当前位置:首页>文档>2015年高考地理试卷(新课标Ⅱ)(空白卷)_地理历年高考真题_新·Word版2008-2025·高考地理真题_地理(按省份分类)2008-2025_2008-2024·(甘肃)地理高考真题

2015年高考地理试卷(新课标Ⅱ)(空白卷)_地理历年高考真题_新·Word版2008-2025·高考地理真题_地理(按省份分类)2008-2025_2008-2024·(甘肃)地理高考真题

  • 2026-04-17 00:13:02 2026-01-26 23:39:20

文档预览

2015年高考地理试卷(新课标Ⅱ)(空白卷)_地理历年高考真题_新·Word版2008-2025·高考地理真题_地理(按省份分类)2008-2025_2008-2024·(甘肃)地理高考真题
2015年高考地理试卷(新课标Ⅱ)(空白卷)_地理历年高考真题_新·Word版2008-2025·高考地理真题_地理(按省份分类)2008-2025_2008-2024·(甘肃)地理高考真题
2015年高考地理试卷(新课标Ⅱ)(空白卷)_地理历年高考真题_新·Word版2008-2025·高考地理真题_地理(按省份分类)2008-2025_2008-2024·(甘肃)地理高考真题
2015年高考地理试卷(新课标Ⅱ)(空白卷)_地理历年高考真题_新·Word版2008-2025·高考地理真题_地理(按省份分类)2008-2025_2008-2024·(甘肃)地理高考真题
2015年高考地理试卷(新课标Ⅱ)(空白卷)_地理历年高考真题_新·Word版2008-2025·高考地理真题_地理(按省份分类)2008-2025_2008-2024·(甘肃)地理高考真题
2015年高考地理试卷(新课标Ⅱ)(空白卷)_地理历年高考真题_新·Word版2008-2025·高考地理真题_地理(按省份分类)2008-2025_2008-2024·(甘肃)地理高考真题
2015年高考地理试卷(新课标Ⅱ)(空白卷)_地理历年高考真题_新·Word版2008-2025·高考地理真题_地理(按省份分类)2008-2025_2008-2024·(甘肃)地理高考真题
2015年高考地理试卷(新课标Ⅱ)(空白卷)_地理历年高考真题_新·Word版2008-2025·高考地理真题_地理(按省份分类)2008-2025_2008-2024·(甘肃)地理高考真题
2015年高考地理试卷(新课标Ⅱ)(空白卷)_地理历年高考真题_新·Word版2008-2025·高考地理真题_地理(按省份分类)2008-2025_2008-2024·(甘肃)地理高考真题
2015年高考地理试卷(新课标Ⅱ)(空白卷)_地理历年高考真题_新·Word版2008-2025·高考地理真题_地理(按省份分类)2008-2025_2008-2024·(甘肃)地理高考真题

文档信息

文档格式
docx
文档大小
0.114 MB
文档页数
6 页
上传时间
2026-01-26 23:39:20

文档内容

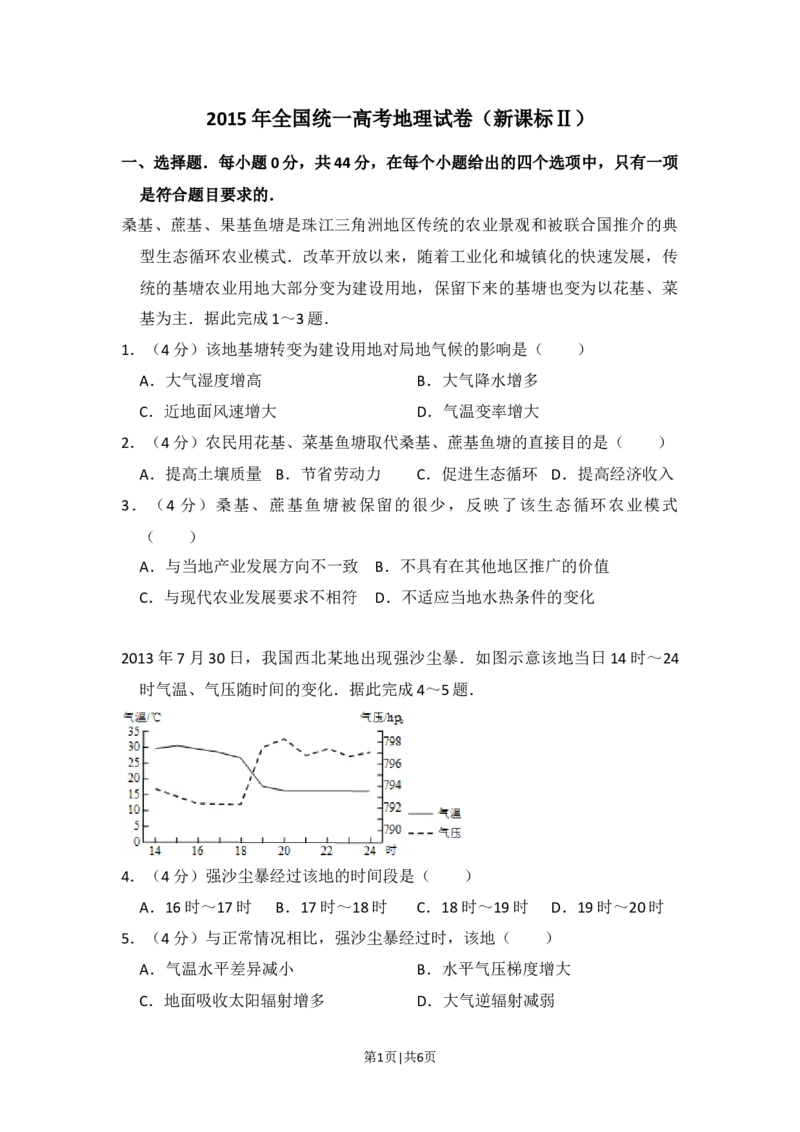
2015 年全国统一高考地理试卷(新课标Ⅱ) 一、选择题.每小题0分,共44分,在每个小题给出的四个选项中,只有一项 是符合题目要求的. 桑基、蔗基、果基鱼塘是珠江三角洲地区传统的农业景观和被联合国推介的典 型生态循环农业模式.改革开放以来,随着工业化和城镇化的快速发展,传 统的基塘农业用地大部分变为建设用地,保留下来的基塘也变为以花基、菜 基为主.据此完成1~3题. 1.(4分)该地基塘转变为建设用地对局地气候的影响是( ) A.大气湿度增高 B.大气降水增多 C.近地面风速增大 D.气温变率增大 2.(4分)农民用花基、菜基鱼塘取代桑基、蔗基鱼塘的直接目的是( ) A.提高土壤质量 B.节省劳动力 C.促进生态循环 D.提高经济收入 3.(4 分)桑基、蔗基鱼塘被保留的很少,反映了该生态循环农业模式 ( ) A.与当地产业发展方向不一致 B.不具有在其他地区推广的价值 C.与现代农业发展要求不相符 D.不适应当地水热条件的变化 2013年7月30日,我国西北某地出现强沙尘暴.如图示意该地当日14时~24 时气温、气压随时间的变化.据此完成4~5题. 4.(4分)强沙尘暴经过该地的时间段是( ) A.16时~17时 B.17时~18时 C.18时~19时 D.19时~20时 5.(4分)与正常情况相比,强沙尘暴经过时,该地( ) A.气温水平差异减小 B.水平气压梯度增大 C.地面吸收太阳辐射增多 D.大气逆辐射减弱 第1页|共6页1996年我国与M国签订海洋渔业发展合作规划,至2010年我国有20多家沿海 渔业企业(总部设在国内)在 M国从事渔业捕捞和渔业产品加工,产品除满 足M国需求外,还远销其他国家.如图示意M国的位置.据此完成6~8题. 6.(4 分)中资企业在 M 国从事渔业捕捞和渔业产品加工的主要目的是 ( ) A.满足我国需求 B.拓展国际市场 C.提高技术水平 D.增加当地就业 7.(4分)如考虑运输成本,在下列国家中,M国中资企业的产品首先应销往 ( ) A.美国 B.日本 C.澳大利亚 D.法国 8.(4分)如果都以当地时间8:00~12:00和14:00~18:00作为工作时间, 在M国的中资企业若在双方工作时间内向其总部汇报业务,应选在当地时间 的( ) A.8:00~9:00 B.11:00~12:00 C.14:00~15:00 D.17:00~18:00 圣圣劳伦斯河(图a)是一条著名的“冰冻之河”.图b示意蒙特利尔年内各月 气温和降水量.据此完成9~11题. 第2页|共6页9.(4分)蒙特利尔附近河段结冰期大致为( ) A.2个月 B.3个月 C.4个月 D.5个月 10.(4分)据图示信息推测,冬季可能不结冰的河段位于( ) A.安大略湖至普雷斯科特河段 B.普雷斯科特至康沃尔河段 C.蒙特利尔至魁北克河段 D.魁北克以下河口段 11.(4分)减少该河凌汛危害的可行措施是( ) ①加深河道 ②绿化河堤 ③分段拦冰 ④拓宽河道. A.①② B.②③ C.③④ D.①④ 二、非选择题(共2小题,满分46分) 12.(22分)阅读图文材料,完成下列要求. 尼日利亚人口超过1亿,经济以农矿业为主.2014年11月20日,尼日利亚与 我国正式签署了沿海铁路项目商务合同.该项目总金额达 119.7亿美元,全 线采用中国铁路技术标准,是截止当时中国对外工程承包史上单体合同金额 最大的项目.图示意尼日利亚铁路的分布. 第3页|共6页(1)归纳尼日利亚现有铁路网特点及作用. (2)指出尼日利亚拟建沿海铁路的布局特点. (3)简述尼日利亚沿海地区的气候特点,以及针对此气候特点,我国相关人员 在建设该铁路时,为保障身体安康,需要防范的问题. (4)指出因尼日利亚沿海铁路项目而可能获益的我国主要工业部门. 13.(24分)阅读图文材料,完成下列要求. 如图示意河套平原地区.当地将黄河水通过引水渠引入区内灌溉农田,农田灌 溉退水经过排水渠汇入乌梁素海.近年来,乌梁素海出现污染加重趋势. (1)判断河套平原的地势特点,并简述理由. 第4页|共6页(2)指出长期维持河套灌渠功能必须解决的问题,并简述原因. (3)分析近年来乌梁素海污染严重的原因. (4)提出治理乌梁素海污染的措施. 请考生在以下三道题地理题中任选一题作答,如果多做,则按所做的第一题计 分.做答时用2B铅笔子在答题卡上把所选题目的题号涂黑.【旅游地理】 14.(10分)九黄机场位于四川省松潘县川主寺镇(如图),距九寨沟和黄龙 景区分别为88千米和43千米,目前已开通成都、重庆、西安、上海、北京、 杭州、广州等地至九黄机场的多条航线,近年来九黄机场旅客年吞吐量维持 在170万人次,远超设计能力. 分析我国东部地区去九寨沟、黄龙旅游的游客多数乘飞机抵达的原因. 第5页|共6页【自然灾害与防治】 15.近年来,沿海地区城市遭受严重洪灾的现象时有发生. 读图,分析M市易出现重度涝灾的自然原因. 【环境保护】 16.贵州省某喀斯特山区石漠化严重.农民在山上放牧、砍柴、找土种玉米. 当地农民反映,山上的土一年比一年薄,一发大水,土全被冲走了,玉米也 被冲走了.石头越来越多,最后连玉米也无法种了,生活越来越困难. 简述为改善环境并提高人民的生活水平,当地政府应采取的具体措施. 第6页|共6页