当前位置:首页>文档>2020年全国统一高考政治试卷(新课标Ⅰ)(原卷版)_全国卷+地方卷_9.政治_1.政治高考真题试卷_2008-2020年_全国卷_全国统一高考政治(新课标ⅰ)08-20_A3word版_PDF版(赠送)

2020年全国统一高考政治试卷(新课标Ⅰ)(原卷版)_全国卷+地方卷_9.政治_1.政治高考真题试卷_2008-2020年_全国卷_全国统一高考政治(新课标ⅰ)08-20_A3word版_PDF版(赠送)

  • 2026-04-16 11:31:09 2026-03-06 11:45:47

文档预览

2020年全国统一高考政治试卷(新课标Ⅰ)(原卷版)_全国卷+地方卷_9.政治_1.政治高考真题试卷_2008-2020年_全国卷_全国统一高考政治(新课标ⅰ)08-20_A3word版_PDF版(赠送)
2020年全国统一高考政治试卷(新课标Ⅰ)(原卷版)_全国卷+地方卷_9.政治_1.政治高考真题试卷_2008-2020年_全国卷_全国统一高考政治(新课标ⅰ)08-20_A3word版_PDF版(赠送)
2020年全国统一高考政治试卷(新课标Ⅰ)(原卷版)_全国卷+地方卷_9.政治_1.政治高考真题试卷_2008-2020年_全国卷_全国统一高考政治(新课标ⅰ)08-20_A3word版_PDF版(赠送)
2020年全国统一高考政治试卷(新课标Ⅰ)(原卷版)_全国卷+地方卷_9.政治_1.政治高考真题试卷_2008-2020年_全国卷_全国统一高考政治(新课标ⅰ)08-20_A3word版_PDF版(赠送)

文档信息

文档格式
pdf
文档大小
0.670 MB
文档页数
4 页
上传时间
2026-03-06 11:45:47

文档内容

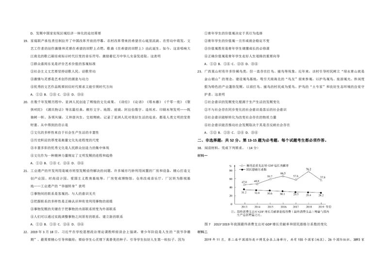
2020 年全国统一高考政治试卷(新课标Ⅰ) 信息时代。数据在经济社会生活中的作用越来越重要。据此完成15~16题。 15.2019年10月,《中共中央关于坚持和完善中国特色社会主义制度、推进国家治理体系和治理能力现代化 一、选择题:本题共 12小题,每小题 4分,共 48分。在每小题给出的四个选项中,只有一项是 若干重大问题的决定》首次将数据与劳动、资本、土地等并列,将其列为生产要素。数据被列为生产要素 符合题目要求的。 是因为 12.新冠肺炎疫情发生以后,医用口罩、防护服、消毒液等防疫物资一度紧缺,不少大型制造企业开启了“跨 ①数据广泛融入生产过程,具有独特创造力 界”生产之路,如某电器集团紧急成立医疗子公司,迅速调整生产计划,很快向市场提供医疗物资生产设 ②数据是最具流动性的基础性资源 备和医用口罩。企业短时间内紧急转产、快速投产,说明 ②数据的所有权和使用权可以分离 ①我国相关制造业有完整灵活的供应链 ④数据对提高生产效率的作用日益凸显 ②市场需求对企业生产有重要导向作用 A.①② B.①④ C.②③ D.③④ ③企业具有转产防疫产品的前瞻性战略 16.在新一轮政府机构改革中,浙江、福建等省成立大数据管理局,负责统筹数据资源建设管理,协调全省政 ④企业可以通过转产快速化解市场风险 务信息化、电子政务建设,推进信息化发展和大数据融合应用、大数据相关产业发展和行业管理。创新设 A.①② B.①④ C.②③ D.③④ 立大数据管理局旨在 13.为发挥农业保险对支农惠农、促进农业发展的作用,中央财政于2007年开始实施农业保险保费补贴政策。 ①推动经济转型升级发展 ②保障地方政府依法行政 截至2019年底,农业保险累计支付赔款2400多亿元,服务农户数从0.5亿户次增至1.8亿户次,提供 ③改革完善基层行政体制 ④优化地方政府职能配置 的风险保障从0.1万亿元增加到3.6万亿元。农业保险保费补贴政策发挥作用的路径是 A.①② B.①④ C.②③ D.③④ ①获得财政补贴,降低成本支出 17.2019年10月26日,十三届全国人大常委会第十四次会议通过《关于国家监察委员会制定监察法规的决 ②增加生产投入,促进产业发展 定》。根据这一决定,国家监察委员会为执行法律的规定、履行领导地方各级监察委员会职责,可根据宪 ③购买农业保险,支付保险费用 法和法律,制定监察法规。该决定表明 ④转移灾害风险,稳定收入预期 ①全国人大常委会在监察立法工作中发挥主导作用 A.①→③→④→② B.①→③→②→④ ②全国人大常委会可以授权国家监察委员会制定法规 C.③→①→④→② D.③→①→②→④ ③国家监察委员会是全国人大行使监督权的职能机构 14.2015年10月,人民币跨境支付系统(CIPS)正式启动。CIPS是由中国人民银行组织开发,为境内外金融机 ④国家监察委员会拥有自主制定本部门法律的权力 构人民币跨境和离岸业务提供资金清算与结算服务的系统。截至2020年 5月末,有 96个国家和地区的 A.①② B.①④ C.②③ D.③④ 969家银行接入该系统。CIPS的推广使用表明 18.国家主席习近平在2019年4月第二届“一带一路”国际合作高峰论坛开幕式上的主旨演讲中,用“万物得 ①人民币实现跨境自由流动 其本者生,百事得其道者成”来形容共建“一带一路”。下列选项与“本”和“道”含义不相符的是 ②人民币国际化进程加速 A.经济全球化的历史潮流 ③人民币在全球可自由兑換 B.全球治理体系变革的时代要求 ④中国对外贸易结算风险降低 C.各国人民过上更好日子的强烈愿望 A.①③ B.①④ C.②③ D.②④D.发展中国家实现区域经济一体化的迫切需要 ①青年学生的价值观决定于其行为选择 19.家庭联产承包责任制拉开了中国改革开放的序幕,农村改革带来的希望在心底里流淌、在劳动中萌发,文 ②青年学生的价值观一旦形成就会稳定不变 艺工作者的创作激情和灵感在希望的田野上点燃,歌曲《在希望的田野上》由此诞生。如今,这首唱响大 ③价值观教有是青年学生健康成长的必修课 江南北的歌已凝结成标示时代巨变的音乐符号,激励着亿万中华儿女奋发进取。这表明 ④正确价值观是青年学生走好人生道路的重要向导 ①群众喜闻乐见是评价艺术价值的客观标准 A.①② B.①④ C.②③ D.③④ ②社会主义文艺要坚持讴歌人民、讴歌劳动 23.广西某山村有许多珍稀鸟类,但一直存在打鸟、捕鸟等现象。近年来,该村引导村民树立“绿水青山就是 ③激情与灵感是艺术创作的源泉与动力 金山银山”的理念,建设观鸟基地,吸引天南海北的“鸟友”前来参观,以护鸟观鸟、旅游观光、休闲度 ④优秀的文艺作品既要回应时代要求又能引领时代方向 假为特色的产业蓬勃发展,以前打鸟、捕鸟的村民成为爱鸟、护鸟的“土专家”和良好生态环境的自觉守 A.①② B.①③ C.②④ D.③④ 护者。这表明 20.在数千年发展历程中,亚洲人民创造了辉煌的文化成果。《诗经》《论语》《塔木德》《千零一夜》《聚 ①社会意识的发展变化根源于生产生活的发展变化 俱吠陀》《源氏物话》等名篇经典,楔形文字、地图、玻璃、阿拉伯数字、造纸术、印刷木等发明……既 ②不与社会存在同步变化的社会意识是落后的社会意识 独树一帜、各领风骚,又和谐共生、交相辉映,记录了亚洲人民对美好生活的追求,都是人类文明的宝贵 ③社会意识能够转化为改变社会存在的物质力量 财富。从中得到的启示是 ④社会意识能否推动社会发展取决于其是否反映社会存在 ①文化的多样性来自于社会生产生活的丰富性 A.①② B.①③ C.②④ D.③④ ②历史积淀的厚度是衡量文化先进程度的尺度 二、非选择题:共 52分。第 13-15题为必考题,每个试题考生都必须作答。 ③丰富多彩的优秀文化是人民群众创造力的集中体现 38.阅读材料,完成下列要求。(14分) ④文化作为一种精神力量规定了文明发展的进程和趋势 材料一 A.①② B.①③ C.②④ D.③④ 21.工业遗产的开发利用是城市转型发展亟待解决的问题。许多城市巧妙利用闲置的厂房和设备,精心打造文 创产业园、时尚设计园、爱国主义教育基地等,厂房变成博物馆,仓库改成音乐厅,厂区转为影视基 地……工业遗产的“华丽转身”表明 ①事物间的联系是客观的,与人的意识无关 ②把握联系的多样性是正确认识和有效利用事物的前提 ③事物发展的关键在于把事物的内部联系转变为外部联系 ④人们可以通过实践调整事物之间原有的联系,建立新的联系 A.①② B.①③ C.②④ D.③④ 图7 2013~2019年我国最终消费支出对GDP增长贡献率和居民恩格尔系数的变化 22.2019年 3月 18日,习近平在学校思想政治理论课教师座谈会上强调,青少年阶段是人生的“拔节孕德 材料二 期”。最需要精心引导和栽培;要给学生心灵埋下真善美的种子,引导学生扣好人生第一粒扣子。因为 2019年11月,第二届中国国际进口博览会在上海举行,共有155个国家(地区)、26个国际组织、3893家企业参加,超过50万名境内外专业采购商到会洽谈采购,累计意向成交额711.3亿美元。进博会设置装备、食 品、医药、健康、服务等展区,与大众品质生活的消费密切相关:从新抗癌药到智能化的医疗设备,从体现绿 色概念的护肤品到高科技垃圾粉碎机,从可穿戴外骨骼机器人到有助于创建“养老型城市”的康养产品等,集 中反映了当前消费的新热点、新趋势。 (1) 解读材料一包含的经济信息。(4分) 40.阅读材料,完成下列要求。(26分) 在抗击新冠肺炎疫情过程中,国家卫生健康委组织专家对医疗救治工作不断进行分析、研判、总结,先后 (2) 结合材料并运用经济知识,说明消费变化对我国生产将产生的重要影响。(10分) 制修订和发布7版新冠肺炎诊疗方案,为保卫人民生命健康提供了重要保障。第1版方案较简单,主要包括病 原学特点、病例特点、病例定义、鉴别诊断、病例发现与报告、治疗等方面内容。第3版方案细化了中医治疗 方案等内容。第7版方案增加病理改变内容,增补和调整临床表现、诊断标准、治疗方法和出院标准等,并纳 入无症状感染者可能具有感染性、康复者恢复期血浆治疗等新发现,形成了包括13个方面内容的比较完整的诊 疗体系。 中医药是中国人民在几千年生产生活实践中创造的,是中华文化的瑰宝,在抗击新冠肺炎疫情中彰显了独 39.阅读材料,完成下列要求。(12分) 特的价值和魅力。坚持中西医结合、中西药并用,发挥中医药治未病、辩证施治、多靶点干预的独特优势,全 《中共中央国务院关于实施乡村振兴战略的意见》要求深化村民自治实践,“坚持自治为基,加强农村群众性 程参与深度介入疫情防控,形成了覆盖诊疗过程的中医诊疗规范和技术方案,在全国推广使用,有效降低了发 自治组织建设,健全和创新村党组织领导的充满活力的村民自治机制”。 病率、转重率、病亡率,提高了治愈率,加快了恢复期康复。中医药还走出国门助力全球抗疫,中方专家线上 某地探索创新村民自治机制,形成“四会管村”模式。村党支部委员会根据村民自治有关规定,讨论决定 线下与日本、韩国、意大利、柬埔寨等国专家分享救治经验,将新冠肺炎中医药诊疗方案译成英文并发布在国 旧村改造事项并提出要求。5个村民小组组长挨家挨户走访村民,汇集村民意见建议300多条,初步估算总投 家卫生健康委网站与世界各国共享。 资上亿元。村民议事会经过反复商议,形成两套改造安置方案。第一套方案经费投入较多,涉及村头大树和祠 (1) 诊疗方案的变化反映了对新冠肺炎认识的发展,运用认识论原理加以分析。(12 分) 堂的保留利用;第二套方案现代时尚,且相对省钱。两套方案并报村民代表大会投票表决, 第一套方案获得通 过。在全体村民的积极支持配合下,村民委员会精心组织实施,不到两个半月,378户、10万平方米的旧房全 部顺利拆迁完毕。 运用政治生活知识说明“四会管村”实现村民自治的工作机制及其意义。(2) 结合材料并运用文化生活知识,说明弘扬中医药文化对于坚定文化自信的作用。(10分) (3)请就如何发挥中医药在“健康中国”建设中的作用提两条建议。(4分)