当前位置:首页>文档>2017年海南省高考政治试题及答案_全国卷+地方卷_9.政治_1.政治高考真题试卷_2008-2020年_地方卷_海南高考政治08-20_A3word版_答案版

2017年海南省高考政治试题及答案_全国卷+地方卷_9.政治_1.政治高考真题试卷_2008-2020年_地方卷_海南高考政治08-20_A3word版_答案版

  • 2026-04-06 06:54:30 2026-03-06 02:44:52

文档预览

2017年海南省高考政治试题及答案_全国卷+地方卷_9.政治_1.政治高考真题试卷_2008-2020年_地方卷_海南高考政治08-20_A3word版_答案版
2017年海南省高考政治试题及答案_全国卷+地方卷_9.政治_1.政治高考真题试卷_2008-2020年_地方卷_海南高考政治08-20_A3word版_答案版
2017年海南省高考政治试题及答案_全国卷+地方卷_9.政治_1.政治高考真题试卷_2008-2020年_地方卷_海南高考政治08-20_A3word版_答案版
2017年海南省高考政治试题及答案_全国卷+地方卷_9.政治_1.政治高考真题试卷_2008-2020年_地方卷_海南高考政治08-20_A3word版_答案版

文档信息

文档格式
doc
文档大小
0.036 MB
文档页数
4 页
上传时间
2026-03-06 02:44:52

文档内容

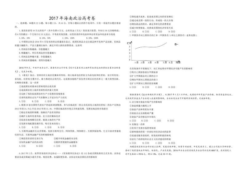
2017 年海南政治高考卷 ①降低通关成本,促进成员国之间的贸易增长 ②通过成员国一致性行动,形成统一的大市场 一、选择题:本题共22小题,每小题2分,共44分。在每小题给出的四个选项中,只有一项是符合题目要求 ③增加商品的供应,满足多样化的消费需求 的。 ④减少制度壁垒,改善成员国的经济贸易关系 1.某投资者用10万元的资产(其中负债8万元,自有资金2万元)投资某只股票,年初以50元价格购进, A.①② B.①④ C.②③ D.③④ 在6月的最后一个交易日以55元卖出。不考虑其他因素,该投资者的年收益率和自有资金年收益率分别是 7.甲国货币对乙国货币的汇率(甲国货币/1单位乙国货币)走势见图1. A.10%;20% B.10%;50% C.20%;100% D.20%;200% 2.中国奶业协会2016年8月发布的奶业质量报告显示,我国乳制品企业注重品种开发和产品创新,乳制品 质量大幅提升,产品大量销往海外,满足不同人群的消费需求。这表明 A.乳制品价格越高,价值量越大 B.销量越大,单位乳制品的价值量越大 C.乳制品品种越丰富,价值量越大 D.乳制品质量越高,使用价值越大 2016年9月,中共中央办公厅、国务院办公厅印发《关于完善农村土地所有权承包权经营权分置办法的意 在其他条件不变情况下,该汇率走势对甲国经济可能产生的影响有 见》。完成3-4题。 ①吸引乙国游客前往甲国旅游 3.《意见》指出,坚持农村土地农民集体所有权,将土地承包经营权分为承包权和经营权,实行所有权、 ②扩大甲国商品对乙国的出口 承包权、经营权分置并行,着力推进农业现代化。这是继家庭联产承包责任制后农村改革又一重大制度创新。 ③增加甲国对乙国商品的进口 从唯物史观看,这一改革 ④扩大甲国对乙国的投资规模 ①是我国农村基本经营制度的自我完善 A.①② B.①③ C.②④ D.③④ ②是我国农村土地所有制性质的重大变革 ③反映了现阶段我国农村生产力发展的客观要求 根据国务院《盐业体制改革方案》,从2017年1月1日开始,我国放开所有盐产品价格,取消食盐准运证, ④表明我国农业生产关系整体上不适合生产力状况 允许现有食盐生产企业进入流通销售领域,企业批发企业可开展跨区域经营。完成8-9题。 A.①② B.①③ C.②④ D.③④ 8.该方案对食盐市场产生的影响有 4.根据29省全国性代表农户的追踪调查数据,参与农地流转(转让农民承包土地的经营权)的农户比例由 ①食盐销量大幅度上升 2013年的24.1%上升至2015年的31.4%,中国农地流转市场正在快速发展。发展农地流转市场意在 ②食盐产品种类更加丰富 ①稳定农地面积规模,保障农产品有效供给 ③食盐企业全面提高产量 ②维护土地所有者利益,壮大农村集体经济 ④食盐产品价格逐步市场化 ③促进农地规模化经营,提高土地的生产率 A.①② B.①③ C.②④ D.③④ ④发挥市场配置资源作用,吸引资本的投入 9.实施这一改革 A.①② B.①③ C.②④ D.③④ ①有利于完善市场管理体制 5.互联网金融涉及众多领域,包括互联网支付、网络贷款、网络银行、互联网保险等,它正日益改变着我 ②意味着政府进一步放松对经济活动的监管 们的生活。互联网金融产生的积极影响有 ③是建设服务型政府、转变政府职能的体现 ①规范投资者的交易行为 ②提升传统金融的安全性 ④淡化了政府组织社会主义经济建设的职能 ③加快金融产品的流动性 ④提供更便捷的金融服务 A.①② B.①③ C.②④ D.③④ A.①② B.②③ C.①④ D.③④ 西藏某牧区依托合作社创立品牌,发展农牧种养、经营乡村旅游、开发民族手工、建立公司进行多种经营, 推动了高寒畜牧业市场化、标准化、产业化发展。2016年全自治区农牧民专业合作社达到6067家,农村居民人 6.2017年2月,世界贸易组织多边协议——《贸易便利化协定》经 112各成员国批准而正式生效。该协定 均可支配收入9316元、增长13%。完成10-11题。 要求各成员国减少通关手续,规范收费,加强制度协调。该协定对成员国经济的影响有10.牧区合作社之所以要创立品牌,因为 ②有利于提高中国在国际事务中的影响力 ①品牌是一种无形资产,可以提高产品附加值 ③表明中国的执法水平受到国际社会进一步认可 ②品牌反映合作社的科技水平,可以提高产品质量 ④凸显了中国在全球执法安全合作领域的领导地位 ③品牌是市场竞争的有力手段,可以突出牧区产品优势 A.①② B.①④ C.②③ D.③④ ④品牌代表合作社的诚信水平,可以扩大产品的市场份额 16.2016年科技部、中宣部印发的《中国公民科学素质基础》,将天人合一、格物致知等中国传统哲学思想 A.①② B.①③ C.②④ D.③④ 观念纳入科学素质基准点,作为公民需要具备的科学素质。这一做法的合理性在于,上述哲学思想观念是 11.牧区农牧民收入的快速增长 ①推动科学技术创新发展的根本动力 ①扩大了自治区民族自治权的行使范围 ②提升公民科学文化素质的重要资源 ②消除了历史遗留的民族隔阂和民族地区差异 ③衡量传统文化有无当代价值的重要尺度 ③是充分发挥民族、地区特长和优势的积极成果 ④前人在长期实践基础上总结出来的思想智慧 ④是西藏自治区实现创新发展、共同富裕的重要体现 A.①③ B.①④ C.②③ D.②④ A.①② B.①④ C.②③ D.③④ 17.某省文明办联合省农村信用社联合社在全省推广实施“道德信贷”,所有被评为“中国好人”的该省公 12.某村民发现化工厂向村边小河偷排污水,向市长写了一封《谁来保护我们的小清河》的信。市长回信表 民和市以上政府授予的道德模范都可成为授信对象,获得无担保优惠贷款。推广实施“道德信贷” 示将依法严肃处置排污工厂,并承诺“小清河将很快恢复水清岸绿的面貌”。村民给市长写信是 ①创新了道德教育的形式 ②可以激励人们不断向上向善 ①通过舆论监督制度行使监督权 ③表明道德教育的成效取决于物质条件 ④说明人民群众是道德教育的对象而非主体 ②通过信访举报制度行使监督权 A.①② B.①④ C.②③ D.③④ ③公民有序参与社会管理的体现 18.著名漫画家丰子恺画过一幅《卖羊》的漫画:一个农人牵着两只羊,悠闲地走着。一位农民看了这幅画 ④通过基层民主制度参与民主管理 却连连摇头发笑。丰子恺觉得纳闷,上前虚心请教。那农民说:“牵羊只需牵头羊,不管多少只,只要一根绳 A.①② B.①④ C.②③ D.③④ 子把头羊牵好就行了。”这个故事包含的认识论道理是 13.针对气候变化、恐怖主义等非传统安全威胁上升的新特点新趋势,习近平总书记在中央国家安全委员会 ①缺乏直接经验的认识具有局限性 第一次会议上提出要坚持总体国家安全观,抓好政治、经济、国土、社会、网络等各方面安全工作。坚持总体 ②直接经验比间接经验更具有实践价值 国家安全观旨在 ③来自于亲身实践的认识才是正确认识 ①提高公民政治参与能力,培育公民爱国主义精神 ④间接经验与直接经验相结合才能更好地认识事物 ②汇集维护国家安全力量,提升国家治理整体水平 A.①② B.①④ C.②③ D.③④ ③把握国家安全形势变化,提高国际安全立法水平 19.2016年5月,习近平在全国科技创新大会、两院院士大会、中国科协全国代表大会上强调,科技创新要 ④防范新型安全风险,为群众安居乐业提供坚强保障 尊重科学研究灵感瞬间性、方式随意性、路径不确定性的特点,允许科学家自由畅想、大胆假设、认真求证。 A.①③ B.①④ C.②③ D.②④ 从认识论看,这是因为 14.党的十八届六中全会通过《中国共产党党内监督条例》,提出“信任不能代替监督”,要求各级党组织 ①发挥想象力是实现科技创新的重要条件 把信任激励同严格监督结合起来。这一规定 ②科技创新是用新获得的认识取代已有的认识的过程 ①旨在强调用权受监督、失责必追究 ③科技创新是一个基于实践的探索未知的过程,充满着不确定性 ②是依法依规从严治党的内在要求 ④科技创新充满偶然性,不存在不以人的意志为转移的一般规律 ③强调了党员行使民主监督的权利 A.①③ B.①④ C.②③ D.②④ ④表明党内监督比信任更重要 20.在改革发展进程中,人民群众迸发出无穷智慧。“交够国家的,留足集体的,剩下都是自己的”“山定 A.①② B.①③ C.②④ D.③④ 树、树定根、人定心”……这些富有创建的主意都是人民群众首先提出来的,并在实践中取得了很好的效果。 15.成立于1914年的国际刑警组织现有190个成员国,是唯一的全球性警察合作组织,长期致力于全球性政 所以,坐在屋里想不明白的事,到群众中就能找到答案。这里蕴含的唯物史观道理有 府间执法安全合作。2016年11月,在该组织第85届全体大会上,中国公安部副部长当选新一任主席。中国人 ①坚持群众路线,虚心向人民群众学习 首次当选该组织主席 ②只要尊重群众意愿,就能取得实践的成功 ①强化了国际执法安全合作组织的制度建设 ③人民群众的首创精神是一切工作的出发点和落脚点④尊重人民群众的主体地位,发挥人民群众的创造作用 A.①② B.①④ C.②③ D.③④ 21.污染严重是造纸业饱受诟病的主要原因。某省根据当地造纸业发展状况,制定并执行严格的造纸业地方 环保标准。在环保高标准的倒逼下,该省制造业摆脱了脏、乱、叁的局面,实现了“金山银山”和“绿水青 山”的兼顾、环保与经济转型升级的双赢。这说明 ①重视意识的能动性,就能推动事物发展 ②只有从实际出发,才能获得实践的成功 ③事物能否发展,取决于意识能否反映客观存在 ④发挥主观能动性和按客观规律办事相结合是成功之道 A.①② B.①③ C.②④ D.③④ 22.狼曾经是令人憎恶和害怕的,人们主张把狼赶尽杀绝。但一些地方由于狼群消失,某些动物种群迅速繁 (1)运用经济知识,并结合材料分析相对于传统采购模式,该租赁模式给厂商和农户带来的经济利益(12 衍,导致植被过度消耗,生态失衡,人类生存环境恶化。现在,人们对狼的作用有了新的认识,不少国家实施 分) 了“引狼入室”计划,以求保持生态平衡。这一事例说明 (2)用系统优化的知识说明农机设备的租赁模式所具有的优越性(8分) ①不同认识主体的共识才是真理性认识 ②解决实践中的新问题是认识发展的动力 25.阅读材料,完成下列问题。 ③纠正谬误、追求真理是认识的目的和归宿 时代楷模李保国教授把科技扶贫作为自己的理想,为山区发展奉献毕生心血和智慧,为农民脱贫致富作出 ④因受主客观条件的制约,认识具有反复性 了卓越贡献。 A.①② B.①③ C.②④ D.③④ 李保国把农民急需的技术作为自己的科研方向,坚持把论文写在大山上,让技术长在泥土里,他扎根太行 致力于绿山和富民。针对山区土薄、水少等特点,他推出了控制、爆破、松土、蓄水等工程技术。使太行山区 二、非选择题 土厚了,水多了,山绿了。他找准科技扶贫的路径,创新推广苹果先进栽培等36项农业应用技术,使科技成为 (一)必考题。 脱贫致富的利器。他举办培训班培训人员9万余人次,为当地培养了一批“永久牌”土专家。35年来李保国起 23.辨析题(10分) 早贪黑,埋头苦干,每年在山区“务农”200多天,帮助农民增收28.5亿元,带领十多万群众脱贫致富奔小康。 如今,城市公共场所几乎无处不在的摄像头,增强了公众的安全感,但公民隐私权因此受到侵犯的事例也 “太行山的父老乡亲富起来了,我的事业才算成功。”李保国的言行让大山怀念,令人动容。他被当地百 时有发生。 姓誉为太行新愚公。 有人认为“维护公共安全不能牺牲公民的隐私权”运用政治生活的知识对此加以辨析。 (1)用人的价值的知识,说明为什么李保国被当地百姓誉为太行新愚公(10分) (2)运用文化与经济关系的知识,分析科技对于李保国成功扶贫的作用(8 分) 24.阅读材料,完成下列问题(20分) 某地为解决传统采购模式(见图2)中农户购买力不足的问题,采用由厂商、租赁公司、农户三方构建的租 (二)选考题 赁模式(见图3),帮助833家农户获得了近1000台先进农机设备的使用权。 26.【选修2经济学常识】阅读材料完成下列问题8分。 受雨雪寒潮天气的影响,某地大蒜产量低于上年,受此影响,当地蒜价出现持续上涨,零售价从上年6元每 千克涨到接近20元每千克,“蒜你狠”卷土重来,引起了消费者的担忧。不过有专家分析,大蒜的高价总体上 是正常的,但也是暂时的。 利用价值规律的作用原理,说明大蒜的高价既是正常的,也是暂时的。 27.【选修3国家和国际组织常识】阅读材料,完成下列问题8分。 2016年6月经过全民公投,英国做出了脱离欧盟的选择。随后,英国首相表示政府将启动脱欧程序,在 2017年3月底前正式知会欧盟开始脱欧谈判。英国议会发表声明脱欧进程的主导权在议会而非政府。政府要正 式启动脱欧谈判,必须征得议会同意。对议会与政府的争议,最高法院裁定政府在正式启动脱欧程序前需取得议会同意。 26.按照价值规律,商品价格由价值决定,但也受供求关系影响。受天气因素影响,大蒜供给减少,需求不变, 结合有关脱欧进程主导权的争议,说明英国政府与议会的关系。 其价格自然上涨;但大蒜的高价格,会刺激大蒜供给增加,改变供不应求状况,使大蒜价格降下来。 28.【选修6公民道德与伦理常识】阅读材料,完成下列问题8分。 27.英国政府与议会在脱欧问题上出现争议,说明政府虽然由议会产生,但两者并不总是一致;政府要自行决定 礁堡是我家环保靠大家。驻守在南沙永暑礁的战士守护着祖国的碧海蓝天建设了一片远近闻名的海上生态 脱欧进程,表明行政权力有加强的趋势;议会是最高立法机关,是行政权力的最高来源,仍然可以监督和制约 园,礁上官兵对生活垃圾进行分类,不可降解的打包运回大陆处理。能降解的就地降解,化垃圾为资源循环利 政府。 用,开发了700多平方米的绿色菜地,令人心旷神怡。 结合材料,说明南沙战士保护岛礁家园环境所体现的环境伦理原则。 28.尊重自然的原则,回收垃圾,循环利用,珍惜自然资源,避免了对环境的破坏;环境正义的原则,建设海上 生态园,积极维护自己和他人的环境权利。 参考答案: 一、选择题: 1.C 2.D 3.B 4.D 5.D 6.B 7.A 8.C 9.B 10.B 11.D 12.C 13.D14.A 15.C 16.D 17.A 18.B 19.A 20.B 21.C 22.C 二、非选择题: 23.公共场所安装摄像头,有利于维护社会安全和秩序;公民的隐私权是受法律保护的权利,不得因公共安全的 理由任意侵犯。 公民个人隐私权与公共安全紧密联系在一起,不能无条件地强调个人隐私权;政府部门要承担维护公共场 所安全的职责,对摄像头的安装和使用要遵守法律规定并严加管理。 24.(1)厂商:批量销售,可降低销售费用;扩大销售规模;加快企业资金周转。 农户:以租赁代替购买,减轻当前资金压力;可提前使用农机设备。 (2)系统优化的方法着眼于事物的整体性,把各个要素联系起来统筹考虑,优化系统内部结构,以实现整 体的最佳功能;新的租赁模式优化了厂商、租赁公司、农户三方关系,促进了农机设备生产、销售和使用,实 现了共赢。 25.(1)人的价值在于创造价值,在于对社会的责任和贡献。一个人对社会的贡献越大,他自身的价值就越大。 李保国把个人的事业发展同国家和社会的需要紧密联系在一起,心系群众,长期在科技扶贫事业中埋头苦干, 无私奉献,为山区群众脱贫致富做出了卓越贡献,得到了人民群众的爱戴和社会的称赞,无愧于“太行新愚 公”的称号。 (2)文化与经济相互交融。在经济发展中,科学技术的作用越来越重要。研发新技术,满足农业生产的 需要。大力推广农业实用技术,用科技文化培训农民,为脱贫致富提供智力支持。