这一点,都应该为它谱上一曲赞歌。 ——选自李伯重《八股之外》等 (1)根据材料一和所学知识,指出孔子“收徒讲学”与西汉“设立太学”办学性质的不同,概括孔子的教育目标。说 明保和殿成为儒生向往的“天子堂”的原因。(6分) (2)在历史的变迁中,科举制留下深刻的烙印。对材料二中的两种看法,您更倾向于哪一种?请结合所学谈谈 自己的认识。(4分。只列观点,不说理由不得分) 34.【加试题】今年是世界反法西斯战争胜利70周年。前事不忘后事之师,认识法西斯主义的危害,避免历史悲剧 重演。阅读材料,回答问题。(10分) 材料一 第一次世界大战后,战胜国的经济惩罚转嫁到了德国人民身上。成千上万从前线回来的军官们流落街 头,他们不时怀念着帝国往日的荣光,“钢盔团”、“前线战士同盟”等右翼武装团体,得到了国防军部的津贴。 之后,经济危枫使国内矛盾日益尖锐,而当时的德国政府对此束手无策。希特勒和他的纳粹党正是利用了上述 情势,乘机兴风作浪。 ——摘编自黄玉章等《第二次世界大战》 材料二 在希特勒看来,战争不仅是夺取“生存空间”的手段,也成为维护“优等种族”的目的。为“彻底解决”犹太 人,德国不仅进行了大规模屠杀,更建立了遍布各地的死亡集中营、毒气室、焚尸炉。尽管纳粹分子企图销毁 证据,但是这些遗址仍保留下来,并成为曾经发生的历史悲剧的重要见证。 ——据丁建弘《德国通史》整理 (1)根据材料一,分析德国法西斯专政建立的主要原因。(4分) (2)结合所学知识,写出与材料二直接关联的“历史悲剧重要见证”的遗址的名称,并说明其主要特点。根据材 料二概括法西斯主义的实质。(6分)