当前位置:首页>文档>2016年浙江省高考物理4月(解析版)_全国卷+地方卷_4.物理_1.物理高考真题试卷_2008-2020年_地方卷_浙江高考物理08-21_A4word版

2016年浙江省高考物理4月(解析版)_全国卷+地方卷_4.物理_1.物理高考真题试卷_2008-2020年_地方卷_浙江高考物理08-21_A4word版

  • 2026-04-01 14:05:04 2026-03-05 22:31:07

文档预览

2016年浙江省高考物理4月(解析版)_全国卷+地方卷_4.物理_1.物理高考真题试卷_2008-2020年_地方卷_浙江高考物理08-21_A4word版
2016年浙江省高考物理4月(解析版)_全国卷+地方卷_4.物理_1.物理高考真题试卷_2008-2020年_地方卷_浙江高考物理08-21_A4word版
2016年浙江省高考物理4月(解析版)_全国卷+地方卷_4.物理_1.物理高考真题试卷_2008-2020年_地方卷_浙江高考物理08-21_A4word版
2016年浙江省高考物理4月(解析版)_全国卷+地方卷_4.物理_1.物理高考真题试卷_2008-2020年_地方卷_浙江高考物理08-21_A4word版
2016年浙江省高考物理4月(解析版)_全国卷+地方卷_4.物理_1.物理高考真题试卷_2008-2020年_地方卷_浙江高考物理08-21_A4word版
2016年浙江省高考物理4月(解析版)_全国卷+地方卷_4.物理_1.物理高考真题试卷_2008-2020年_地方卷_浙江高考物理08-21_A4word版
2016年浙江省高考物理4月(解析版)_全国卷+地方卷_4.物理_1.物理高考真题试卷_2008-2020年_地方卷_浙江高考物理08-21_A4word版
2016年浙江省高考物理4月(解析版)_全国卷+地方卷_4.物理_1.物理高考真题试卷_2008-2020年_地方卷_浙江高考物理08-21_A4word版
2016年浙江省高考物理4月(解析版)_全国卷+地方卷_4.物理_1.物理高考真题试卷_2008-2020年_地方卷_浙江高考物理08-21_A4word版
2016年浙江省高考物理4月(解析版)_全国卷+地方卷_4.物理_1.物理高考真题试卷_2008-2020年_地方卷_浙江高考物理08-21_A4word版

文档信息

文档格式
doc
文档大小
0.652 MB
文档页数
10 页
上传时间
2026-03-05 22:31:07

文档内容

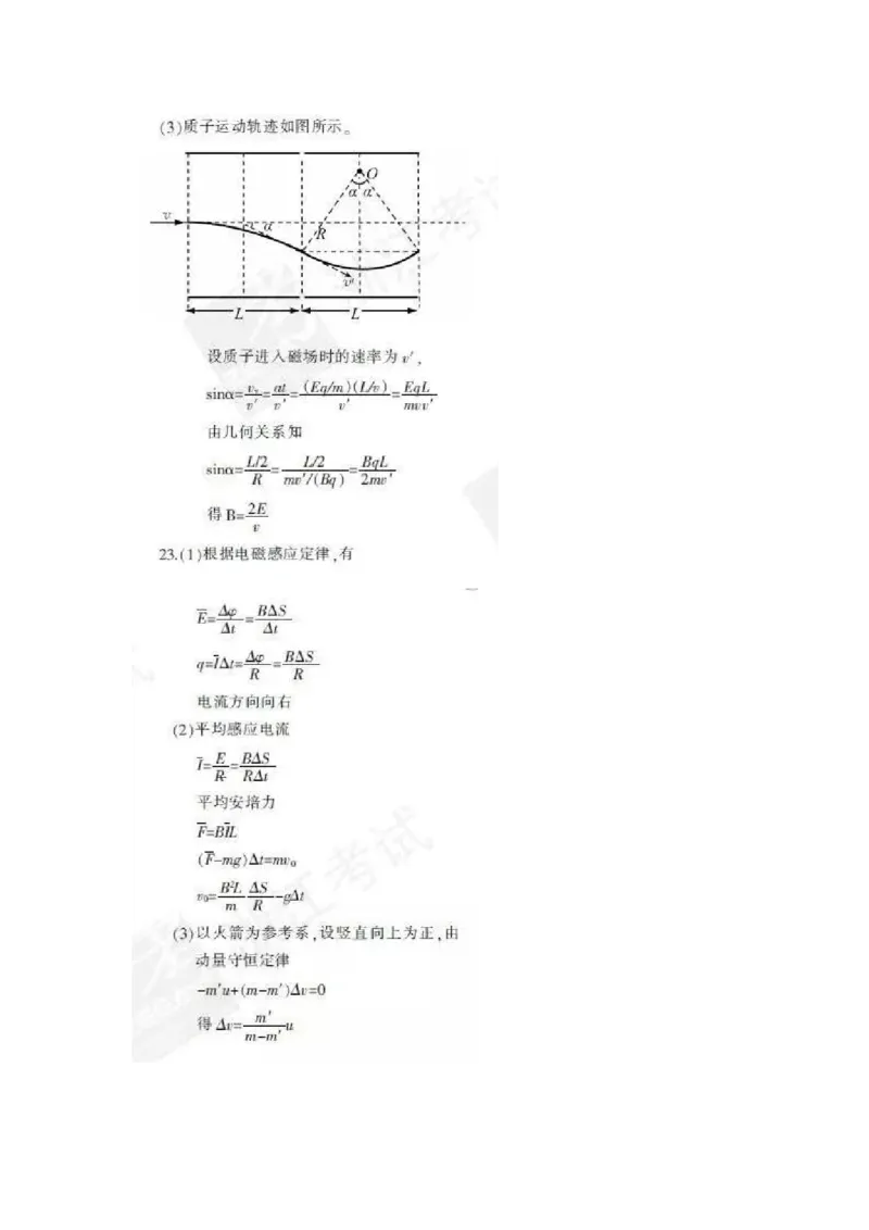
绝密★考试结束前 2016年4月浙江省普通高校招生选考科目考试 物理试题 姓名: 准考证号: 本试题卷分选择题和非选择题两部分,共8页,满分100分,考试时间90分钟。其中加 试题部分为30分.用【加试题】标出。 考生注意: 1.答题前,请务必将自己的姓名、准考证号用黑色字迹的签字笔或钢笔分别填写在试退 卷和答题纸规定的位置上。 2.答题时,请按照答题纸上“注意事项”的要求,在答题纸相应的位置上规范作答.在 试题卷上的作答一律无效。 3.非选择题的答案必须使用黑色字迹的签字笔或钢笔写在答题纸上相应区域内作图时。 先使用2B铅笔,确定后必须使用黑色字迹的签字笔或钢笔描黑,答案写在本试题卷上无效 4.可能用到的相关公式或参数:重力加速度g均取10m/s2。 选择题部分 一、选择题I(本题共13小题,每小题3分,共39分。每小题列出的四个备选项中只有一个是 符合题目要求的,不选、多选、错选均不得分) 1.某同学绕操场一周跑了400m,用时65s。这两个物理量分别是 A.路程、时刻 B.位移、时刻 C.路程、时间 D.位移、时间 2.如图所示是某人在投飞镖,飞镖在飞行途中受到的力有 A.推力 B.重力、空气阻力 C.重力、推力 D.重力、推力、空气阻力 3.下列说法正确的是 A.物体在完全失重的状态下没有惯性 B.运动是绝对的,但运动的描述是相对的 C.电流强度有大小和方向,所以是矢量 D.研究月球绕地球运行轨迹时不能把月球看成质点 4.物理学中的自由落体规律、万有引力定律、静止点电荷之间的相互作用规律和电流磁效 应分别由不同的物理学家探究发现,他们依次是 A.伽利略、牛顿、库仑和奥斯特 B.牛顿、安培、洛伦兹和奥斯特 C.伽利略、卡文迪许、库仑和安培 D.开普勒、伽利略、库仑和洛伦兹 5.如图为某中国运动员在短道速滑比赛中勇夺金牌的精彩瞬间。 假定此时他正沿圆弧形弯道匀速率滑行,则他A.所受的合力为零,做匀速运动 B.所受的合力恒定,做匀加速运动 C.所受的合力恒定,做变加速运动 D.所受的合力变化,做变加速运动 6.宇航员在月球上离月球表面高10m处由静止释放一片羽毛,羽毛落到月球表面上的时间 大约是 A.1.0s B.1.4s C.3.5s D.12s 7.关于电容器,下列说法正确的是 A.在充电过程中电流恒定 B.在放电过程中电容减小 C.能储存电荷,但不能储存电能 D.两个彼此绝缘又靠近的导体可视为电容器 8.密立根油滴实验原理如图所示。两块水平放置的金属板分别与电源的正负极相接,板间 电压为U,形成竖直向下场强为E的匀强电场。用喷雾器从上板中间的小孔喷入大小、质量 和电荷量各不相同的油滴。通过显微镜可找到悬浮不动的油滴,若此悬浮油滴的质量为 m,则下列说法正确的是 A.悬浮油滴带正电 B.悬浮油滴的电荷量为 C.增大场强,悬浮油滴将向上运动 D.油滴的电荷量不一定是电子电量的整数倍 9.法拉第电动机原理如图所示。条形磁铁竖直 固定在圆形水银槽中心,N极向上。一根金属杆斜插在水银中,杆的上 端与固定在水银槽圆心正上方的铰链相连。电源负极与金属杆上端相 连,与电源正极连接的导线插入水银中。从上往下看,金属杆 A.向左摆动 B.向右摆动 C.顺时针转动 D.逆时针转动 10.某卡车在公路上与路旁障碍物相撞。处理事故的警察在泥地中发现了一个小的金属物 体,经判断,它是相撞瞬间车顶上一个松脱的零件被抛出而陷在泥里的。为了判断卡车是 否超速,需要测量的量是 A.车的长度,车的重量 B.车的高度.车的重量 C.车的长度,零件脱落点与陷落点的水平距离 D.车的高度,零件脱落点与陷落点的水平距离 11.2015年12月,我国暗物质粒子探测卫星“悟空”发射升空进入高 为5.0×102km的预定轨道。“悟空”卫星和地球同步卫星的运动均可视 为匀速圆周运动。已知地球半径R=6.4×103km。下列说法正确的是 A.“悟空”卫星的线速度比同步卫星的线速度小 B.“悟空”卫星的角速度比同步卫星的角速度小 C.“悟空”卫星的运行周期比同步卫星的运行周期小D.“悟空”卫星的向心加速度比同步卫星的向心加速度小 12.图示中的路灯为太阳能路灯,每只路灯的光伏电池板有效 采光面积约0.3m2。晴天时电池板上每平方米每小时接收到的太 阳辐射能约为3×106J。如果每天等效日照时间约为6h,光电池一 天产生的电能可供30W的路灯工作8h。光电池的光电转换效率 约为 A.4.8% B.9.6% C.16% D.44% 13.如图所示,真空中有两个点电荷Q=+9.0×10-8 C和Q= -1.0×10-8C,分别同定在 x坐标 1 2 轴上,其中Q位于x=0处,Q位于x=6 cm处。在x轴上 1 2 A.场强为0的点有两处 B.在x>6cm区域,电势沿x轴正方向降低 C.质子从x=1cm运动到x=5cm处,电势能升高 D.在09cm的区域,场强沿x轴正方向 二、选择题II(本题共3小题,每小题2分,共6分。每小题列出的四个备选项中至少有一个 是符合题目要求的。全部选对的得2分,选对但不全的得1分,有选错的得0分) 14.【加试题】下列说法正确的是 A.波源的频率越高,波速越大 B.温度升高,放射性元素的半衰期不变 C.氢原子吸收光子从低能级跃迁到高能级 D.光发生全反射时,临界角随入射角增大而变大 15.【加试题】摆球质量相等的甲、乙两单摆悬挂点高度相同,其振动图象如图所示。 选悬挂点所在水平面为重力势能的参考面,由图可 知 A.甲、乙两单摆的摆长之比是 B.t时刻甲、乙两单摆的摆角相等 a C.t时刻甲、乙两单摆的势能差最大 b D.t时刻甲、乙两单摆的速率相等 c 16【加试题】在光电效应实验中,采用极限频率为ν=5.5×1014Hz钠阴极,已知普朗克常量 c h=6.6×10-34 J·s,电子质量m=9.1×10-31kg。用频率ν=7.5×1014Hz的紫光照射钠阴极产生光电子 的 A.动能的数量级为l0-19J B.速率的数量级为l08m/s c.动量的数量级为l0-27 kg·m/s D.德布罗意波长的数量级为l0-9m 非选择题部分 三、非选择题(本题共7小题,共55分) 17.(5分)(1)在下列学生实验中,需要用到打点计时器的实验有 (填字母)。 A.“探究求合力的方法” B.“探究加速度与力、质量的关系” C.“探究做功与物体速度变化的关系” D.“探究作用力与反作用力的关系” (2)做“验证机械能守恒定律”的实验,已有铁架台、铁夹、电源、纸带、打点计时器,还 必须选取的器材是图中的 (填字母)。 某同学在实验过程中,①在重锤的正下方地面铺海绵;②调整打点计时器的两个限位孔 连线为竖直;③重复多次实验。以上操作可减小实验误差的是 (填序号)。 18.(5分)在“测绘小灯泡的伏安特性曲线”实验中,小灯泡额定电压为2.5V、电流为 0.3A。 (1)部分连线的实物照片如图甲所示,请在答题纸上完成实物连接图; (2)某次实验中,当电流表的示数为0.18A,电压表的指针如图乙所示,则电压为 V, 此时小灯泡的功率是 W; (3)正确测量获得的伏安特性曲线是下列图象中的 (填字母)。19.(9分)如图是上海中心大厦,小明乘坐大厦快速电梯,从底层到达 第119层观光平台仅用时55s。若电梯先以加速度a做匀加速运动,达 1 到最大速度18 m/s,然后以最大速度匀速运动,最后以加速度a做匀减 2 速运动恰好到达观光平台。假定观光平台高度为549m。 (1)若电梯经过20 s匀加速达到最大速度,求加速度a及上升高度h; 1 (2)在(1)问中的匀加速上升过程中,若小明的质量为60 kg,求小明 对电梯地板的压力; (3)求电梯匀速运动的时间。 20.(12分)如图所示,装置由一理想弹簧发射器及两个轨道组成。其中轨道I由光滑轨道AB 与粗糙直轨道BC平滑连接,高度差分别是h=0.20m、h=0.10m,BC水平距离L=1.00m。轨 l 2 道Ⅱ由AE、螺旋圆形EFG和GB三段光滑轨道平滑连接而成,且A点与F点等高。当弹簧压 缩量为d时,恰能使质量m=0.05kg的滑块沿轨道I上升到B点;当弹簧压缩量为2d时,恰能使 滑块沿轨道I上升到C点。(已知弹簧弹性势能与压缩量的平方成正比) (1)当弹簧压缩量为d时,求弹簧的弹性势能及滑块离开弹簧瞬间的速度大小; (2)求滑块与轨道BC间的动摩擦因数; (3)当弹簧压缩量为d时,若沿轨道Ⅱ运动,滑块能否上升到B点?请通过计算说明理由。 21.(4分)【加试题】在“用双缝干涉测量光的波长”实验中,选用红色滤光片和间距为0. 20mm的双缝,双缝与屏的距离为60Omm。某同学正确操作后,在目镜中看到如图甲所示 的干涉条纹。换成紫色滤光片正确操作后,使测量头分划板刻线与第k级暗条纹中心对齐, 在目镜中观测到的是图乙中的 (填字母),此时测量头的读数为25.70mm。沿同一方 向继续移动测量头使分划板刻线与第k+5级暗条纹中心对齐,此时测量头标尺如图丙所示, 其读数是 mm.紫光的波长等于 nm。22.(10分)【加试题】如图为离子探测装置示意图。区域I、区域Ⅱ长均为L=0.10m,高均 为H=0.06m。区域I可加方向竖直向下、电场强度为E的匀强电场;区域Ⅱ可加方向垂直纸 面向里、磁感应强度为B的匀强磁场,区域Ⅱ的右端紧贴着可探测带电粒子位置的竖直屏。 质子束沿两板正中间以速度v=1.O×l05m/s水平射入,质子荷质比近似为=1.O×l08C/kg。(忽略 边界效应,不计重力) (1)当区域加Ⅱ电场、区域Ⅱ不加磁场时,求能在屏上探测到质子束的外加电场的最大 值E ; max (2)当区域I不加电场、区域Ⅱ加磁场时,求能在屏上探测到质子束的外加磁场的最大值 B ; max (3)当区域I加电场E小于(1)中的E ,质子束进入区域Ⅱ和离开区域Ⅱ的位置等高,求 max 区域Ⅱ中的磁场B与区域I中的电场E之间的关系式。 23.(10分)【加试题】某同学设计了一个电磁推动加喷气推动的火 箭发射装置,如图所示。竖直固定在绝缘底座上的两根长直光滑导轨, 间距为L。导轨间加有垂直导轨平面向单的匀强磁场B。绝缘火箭支撑 在导轨间,总质量为m,其中燃料质量为m´,燃料室中的金属棒EF电 阻为R,并通过电刷与电阻可忽略的导轨良好接触。 引燃火箭下方的推进剂,迅速推动刚性金属棒CD(电阻可忽略且 和导轨接触良好)向上运动,当回路CEFDC面积减少量达到最大值 ΔS,用时Δt,此过程激励出强电流,产生电磁推力加速火箭。在Δt时间内,电阻R产生的焦耳热使燃料燃烧形成高温高压气体.当燃烧室下方的可控喷气孔打 开后。喷出燃气进一步加速火箭。 (1)求回路在Δt时间内感应电动势的平均值及通过金属棒EF的电荷量,并判断金属棒EF中的 感应电流方向; (2)经Δt时间火箭恰好脱离导轨.求火箭脱离时的速度v; (不计空气阻力) 0 (3)火箭脱离导轨时,喷气孔打开,在极短的时间内喷射出质量为m´的燃气,喷出的燃气相 对喷气前火箭的速度为u,求喷气后火箭增加的速度Δv。(提示:可选喷气前的火箭为参考 系)