当前位置:首页>文档>2017年浙江省高考生物4月(解析版)_全国卷+地方卷_6.生物_1.生物高考真题试卷_2008-2020年_地方卷_浙江高考生物08-21_A4word版

2017年浙江省高考生物4月(解析版)_全国卷+地方卷_6.生物_1.生物高考真题试卷_2008-2020年_地方卷_浙江高考生物08-21_A4word版

  • 2026-04-04 03:00:28 2026-03-06 02:38:02

文档预览

2017年浙江省高考生物4月(解析版)_全国卷+地方卷_6.生物_1.生物高考真题试卷_2008-2020年_地方卷_浙江高考生物08-21_A4word版
2017年浙江省高考生物4月(解析版)_全国卷+地方卷_6.生物_1.生物高考真题试卷_2008-2020年_地方卷_浙江高考生物08-21_A4word版
2017年浙江省高考生物4月(解析版)_全国卷+地方卷_6.生物_1.生物高考真题试卷_2008-2020年_地方卷_浙江高考生物08-21_A4word版
2017年浙江省高考生物4月(解析版)_全国卷+地方卷_6.生物_1.生物高考真题试卷_2008-2020年_地方卷_浙江高考生物08-21_A4word版
2017年浙江省高考生物4月(解析版)_全国卷+地方卷_6.生物_1.生物高考真题试卷_2008-2020年_地方卷_浙江高考生物08-21_A4word版
2017年浙江省高考生物4月(解析版)_全国卷+地方卷_6.生物_1.生物高考真题试卷_2008-2020年_地方卷_浙江高考生物08-21_A4word版
2017年浙江省高考生物4月(解析版)_全国卷+地方卷_6.生物_1.生物高考真题试卷_2008-2020年_地方卷_浙江高考生物08-21_A4word版
2017年浙江省高考生物4月(解析版)_全国卷+地方卷_6.生物_1.生物高考真题试卷_2008-2020年_地方卷_浙江高考生物08-21_A4word版
2017年浙江省高考生物4月(解析版)_全国卷+地方卷_6.生物_1.生物高考真题试卷_2008-2020年_地方卷_浙江高考生物08-21_A4word版

文档信息

文档格式
doc
文档大小
0.571 MB
文档页数
9 页
上传时间
2026-03-06 02:38:02

文档内容

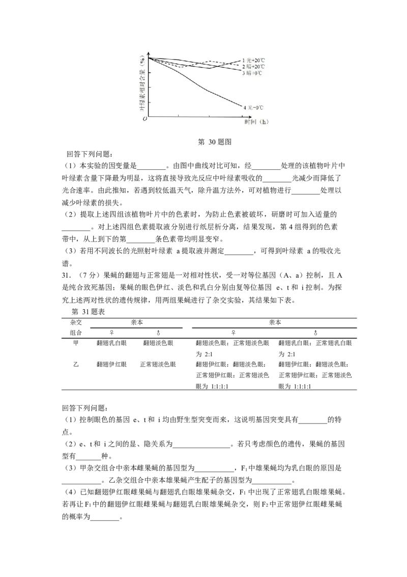
绝密★考试结束前 2017 年 4 月浙江省普通高校招生选考科目考试 生物试题 姓名:____________ 准考证号:_________________ 本试卷分选择题和非选择题两部分,共 8 页,满分 100 分,考试时间 90 分钟。其中 加试题部分为 30 分,用【加试题】标出。 考生注意: 1.答题前,请务必将自己的姓名、准考证号用黑色字迹的签字笔或钢笔分别填写在试 卷和答题纸规定的位置上。 2.答题时,请按照答题纸上“注意事项”的要求,在答题纸相应的位置上规范作答, 在本试卷上的作答一律无效。 3.非选择题的答案必须使用黑色字迹的签字笔或钢笔写在答题纸上相应区域内,作图 时可先用 2B 铅笔,确定后必须使用黑色字迹的签字笔或钢笔描黑。 选择题部分 一、选择题(本大题共 28 小题,每小题 2 分,共 56 分。每小题列出的四个备选项中只 有一个是符合题目要求的,不选、多选、错选均不得分) 1.下列生物中含有叶绿体的是 A.菠菜 B.大肠杆菌 C.酵母菌 D.蝴蝶 2.冬候鸟秋天飞到南方越冬,使群落的组成发生了变化。这体现了群落的 A.时间结构 B.水平结构 C.向光弯曲生长 D.分层现象 3.豌豆种子的黄色(Y)和绿色(y)、圆粒(R)和皱粒(r)是两对相对性状。下列基 因型中属于纯合子的是 A.YyRr B.YYRr C.YYRR D.YyRR 4.哺乳动物血液中某种离子含量过低会导致肌肉发生抽搐。该离子是 A.Fe2+ B.Ca2+ C.Cl- D.I- 5.在婴幼儿时期分泌不足引起侏儒症的激素是 A.雌激素 B.生长激素 C.雄激素 D.甲状腺激素 6.与 DNA 分子相比,RNA 分子特有的碱基是 A.鸟嘌呤(G) B.胞嘧啶(C) C.尿嘧啶(U) D.腺嘌呤(A)7.研究人员用 X 射线处理野生型青霉菌,选育出了高产青霉菌新菌株。这种育种方 法属于 A.杂交育种 B.单倍体育种 C.诱变育种 D.多倍体育种 8.下列关于人类与环境的叙述,错误的是 A.酸雨会破坏水体的生态平衡 B.大气中的 CO 浓度的增加会使全球气候变暖 2 C.人口的过度增长会增加对地球资源的消耗 D.平流层中臭氧含量变化与紫外线对地球表面的辐射量无关 9.下列关于艾滋病的叙述,错误的是 A.HIV 的主要传播途径是性接触、血液传播和母婴传播 B.感染 HIV 后一般要经过较长的潜伏期才会发病 C.艾滋病是一种削弱人体免疫功能的疾病 D.HIV 侵入人体后只感染辅助性 T 淋巴细胞 10.下列关于人体衰老细胞的叙述,正确的是 A.多种酶的活性降低 B.线粒体数量增加 C.细胞呼吸明显加快 D.细胞核体积变小 11.下列关于细胞中吸能反应和放能反应的叙述,错误的是 A.糖的氧化反应是放能反应 B.光合作用的碳反应是吸能反应 C.ATP 是吸能反应和放能反应的纽带 D.氨基酸合成蛋白质的过程是放能反应 12.每年二月的最后一天为“国际罕见病日”。下列关于罕见病苯丙酮尿症的叙述,正确的 是 A.该病是常染色体多基因遗传病 B.近亲结婚不影响该病的发生率 C.该病的发病风险在青春期会增加 D.“选择放松”不会造成该病基因频率的显著增加 13.下列关于真核细胞厌氧呼吸的叙述,错误的是 A.厌氧呼吸产生的能量大多数用于合成 ATP B.厌氧呼吸第一阶段是糖酵解产生丙酮酸和 CO2 C.成熟苹果的果肉细胞缺氧时主要进行乳酸发酵 D.人体骨骼肌细胞产生的乳酸可运至肝细胞再生成葡萄糖 14.将家兔红细胞置于不同浓度的溶液中,水分子的跨膜运输示意图如下(箭头方向表示 水分子的进出,箭头粗细表示水分子出入的多少)。下列叙述正确的是 第 14 题图 A.一段时间后,甲细胞会发生质壁分离 B.能发生渗透作用的是甲细胞和丙细胞 C.光学显微镜下可观察到乙细胞有水分子的进出 D.若将甲、乙和丙细胞同时分别置于蒸馏水中,甲细胞先破裂 15.下列关于环境容纳量的叙述,正确的是 A.环境容纳量是种群在该环境中的最大数量B.环境容纳量会随着环境条件的改变而改变 C.环境容纳量由种群的出生率和死亡率决定 D.种群的指数增长会受到环境容纳量的限制 16.植物学家温特利用切去尖端的幼苗进行如图所示的实验。下列叙述错误的是 A.在黑暗条件下进行实验是为了避免光的干扰 B.①与④的结果证明琼脂块不含促进幼苗生长的化学物质 C.②与③的结果证明苗尖端含有促进幼苗生长的化学物质 D.该实验的成功之处在于将苗尖端的化学物质扩散到琼脂块中再去影响切去尖端的幼苗 17.经调查发现,某地区青菜虫种群的抗药性不断增强,其原因是连续多年对青菜虫使用 农药,下列叙述正确的是 A.使用农药导致青菜虫发生抗药性变异 B.青菜虫抗药性的增强是人工选择的结果 C.通过选择导致青菜虫抗药性变异不断积累 D.环境是造成青菜虫抗药性不断增强的动力 18.下列关于“制作并观察植物细胞有丝分裂的临时装片”活动的叙述,错误的是 A.盐酸使植物细胞之间的果胶质层松散 B.实验选用的醋酸洋红属于碱性染色剂 C.装片制作的步骤是解离→漂洗→染色→制片 D.显微镜下观察中期细胞可看到完整的染色体组型 19.下列关于 DNA、RNA 和基因的叙述,错误的是 A.基因是具有遗传效应的核酸分子片段 B.遗传信息通过转录由 DNA 传递到 RNA C.亲代 DNA 通过复制在子代中表达遗传信息 D.细胞周期的间期和分裂期均有 RNA 的合成 20.肺炎双球菌转化实验的部分过程如图所示。下列叙述正确的是 A.S 型肺炎双球菌的菌落为粗糙的,R 型肺炎双球菌的菌落是光滑的 B.S 型菌的 DNA 经加热后失活,因而注射 S 型菌后的小鼠仍存活 C.从病死小鼠中分离得到的肺炎双球菌只有 S 型菌而无 R 型菌 D.该实验未证明 R 型菌转化为 S 型菌是由 S 型菌的 DNA 引起的 21.以玉米籽粒为实验材料进行“验证活细胞吸收物质的选择性”活动。下列叙述错误的是A.实验前将玉米籽粒放在 20~25℃温水中浸泡适当时间 B.先用红墨水染色玉米籽粒,然后纵切并观察其颜色变化 C.未煮过的玉米胚比煮过的染色浅,说明活细胞吸收物质具有选择性 D.若煮过的玉米胚乳与未煮过的均被染成红色,说明胚乳细胞是死细胞 22.若某人不慎感染了 H7N9 禽流感病毒,机体会产生相应的免疫应答。下列叙述正确 A.病毒会在呼吸道和消化道腺体的分泌物中大量增殖 B.成熟 B 淋巴细胞表面具有与该病毒特异性结合的受体分子 C.效应 B 细胞分泌的抗体能识别并结合抗原-MHC 复合体 D.细胞毒性 T 细胞接受辅助性 T 细胞的信号后即开始分裂 23.二倍体动物某个精原细胞形成精细胞过程中,不同时期细胞的核 DNA 相对含量和染 色体数目如图所示。下列叙述错误的是 A.乙时期细胞和丙时期细胞均含两个染色体组 B.甲→乙过程中DNA复制前需合成RNA聚合酶 C.乙→丙过程中可发生基因重组和基因突变 D.丙→丁过程中着丝粒分裂、姐妹染色单体分离 24.若将处于 G1 期的胡萝卜愈伤组织细胞置于含 3H 标记的胸腺嘧啶脱氧核苷培养液中, 培养至第2次分裂中期。下列叙述正确的是 A.每条染色体中的两条染色单体均含 3H B.每个 DNA 分子的两条脱氧核苷酸链均含 3H C.每个 DNA 分子中均只有一条脱氧核苷酸链含 3H D.每条染色单体均只有一个 DNA 分子的两条脱氧核苷酸链含3H 25.下列对膝反射过程的分析,正确的是 A.效应器肌梭受到叩击后可使感觉神经元的末梢产生动作电位 B.含有传入神经元和传出神经元的二元反射弧可引起伸肌舒张 C.动作电位沿运动神经元传到屈肌后使之收缩从而完成膝反射 D.位于脊髓中的抑制性中间神经元能接受刺激并产生神经冲动 26.【加试题】将新生小鼠的脑神经元置于适宜的溶液中,制成较高细胞密度的细胞悬液, 并将其低温保存,在低温保存过程中神经元会受到损伤。一段时间后,与常温保存组相比, 溶液中的离子浓度变化是 A.K+浓度升高 B.K+浓度降低 C.Na+浓度不变 D.Na+浓度升高 27.【加试题】下列关于生态系统生产量和生物量的叙述,正确的是 A.陆地生态系统的总初级生产量随着维度的增加而增加 B.顶极群落的净初级生产量小于同类型的非顶极群落 C.因海洋生态系统中以捕食食物链为主而导致生物量为倒金字塔形 D.食高等植物的消费者比食单细胞藻类的消费者具有更高的次级生产量 28.【加试题】若利用根瘤农杆菌转基因技术将抗虫基因和抗除草剂基因转入大豆,获得 若干转基因植物(T0 代),从中选择抗虫抗除草剂的单株 S1、S2 和 S3,分别进行自交 获得T 代,T 代性状表现如图所示。已知目的基因能1次或多次插入并整合到受体细胞 1 1 染色体上。下列叙述正确的是第 28 题图 A.抗虫对不抗虫表现为完全显性,抗除草剂对不抗除草剂表现为不完全显性 B.根瘤农杆菌 Ti 质粒携带的抗虫和抗除草剂基因分别插入到了 S 的 2 条非同源染色体上, 2 并正常表达 C.若给S1后代T1植株喷施适量的除草剂,让存活植株自交,得到的自交一代群体中不 抗虫抗除草剂的基因型频率为1/2 D.若取S2后代T1纯合抗虫不抗除草剂与纯合不抗虫抗除草剂单株杂交,得到的子二代 中抗虫抗除草剂的纯合子占 1/9 非选择题部分 二、非选择题(本大题共 5 小题,共 44 分) 29.(6 分)某湿地生态系统的部分食物网如图所示。 第 29 题图 回答下列问题: (1)该食物网中,藻类固定的能量可通过_______条食物链传递给绿鹭。绿鹭分别处于第 _______个营养级。 (2)若蚊子幼虫被大量杀灭,短期内水蚤的数量会_________,但对划蝽的影响并不大, 这是由于该食物网较复杂,生态系统的_______功能较强。 (3)从生态系统能量流动的特点分析,鲶鱼粪便中的能量_______(填“能”或“不能”)直 接被水蚤利用。在该食物网中,体形较大的鲶鱼数量比水蚤的少,其原因是_______。 30.(7 分)为探究不同环境因素对某植物叶片中叶绿素含量的影响,进行了相关实验, 结果如图所示。第 30 题图 回答下列问题: (1)本实验的因变量是________。由图中曲线对比可知,经________处理的该植物叶片中 叶绿素含量下降最为明显,这将直接导致光反应中叶绿素吸收的________光减少而降低了 光合速率。由此推知,若遇到较低温天气,除升温方法外,可对植物进行________处理以 减少叶绿素的损失。 (2)提取上述四组该植物叶片中的色素时,为防止色素被破坏,研磨时可加入适量的 ________。对上述四组色素提取液分别进行纸层析分离,结果发现,第 4组得到的色素 带中,从上到下的第________条色素带均明显变窄。 (3)若用不同波长的光照射叶绿素 a 提取液并测定________,可得到叶绿素 a 的吸收光 谱。 31.(7 分)果蝇的翻翅与正常翅是一对相对性状,受一对等位基因(A、a)控制,且 A 是纯合致死基因;果蝇的眼色伊红、淡色和乳白分别由复等位基因 e、t 和 i 控制。为探 究上述两对性状的遗传规律,用两组果蝇进行了杂交实验,其结果如下表。 第 31 题表 杂交 亲本 亲本 组合 ♀ ♂ ♀ ♂ 甲 翻翅乳白眼 翻翅淡色眼 翻翅淡色眼:正常翅淡色眼 翻翅乳白眼:正常翅乳白眼 为 2:1 为 2:1 乙 翻翅伊红眼 正常翅淡色眼 翻翅伊红眼:翻翅淡色眼: 翻翅伊红眼:翻翅淡色眼: 正常翅伊红眼:正常翅淡色 正常翅伊红眼:正常翅淡色 眼为 1:1:1:1 眼为 1:1:1:1 回答下列问题: (1)控制眼色的基因 e、t 和 i 均由野生型突变而来,这说明基因突变具有________的特 点。 (2)e、t和 i 之间的显、隐关系为________________。若只考虑颜色的遗传,果蝇的基因 型有_______种。 (3)甲杂交组合中亲本雌果蝇的基因型为___________,F 中雄果蝇均为乳白眼的原因是 1 ___________。乙杂交组合中亲本雄果蝇产生配子的基因型为___________。 (4)已知翻翅伊红眼雌果蝇与翻翅乳白眼雄果蝇杂交,F 中出现了正常翅乳白眼雄果蝇。 1 若再让F 中的翻翅伊红眼雌果蝇与翻翅乳白眼雄果蝇杂交,则F 中正常翅伊红眼雌果蝇 1 2 的概率为________。32.【加试题】(14 分)回答下列(一)、(二)小题: (一)回答与泡菜腌制和亚硝酸盐测定有关的问题: (1)制作泡菜时,为缩短发酵周期,腌制前可加入乳酸菌。取少量酸奶,用无菌蒸馏水 稀释后,再用________蘸取少量的稀释液,在 MRS 乳酸菌专用培养基的平板上划线,以 获得乳酸菌单菌落。下图所示的划线分离操作,正确的是________。 A. B. C. D. 第 32 题(一)图 (2)泡菜腌制过程中,会产生有机酸、醇类和亚硝酸盐,其中醇类是由_______进行厌氧 呼吸产生。亚硝酸盐对人体有害,为测定泡菜中亚硝酸盐含量,从泡菜中提取亚硝酸盐, 与_______发生重氮化反应,再与 N-1-萘基乙二胺偶联,形成紫红色产物。然后用光程为 1cm 的_______,在 550nm 光波下测定光密度值,与由已知浓度梯度亚硝酸钠制作的 __________比对,计算样品中亚硝酸盐的含量。 (3)已知乳酸菌中的亚硝酸还原酶能降解亚硝酸盐。在一定的腌制时间内,随着腌制时 间的延长,泡菜中亚硝酸盐含量逐渐降低,是由于在厌氧和_______环境下亚硝酸盐被亚 硝酸还原酶降解。 (二)回答与生态工程有关的问题: (1)对农作物秸秆多途径利用的基本过程示意图如下,贯穿全过程的核心技术是 ________技术。其中“过腹还田”的具体途径是___________。将秸秆和动物粪便等通过微生 物发酵产生沼气,这是利用了农业生态工程中的___________技术。 第 32 题(二)图 (2)农业生产上,畜牧业依赖和受制于种植业,可以通过种植业和畜牧业的________技术 提高经济和社会效益。“退耕还林”后,林地的增加可以减少________,更有利于受损生态 系统的恢复。使用农药能有效控制农业害虫,但也使生态系统的________减少,因此利用 生物的________进行生物防治是今后的发展方向。33.【加试题】(10 分)欲研究药物乙对海拉细胞增殖的抑制作用,请根据以下提供的材 料与用具,以海拉细胞的细胞数变化为测定指标,完善实验分组设计和实验思路,预测实 验结果并进行分析与讨论。 材料与用具:海拉细胞悬液,药物甲溶液(对细胞增殖有影响),药物乙溶液,培养液、 培养瓶,血细胞计数板,显微镜等。 (要求与说明:细胞计数的具体操作过程不做要求,不考虑加入溶液对体积的影响,实验 条件适宜) 回答下列问题: (1)实验分组设计: A组:海拉细胞悬液+培养液 B组:海拉细胞悬液+培养液+药物甲溶液 C组:海拉细胞悬液+培养液+药物甲溶液,培养一段时间后,加入________。 (2)完善实验思路: ① … (3)预测实验结果(以坐标曲线图形式表示实验结果,并标出加入药物的时间点): (4)分析与讨论: 药物甲的作用是________。参考答案 1-5 AACBB 6-10 CCDDA 11-15 DDDBB 16-20 CCDCD 21-25 BBDAD 26-28 ABC 29.(1)8 4、5和6 (2)下降 自我调节 (3)不能 鲶鱼所处的营养级比水蚤的高,获得的能量较少 30.(1)叶绿素含量 低温和光照 蓝紫光和红 遮光 (2)碳酸钙 3、4 (3)吸光率 31.(1)多方向性 (2)e对t和i为完全显性,t对i为完全显性 9 (3)AaXiXi 控制眼色的基因位于X染色体上,亲代乳白眼雌果蝇将Xi传递给了F1的雄 果蝇 aXt和aY (4)1/12 32.(一)(1)接种环 B (2)假丝酵母 对氨基苯磺酸 比色杯 标准曲线 (3)酸性 (二)(1)物质的良性循环 秸秆→家畜→粪便→农田 洁净可再生的新能源开发 (2)合理优化 水土流失 生物多样性 种间关系 33.(1)药物乙溶液 (2)①取细胞悬液加入到含培养液的培养瓶中,用血细胞计数板在显微镜下计数并记 录。 ②将细胞悬液分别加入到A、B、C三组培养瓶中进行培养。 ③每隔一段时间分别测定三组培养瓶中的细胞数并记录。 ④当细胞增殖达到一定数量时,向C组加入药物乙溶液。 ⑤重复③。统计并分析所得数据。 (3) (4)促进海拉细胞的增殖