当前位置:首页>文档>2016年江苏省高考历史试卷_全国卷+地方卷_7.历史_1.历史高考真题试卷_2008-2020年_地方卷_江苏高考历史08-20_A3word版

2016年江苏省高考历史试卷_全国卷+地方卷_7.历史_1.历史高考真题试卷_2008-2020年_地方卷_江苏高考历史08-20_A3word版

  • 2026-04-14 22:51:22 2026-03-05 21:44:13

文档预览

2016年江苏省高考历史试卷_全国卷+地方卷_7.历史_1.历史高考真题试卷_2008-2020年_地方卷_江苏高考历史08-20_A3word版
2016年江苏省高考历史试卷_全国卷+地方卷_7.历史_1.历史高考真题试卷_2008-2020年_地方卷_江苏高考历史08-20_A3word版
2016年江苏省高考历史试卷_全国卷+地方卷_7.历史_1.历史高考真题试卷_2008-2020年_地方卷_江苏高考历史08-20_A3word版
2016年江苏省高考历史试卷_全国卷+地方卷_7.历史_1.历史高考真题试卷_2008-2020年_地方卷_江苏高考历史08-20_A3word版
2016年江苏省高考历史试卷_全国卷+地方卷_7.历史_1.历史高考真题试卷_2008-2020年_地方卷_江苏高考历史08-20_A3word版

文档信息

文档格式
doc
文档大小
0.205 MB
文档页数
5 页
上传时间
2026-03-05 21:44:13

文档内容

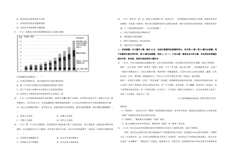
合,即“财产共有与权力全面控制的组合”。在这种思想的“组合”过程中,没有对其产生影响的是 2016年江苏省高考历史试卷 ( ) 一、选择题:本大题共20题,每题3分,共计60分.在每小题列出的四个选项中,只有一项最符合题目要求. A.农民起义中的“均贫富”思想 1.(3分)中国传统家族有“长兄如父”“小儿不及长孙”的说法。这些说法体现的是( ) B.基督教平等思想 A.家族和睦 B.等级秩序 C.贵族世袭 D.宗法观念 C.《礼记•礼运》中“大同”思想 2.(3分)《史记》记载:“秦王发图,图穷匕首见…(荆轲)乃引其匕首以掷秦王,不中,中铜柱。”山东 D.“中体西用”思想 嘉祥武氏祠的汉代画像石《荆轲刺秦王》(如图)再现了这一场景。《史记》记载和这块画像石在( ) 7.(3分)1884年刊行的直隶《玉田县志》载:“洋舶互市…我之需于彼者,至不可胜数,饮食日用曰洋货者, 殆不啻十之五。”冶又据光绪《雄县乡土志》:“亚谷城村,居民多以熬硝或以硫黄蘸促灯为业,自火柴行, 而此业渐歇。”综合这些材料,可知这一时期( ) A.经营洋货和新产品的店铺增多 B.中国传统的手工业遭到沉重打击 C.洋货的销售在口岸遭到了抵制 D.外来技术的传入促进手工业发展 A.描绘上是一致的 B.形式上是一致的 8.(3分)1897年10月,严复等人在天津创办《国闻报》,一方面选择百余种外国报刊作为稿件来源,另一 C.风格上是一致的 D.主题上是一致的 方面还派员到各地采访,国内偏重于北方各省,国外则设访员于伦敦、巴黎、柏林、彼得堡、纽约、华盛顿 3.(3分)《无锡道中赋水车》咏颂:“翻翻联联衔尾鸦,荦荦确确蜕骨蛇…天公不念老农泣,唤取阿香推雷 等处。这表明( ) 车。”这里“水车”的使用( ) A.国内无报刊供其选稿 A.开启农具自动化的先河 B.提高了农田抗旱的能力 B.维新派要让读者了解国内外大事 C.标志着灌溉技术的成熟 D.使农业摆脱自然的束缚 C.清政府允许自由办报 4.(3分)“宋沿唐制,亦贵进士科。然唐时犹兼采誉望,不专辞章。宋则糊名考校,一决文字而已。”由此 D.维新思想的传播仅限于北方各省 可见,与唐代科举相比,宋代( ) 9.(3分)如表是1894~1914年英、日等国占中国对外贸易总值的百分比。 A.考试程序更加公正 B.取士科目有所减少 年份 英国 日本 其他 C.进士及第尤为尊贵 D.录取人数大大增加 1894 69.49 6.26 24.25 5.(3分)明末思想家李贽是一位狂狷之士:他剃光头发留着长须,“儒帽裹僧头”,穿着亦僧亦儒的怪异服 1900 62.99 11.20 25.81 装;他讲学传道,却收女弟子。由此可见,李贽( ) 1905 55.71 14.04 30.25 A.致力于儒学和佛教的融合 1910 50.89 16.14 32.97 B.认可明代妇女地位的变化 1914 48.31 20.39 31.30 C.力图冲破封建传统的束缚 对表中数据解读正确的是( ) D.渴望得到超然物外的自由 A.《马关条约》签订后日本加强对中国的经济侵略 6.(3分)有学者认为,《天朝田亩制度》在晚清思想史中具有独特性,显示了传统思想里从未有过的一种组B.对英贸易比重降低表明英国国际地位的明显下降 C.这一阶段帝国主义列强的经济侵略以商品倾销为主 D.对其他国家贸易比重变化折射出中国国际地位提高 10.(3分)1921年成都警察厅发布通令:“近日妇女每多剪发齐眉,并梳拿破仑、华盛顿等头式(流行的男 式发型),实属有伤风俗,应予以禁止,以挽颓风…如敢固违,定以妇女坐法并处罚家长。”对此解读正确 的是( ) A.剪发齐眉成为妇女的普遍选择 B.男女平等思想逐渐深入人心 C.新潮女性的行为冲击传统习俗 A.远处的工厂寓意工业化基本实现 D.处罚措施体现民国法治精神 B.图下的文字宣传了绿色环保观念 11.(3分)1938年1月,国民政府为管理全国经济事务,将实业部改组为经济部,其职权范围包括了战时主 C.往来的船只说明交通运输业基础良好 要生产领域和商业领域,下属机构众多。经济部的设立( ) D.工作的场景展现工人投身建设的热情 A.适应了战争持久化的需要 14.(3分)雅典将领阿里斯蒂德被公民大会陶片放逐后,仅过了两年多就被召回,因为波斯大军入侵,需要他 B.标志着工作重心转向经济领域 参与作战。打败波斯后,他得以重新任职,而指挥战争获得胜利的功臣地米斯托克利却被陶片放逐。由此可 C.提高了后方百姓生活水平 见( ) D.导致抗战时期行政效率的低下 A.多数人的意愿未必代表公平正义 12.(3分)对于即将参加的某国际会议,中国代表团定下的外交基调是:争取越南南北以北纬 16度线为界实 B.陶片放逐法是对将领去留的表决 现停战,促使法军撤出,反对美国干涉。这次国际会议是( ) C.直接民主导致了雅典的派系纷争 A.日内瓦会议 D.主权在民容易导致城邦内部混乱 B.万隆会议 15.(3分)某学者认为:他们摆脱了对上帝的恐惧,但是仍然对神表现出尊敬的态度。他们嘲笑六天创造世界 C.第一届不结盟政府首脑会议 的观念,但是仍然相信宇宙是上帝按照理性计划设计的完美结合的机器,是人类永久居住的场所。“他们是 D.第26届联合国大会 ( ) 13.(3分)如图是我国“一五”计划期间为配合大规模建设而绘制的宣传海报。对其解读正确的是( ) A.文艺复兴时期的文学家 B.宗教改革的发起者 C.启蒙运动时期的思想家 D.进化理论的倡导者 16.(3分)如表是美国制宪会议中出现的三个国会建设方案。 方案一(弗吉尼亚方案) 方案二(新泽西方案) 最终方案(康涅狄格方案) 设立一个按人口比例分配表决权的 设立一个各州无论大小有同等表决 设立各州享有同等表决权的参议院 国会 权的国会 和按人口数确定代表名额的众议院 最终方案的形成过程体现了( ) A.选举是民主原则的基本体现B.国会是代议政体的权力中枢 20.(3分)1987年,英、法、意等12国签署了单一欧洲文件,一致同意制定共同的生产标准,消除资本流动 C.妥协是现代政治的重要机制 的障碍,寻求统一的税率,相互承认别国颁发的专业和商业执照,遵守共同的劳动权利宪章。各国将共同创 D.分权是共和制度的关键措施 建一个“没有国界的欧洲”。该文件的签署( ) 17.(3分)如图是19世纪英国国民总收入来源示意图。 A.启动了欧洲经济的多领域合作 B.为欧盟成立奠定基础 C.表明了欧洲政治一体化的实现 D.为欧元发行扫清障碍 二、非选择题:本大题共4题,满分40分,包括必做题和选做题两部分.其中第21题~第23题为必做题,每 个试题考生都必须作答.第24题为选做题,包括A、B、C、D四小题,请选定其中两小题,并在相应的答题区 域内作答.若多做,则按作答的前两小题评分. 21.(12分)历代王朝的商业政策蕴含着一以贯之的经济思想,也会因时代变化而作出调整。阅读下列材料: 材料一 汉文帝变“抑商”政策为“惠商”政策。下令“开关梁,弛山泽之禁”。这些措施实行后,出现了 “富商大贾周游天下,交易之物莫不通,得其所欲”的隆盛局面。人民可以进入山泽自由樵采、捕捞,以补 助生活。但文、景时期,抑商政策中之“市井之子孙亦不得仕宦为吏”的规定一直未取消。 对该图解读正确的是( ) A.19世纪英国农业、林业和渔业处于稳定增长阶段 材料二 在西汉中前期,出现了“用贫求富”的热潮。求富最有效的途径是经商。经商也有经商的学问,商 B.第二产业收入的增长与其发展的阶段特征不相符 人们把“求利”看做是人生的主要追求目标,有“天下熙熙,皆为利来;天下攘攘,皆为利往”的说法。为 C.第三产业收入的增长并未体现工业化阶段的特征 了求利而总结的经验,有“夫用贫求富,农不如工,工不如商,刺绣文不如倚市门。此言末业贫者之资也”, D.经济收入与国民经济在结构的变化上呈现出一致 还有“以末致财,用本守之”等。 18.(3分)近代某画家的油画中这样描绘:画面中央矗立着天主教堂,它的塔尖直指天空;画面下方是一群 ﹣﹣以上材料摘编自张传玺《简明中国古代史》 卑微的人,正在河边工作;右边是幽静的小镇和高高的拱桥;天上的云彩和落日似乎在保佑着教堂和小镇。 请回答: 这一切让人显得格外渺小。有学者认为,该画充满对自然的赞美,富有宗教神秘感。据此判断这幅画属于( (1)据材料一,指出汉文帝“惠商”政策的做法和成效。结合所学知识,概括指出战国至汉文帝统治前 ) “抑商”政策的主要目的及其经济后果。 A.现实主义流派 B.浪漫主义流派 (2)据材料二,概述西汉中前期的“求富”观念。 C.印象主义流派 D.现代主义流派 (3)据上述材料并结合所学知识,简要说明“抑商”和“惠商”的关系。 19.(3分)第一个五年计划期间,苏联政府在各地组建了数千个拖拉机站。每个站配备一批拖拉机和联合收 22.(15分)新文化运动中的思想先驱对中国传统文化进行了深刻的反思。阅读下列材料: 割机,农业机械化水平大大提高,但在接下来的几年里,农业并没有明显增产。造成这一后果的主要原因是 材料一新文化运动的代表人物尖锐地批评了传统儒学的有关内容,但是他们并未全盘否定儒学。中国的 ( ) 文化、社会和历史,是一个较之传统儒家意义更为广大的传统。在对待这个大传统的态度问题上,新文化运 A.农村缺少机械操作员 B.农业正在进行集体化 动没有“全部摒弃”“彻底否定”的看法。陈独秀认为,中国文明,包括儒家学说中所包含的许多积极有益 C.农民缺乏生产积极性 D.农庄没有土地所有权的内容,实际上与人类文化的普遍价值相联系相一致。上海某报批评北京大学设立“元曲”的课目,指元曲 (3)据上述材料,归纳凯南“长电报”和诺维科夫报告核心内容的共同之处,指出这两个报告形成各自认 为“亡国之音”,认为不当讲授。陈独秀反对这一看法。他还公开承认,钱玄同废除汉字的主张过于急切, 识的依据。 是对传统语言文字用了“用石条压驼背的医法”。 【选做题】本题包括A、B、C、D四小题,请选定其中两小题,并在相应的答题区域内作答.A【历史上重大改 ﹣﹣摘编自李良玉《思想启蒙与文化重建》 革回眸】 材料二新文化运动的领袖们本身都是非常激烈的。他们不承认任何传统的权威和因袭的教条,礼教、自 24.(10分)农奴制改革是俄国历史上的重要事件,它具有明显的历史局限性。阅读下列材料: 然观、社会、国家制度,乃至汉字、中医、京剧等传统文化,都遭到无情的批判。这个勇猛的、也是简单而 材料一人们有理由推断,农民对解放宣言会无比感激,无比高兴。可实际上,宣言在农民中间引起的与 绝对的批判运动,极大地解放了人们的思想,虽不可避免地具有一些形式主义的偏向。 其说是欣喜,不如说是失望。要理解这一奇特的事实,我们就必须努力置身于农民的立场来看待这个问题。 ﹣﹣摘编自李新《中华民国史》 有一点我们必须注意到,所有那些含含糊糊、激情洋溢的有关自由劳动、人类尊严、民族进步一类的言辞, 请回答: 落到俄国农民耳朵里,犹如雨滴砸在花岗岩上一般。他想要的不过是一座可以住的房子,有食物吃,有钱买 (1)据材料一、二并结合所学知识,概括指出新文化运动的代表人物对传统文化的认识,分析这些认识产 衣服穿而已。 生的原因。 ﹣﹣摘编自华莱士《俄国》 (2)据材料一、二并结合所学知识,评新文化运动代表人物对传统文化的认识。(要求:观点明确;史论 材料二克里米亚战争的失败逼迫沙皇政府展望未来并加快现代化的步伐,因为如若不然,俄国就会永远 结合;逻辑严密;表述通畅;280字左右) 不再是一个强国。但是,沙皇政府则怀旧地回顾过去,希望改革能巩固俄国而无须削弱独裁统治。政府对待 23.(13分)1946年,美国和苏联两国外交官向各自政府提交了研究报告,对政府的外交政策以及两国间的 贵族的态度反映了它最重要的艰难选择:一方面,想要实施现代化的欲望促使它有时候采取与其需要相反的 “冷战”产生了影响。阅读下列材料: 行动,例如,解放农奴。另一方面,想要保持独裁专制制度和社会稳定性的愿望,又促使沙皇把贵族作为传 材料一 美国驻苏大使馆代办凯南向美国政府提交了 8000 字的“长电报”。电文中认为,克里姆林宫对世界 统的基础来依靠。 事务的认知根源于苏联传统的不安全感。为了求得安全,他们从未考虑与对手达成妥协,而是要将对手置于 ﹣﹣摘编自莫斯《俄国史》 死地。凯南还将苏联描绘为一个专制传统早已与意识形态强制相整合的国家,因而它认为外部世界是敌对的。 请回答: 美国必须把对付苏联放在美国对外政策的首位。 (1)据材料一并结合所学知识,分析“农民”对“解放宣言”不满的原因。 ﹣﹣摘编自周建明《美国国家安全战略的基本逻辑》等 (2)据材料二并结合所学知识,分析俄国农奴制改革具有保守倾向的原因。 材料二 苏联驻美大使诺维科夫写了一篇名为《战后美国的外交政策》的报告。报告认为,战后美国争霸世 (3)据上述材料,总结俄国农奴制改革“怀旧”保守致使改革不彻底的教训。 界的动因是垄断资本的帝国主义扩张。美国利用第二次世界大战其竞争对手被削弱的时机,其资本已渗透到 B【中外历史人物评说】 世界的许多国家,加强了在世界的经济地位。美国正在从国外和国内两个方向,集中反动力量对苏联进行包 25.(10分)李时珍编撰的《本草纲目》代表着中国古代药物学的最高成就。阅读下列材料: 材料一 作为一名医生,李时珍非常注重药物名实的考证。鉴于历代本草虽屡经修订,仍有不少错误,于是 围。美国已成为苏联的对手。美国正运用着资本和军事这两种武器妄图达到其称霸世界的目的。 ﹣﹣摘编自刘子奎《二十世纪东西方关系》 他立志重修本草,经过多年寻访,三易其稿,终于完成了举世闻名的《本草纲目》……生姜是味常用药,可 请回答: 历代药书都强调生姜不可多食、久食,但未提及生姜的害处。李时珍便天天食之,结果“眼发热”,后他在 (1)据材料一,概括凯南“长电报”的主要内容。结合所学知识,分析“长电报”中提到的美苏已由战时 《本草纲目》中写道:“食姜久,积热患目疾,珍屡试有准。 盟友变为“对手”这一变化产生的原因。 ﹣﹣﹣摘编自卢嘉锡《中国科学技术史》等 (2)据材料二,概括诺维科夫报告的主要内容。 材料二《本草纲目》成书于1578年,但已谈到接种疫苗以防治天花及今天仍在应用的一些医药用品。欧洲学者普里高津在论及《本草纲目》等中国古代医药学著作时曾高度评价:“中国传统的学术思想是首重于研究 门为此目的设计的特殊装置里完成。它将行刑者同受害者的距离拉大﹣﹣﹣这是一场如此大规模灭绝计划中 整体性和自然性,研究协调与协和。现代新科学的发展更符合中国的哲学思想。” 不可缺少的一种心理优势。这一大规模官僚及工业化屠杀世界的“首府”是奥斯维辛。 ﹣﹣﹣摘编自张岱年《中国文化概论》 ﹣﹣摘自巴尔纳维《世界犹太人历史》 请回答: 材料二纳粹屠犹事件无疑是人类历史上发生的一起暴虐的屠杀行径。从本质上说,这一由纳粹德国实施 (1)据材料一,概括指出李时珍从事药物研究的特点。结合所学知识,归纳《本草纲目》的优点。 的对犹太人的大屠杀是对人类文明基础的否定。尽管中国远离欧洲,但对纳粹屠犹事件还是表现出了应有的 (2)据材料一、二并结合所学知识,指出以《本草纲目》为代表的中国古代科技文明的特点和地位。 关注。纳粹屠犹研究为中国人民提供了一种极为有价值的参考,使他们可以一个新的角度重新审视侵华日军 C【探索历史的奥秘】 对中国人民的屠杀。 26.二里头遗址的发掘推动了夏史研究。阅读下列材料: ﹣﹣﹣摘编自徐新《纳粹屠犹研究在中国》 材料一见图。 请回答: 材料二20世纪初,甲骨文的破译和近代考古学的引进为历史研究注入新的活力,开辟了新的途径…… (1)据材料一并结合所学知识,说明德国法西斯迫害犹太人的历史背景,指出纳粹建造奥斯维辛集中营的 自从王国维最先揭破这一道理之后,不少人相信“地下之材料”与“纸上之材料”的结合将会获得意想不到 目的。 的成果。商史的突破性进展如此,夏史也有这种可能。 (2)据材料一、二并结合所学知识,指出纳粹屠犹和侵华日军屠杀中国人的罪恶实质,深入思考二战期间 ﹣﹣﹣袁行霈《中华文明史》 德日法西斯罪行的警示意义。 请回答: (1)据材料一并结合所学知识,列举二里头文化遗存的主要类型,指出目前根据考古发现测定文物年代的 主要技术手段。 (2)据材料二并结合所学知识,说明20世纪以来夏史研究的新方法及其对夏文化研究的意义。 D【世界文化遗产荟萃】 27.奥斯维辛集中营是具有警示意义的世界文化遗产,这里曾是虐待和杀戮犹太人的人间地狱。阅读下列材料: 材料一到1941年冬,虽然约150万犹太人已被枪决,纳粹分子仍感到这一缓慢笨重方式的效率有许多地 方需要改进,并且他们发现这对士兵的士气也不好。有组织杀害的机构化建立在工作分工的基础上,并在专