当前位置:首页>文档>百度2014校园招聘笔试试题-深度学习算法研发工程师_2025春招题库汇总_互联网题库-1_02互联网汇总_06、百度_04、百度笔试题库

百度2014校园招聘笔试试题-深度学习算法研发工程师_2025春招题库汇总_互联网题库-1_02互联网汇总_06、百度_04、百度笔试题库

  • 2026-03-27 02:55:16 2026-01-26 23:35:11

文档预览

百度2014校园招聘笔试试题-深度学习算法研发工程师_2025春招题库汇总_互联网题库-1_02互联网汇总_06、百度_04、百度笔试题库
百度2014校园招聘笔试试题-深度学习算法研发工程师_2025春招题库汇总_互联网题库-1_02互联网汇总_06、百度_04、百度笔试题库
百度2014校园招聘笔试试题-深度学习算法研发工程师_2025春招题库汇总_互联网题库-1_02互联网汇总_06、百度_04、百度笔试题库
百度2014校园招聘笔试试题-深度学习算法研发工程师_2025春招题库汇总_互联网题库-1_02互联网汇总_06、百度_04、百度笔试题库
百度2014校园招聘笔试试题-深度学习算法研发工程师_2025春招题库汇总_互联网题库-1_02互联网汇总_06、百度_04、百度笔试题库
百度2014校园招聘笔试试题-深度学习算法研发工程师_2025春招题库汇总_互联网题库-1_02互联网汇总_06、百度_04、百度笔试题库
百度2014校园招聘笔试试题-深度学习算法研发工程师_2025春招题库汇总_互联网题库-1_02互联网汇总_06、百度_04、百度笔试题库
百度2014校园招聘笔试试题-深度学习算法研发工程师_2025春招题库汇总_互联网题库-1_02互联网汇总_06、百度_04、百度笔试题库

文档信息

文档格式
doc
文档大小
0.099 MB
文档页数
4 页
上传时间
2026-01-26 23:35:11

文档内容

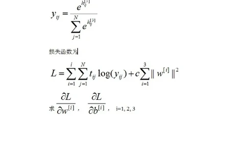
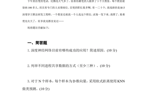
更多企业校园招聘笔试面试试题合集下载: http://bimian.xuanjianghui.com.cn/ 百度2014 校园招聘笔试题 ——深度学习算法研发工程师. 今天上午到腾迅那里,没有叫到笔试通知,是去霸笔的。原本以为是可以霸笔的,因为像 阿里,360等大公司都专门的考场给霸笔的人准备的,但是腾迅不是这样,只有两个很小教室 给那些霸笔的人考试,一会就都占满了,太少了,还有一大批没收到通知人不让考试。参加腾 迅笔试的也够火爆的,一条走廊全占满了人,都是霸笔的,等了半小时者不让进,太不厚道了。 下午到百度的笔试,比腾迅大气多了,给那些霸笔的人提供了3个大教室,每个教室能 容纳100多人,而且有专门的人安排座位。百度的职位真多啊,有一二十个,我选择的是B13 深度学习算法研发工程师,一个教室还就我一个人选这个职位。试卷一发下来,我愣了,真难 度也太大了,好多我见都没见过…… 现将题目贡献如下: 一、简答题 1.深度神经网络目前有哪些成功的应用?简述原因。(10分) 2.列举不同进程共享数据的方式(至少三种)。(10分) 3.对于N个样本,每个样本为D维向量,采用欧式距离使用KNN 做类预测。(10分) 1).给出预测时间复杂度。 2).当N很大时,有哪些方法可以降低复杂度? 3).k取值的大小对预测方差和偏差有何影响? 二、算法和程序设计更多企业校园招聘笔试面试试题合集下载: http://bimian.xuanjianghui.com.cn/ 1.给出一个数据 A=[a_0, a_1, a-2, ... a_n](其中 n 可变),打印出该 数值元素的所有组合。(15分) 2.有这样一个数组 A,大小为 n,相邻元素差的绝对值都是 1,如 A={4,5,6,5,6,7,8,9,10,9}。现在给定数组A和目标整数t,请找到t在数 组中的位置。(15分) 3.在平面上有一组间距为d的平行线,将一根长度为l(l