当前位置:首页>文档>2020年天津市高考政治试卷_全国卷+地方卷_9.政治_1.政治高考真题试卷_2008-2020年_地方卷_天津高考政治08-21_A3word版

2020年天津市高考政治试卷_全国卷+地方卷_9.政治_1.政治高考真题试卷_2008-2020年_地方卷_天津高考政治08-21_A3word版

  • 2026-03-31 23:44:10 2026-03-06 12:58:25

文档预览

2020年天津市高考政治试卷_全国卷+地方卷_9.政治_1.政治高考真题试卷_2008-2020年_地方卷_天津高考政治08-21_A3word版
2020年天津市高考政治试卷_全国卷+地方卷_9.政治_1.政治高考真题试卷_2008-2020年_地方卷_天津高考政治08-21_A3word版
2020年天津市高考政治试卷_全国卷+地方卷_9.政治_1.政治高考真题试卷_2008-2020年_地方卷_天津高考政治08-21_A3word版

文档信息

文档格式
doc
文档大小
0.285 MB
文档页数
3 页
上传时间
2026-03-06 12:58:25

文档内容

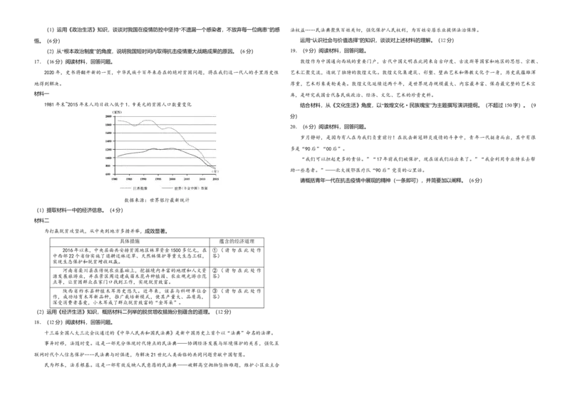
C.列席市人大会议,直接将建议送交权力机关 2020 年天津市普通高中学业水平等级性考试 D.通过信函或电子邮件等形式发送给有关决策机关 思想政治 4.上海合作组织由中国与俄罗斯、哈萨克斯坦等周边多国组成。2019年,在上合组织比什凯克峰会上,习近平 主席针对复杂的国际形势,强调要把上合组织打造成当今世界团结互信、安危共担、互利共赢、包容互鉴的 本试卷分为第I卷(选择题)和第II卷(非选择题)两部分,共100分,考试用时60分钟。第I卷1至5页, 地区合作机制典范。对此理解正确的是( ) 第II卷6至8页。 ①上合组织具有明确的目的性 答卷前,考生务必将自己的姓名、考生号、考场号和座位号填写在答题卡上,并在规定位置粘贴考试用条 ②上合组织是众多贸易协定的管理者 形码。答卷时,考生务必将答案涂写在答题卡上,答在试卷上的无效。考试结束后,将本试卷和答题卡一并交 ③中国坚持与邻为善、以邻为伴,深化互利合作 回。 ④各国际组织的共同宗旨是促进世界和平与发展 祝各位考生考试顺利! A.①④ B.①③ C.②④ D.②③ 第 I 卷 5.对漫画《摇身一变》反映的经济现象认识正确的是( ) 注意事项: 1.每题选出答案后,用铅笔将答题卡上对应题目的答案标号涂黑。如需改动,用橡皮擦干净后,再选涂其 他答案标号。 2.本卷共15题,每题3分,共45分。在每题给出的四个选项中,只有一项是最符合题目要求的。 1.新中国成立70多年来,中国不断加大对落后国家的发展援助,提供国际人道主义救援,积极参加联合国维 和行动,在国际社会应对气候变化、恐怖主义、重大传染性疾病等全球性挑战中,中国没有缺席,也决不会 缺席。这表明( ) A.中国积极践行人类命运共同体理念 ①这是市场调节自发性的表现 B.合作与竞争是国际关系最重要的形式 ②市场交易应该遵循诚实守信的原则 C.中国是促进世界经济政治发展的决定力量 ③供求关系决定价格,供不应求价格上涨 D.维护国家间的共同利益是我国外交政策的出发点 ④名人效应影响价格是市场调节盲目性的表现 2.天津政务服务移动端“津心办”微信小程序于今年3月上线,在掌上服务方面,整合各类公共服务和政务服务 A.①④ B.①② C.②③ D.③④ 事项,包括社会保障、医疗卫生等与市民生活紧密相关的 57项服务,实现了“掌上可办、多端可办”。“津心 6.为应对新冠肺炎疫情对经济社会的不利影响,某市发放了普惠型和红利型两种消费券。普惠型消费券人人有 办”微信小程序的上线( ) 份;红利型消费券只对低保、特困等四类救助对象发放。发放红利型消费券( ) A.为公民投诉提供了司法途径 B.有利于树立政府权威 A.是完善我国分配制度的重要举措 C.为政府服务群众提供了新渠道 D.有利于扩大政府职能 B.是政府运用货币政策刺激消费的手段 3.2019年,某市5000多名青少年代表参与“共建儿童友好型城市”活动,通过实践调查、小组讨论等方式,累 C.有利于促进社会公平,稳定人民生活 计提出1000多条涉及交通便利、城市童趣空间打造等方面的有效建议。将这些建议传递到有关部门的正确 D.有利于实现消费升级,刺激经济增长 途径是( ) 7.近年来,有外资企业将部分产业链转移至成本更低的东南亚国家,但中国劳动力的素质、技能较东南亚国家 A.通过参与民主协商行使提案权和决策权 有优势,且产业链转移并非一朝一夕的事,加之中国营商环境不断优化,外资企业出于自身利益考虑,不会 B.召开民主评议会,对政府工作提出批评建议 大规模流出。对此现象理解正确的是( )A.中国坚持引进来和走出去并重 13.阅读一本好书,能让生命变得更有质感,充沛内心的力量。有的人遇到生活的磨难,却在书籍中获得了勇 B.跨国公司是经济全球化的重要载体 气;有的人囿于琐碎的日常,却在书籍中拓宽了天地;有的人尽管身处贫穷,却在书籍中收获了精神财富。 C.资本的流动是为了追求利润最大化 读好书( ) D.对外开放有利于缩小国家间的发展差距 A.能在潜移默化中塑造人生 8.2020年3月28日,美国总统正式签署第三轮经济刺激法案,总规模高达2.2万亿美元,这是美国历史上最 B.是培养健全人格的根本途径 大的一揽子财政政策。该经济刺激法案体现了( ) C.对人的全面发展起着决定作用 A.新自由主义的基本主张 B.凯恩斯的政策主张 D.既能产生精神力量,也能产生物质力量 C.李嘉图的比较成本学说 D.斯密“看不见的手”的作用 14.徜徉古镇杨柳青,声声古琴音从青砖灰瓦间溢出,沿运河两岸流淌,一幅隽永的文化长卷就此舒展。石家 9.某服装厂的生产工序包括“裁剪—缝纫—熨烫—检验—包装—交货”。下列认识正确的是( ) 大院等保存完好的清代民居建筑群,孕育了大院文化;家家会点染、户户善丹青,声名远扬的木版年画, A.社会分工会导致商品价值量的增加 滋养着吉祥文化。杨柳青古镇独具特色的文化( ) B.社会分工最终由市场规模的大小决定 ①蕴含着人们对美好生活的向往 C.工人各自独立完成全套工序,产量会更高 ②是中国传统文化的标志 D.工人通过分工完成全套工序,效率会更高 ③借助传统建筑和传统工艺得以传承 10.习近平总书记善于运用马克思主义哲学思维来阐述问题,注重思想方法和工作方法,比如坚持实事求是、 ④在世代相传中从未改变 坚持问题导向、坚持全面协调、坚持调查研究等。上述方法与马克思主义哲学原理对应正确的是( ) A.①③ B.①④ C.②③ D.②④ A.坚持实事求是——物质与意识的辩证关系 15.武术在中国历史悠久,有广泛的群众基础,深受青少年喜爱。2020年1月,国际奥委会执委会会议将武术 B.坚持问题导向——整体与部分的辩证关系 列入第四届青奧会正式比赛项目,这是武术首次成为奥林匹克系列运动会正式比赛项目。这有利于( ) C.坚持全面协调——物质与运动的辩证关系 A.提升中国体育影响力,引领世界体育发展 D.坚持调查研究——矛盾同一性与斗争性的辩证关系 B.讲好中国故事,增强社会主义先进文化的吸引力 11.火箭呼啸而去、飞船摇曳而归。长征五号 B运载火箭的成功发射,开启了中国载人航天“三步走”战略的最 C.坚守中华文化的基本立场,保持中华文化的特性 后一步——空间站时代。空间站和航天技术的进一步发展,将带动众多科技领域的进步,使航天成果广泛 D.拓宽中华文化传播渠道,推动东西方文明交流交融 应用。由此可见( ) 2020年天津市普通高中学业水平等级性考试 A.航天技术是引领我国科技创新的根本动力 思想政治 B.制定正确的战略是航天事业成功的决定性因素 第II卷 C.开启空间站时代是中国载人航天事业一次质的飞跃 注意事项: D.航天技术与社会生活的方方面面都存在着必然联系 1.用黑色墨水的钢笔或签字笔将答案写在答题卡上。 12.1979年,邓小平同志提出了“小康之家”的概念,从此“小康”被用来诠释中国现代化坐标上一个重要阶段。 2.本卷共5题,共55分。 从党的十五大提出“建设小康社会”,到十六大提出“全面建设小康社会”,再到十八大提出“全面建成小康社 16.(12分)阅读材料,回答问题。 会”,十九大提出“决胜全面建成小康社会”。这一过程体现了( ) 岁末年初,一场新冠肺炎疫情突袭大江南北。习近平总书记亲自指挥、亲自部署,开展了疫情防控的人民 A.认识的根本目的是获得真理 战争、总体战、阻击战。我国采取最全面、最严格、最彻底的防控措施,不遗漏一个感染者,不放弃每一位病 B.认识的最基本属性是客观性 患。 C.真理通过不断战胜谬误得到发展 一些地方人大常委会紧急立法,在国家法律和法规框架下授权地方政府在医疗卫生、防疫管理等方面,规 D.认识在实践基础上不断深化和发展 定临时性应急行政管理措施。经过艰苦卓绝的努力,我国用3个月左右的时间取得了抗击疫情的重大战略成果。(1)运用《政治生活》知识,谈谈对我国在疫情防控中坚持“不遗漏一个感染者,不放弃每一位病患”的感 法权益……民法典聚焦百姓关切,强化保护人民权利,为百姓安居乐业提供法治保障。 悟。(6分) 运用“认识社会与价值选择”的知识,谈谈对上述材料的理解。(12分) (2)从“根本政治制度”的角度,说明我国短时间内取得抗击疫情重大战略成果的原因。(6分) 19.(9分)阅读材料,回答问题。 17.(16分)阅读材料,回答问题。 敦煌作为中国通向西域的重要门户,古代中国文明在此同来自古印度、古波斯等国家和地区的思想、宗教、 2020年,史书将翻开新的一页,中华民族千百年来存在的绝对贫困问题,将在我们这一代人的手里历史性 艺术汇聚交流,造就了独特的敦煌文化。敦煌文化集建筑、彩塑、壁画艺术和佛教文化于一身,历史底蕴雄浑 地得到解决。 厚重,艺术形象美轮美奂。敦煌文化延续近两千年,是世界现存规模最大、内容最丰富、保存最完整的艺术宝 材料一 库,是研究我国古代各民族政治、经济、文化、艺术的珍贵史料。 1981年末~2015年末人均日收入低于1.9美元的贫困人口数量变化 结合材料,从《文化生活》角度,以“敦煌文化·民族瑰宝”为主题撰写演讲提纲。(不超过150字)。(9 分) 20.(6分)阅读材料,回答问题。 岁月静好,是因为有人在为我们负重前行!在抗击新冠肺炎疫情的斗争中,青年一代挺身而出,其中有很 多是“90后”“00后”。 “我们可以担起更多的责任。”“17年前我们被保护,现在该我们站出来了。”“我会利用专业特长去帮 助一些患者。”——北大援鄂医疗队“90后”党员的心里话。 请概括青年一代在抗击疫情中展现的精神(一条即可),并简要加以阐释。(6分) 数据来源:世界银行最新统计 (1)提取材料一中的经济信息。(4分) 材料二 为打赢脱贫攻坚战,从中央到地方多措并举,成效显著。 具体措施 蕴含的经济道理 2016年以来,中央层面共安排贫困地区林草资金1500多亿元,在 ①(请勿在此处作 中西部22个省份实施了退耕还林还草、天然林保护等重大生态工程, 答) 实现生态保护和脱贫增收双贏。 河南省栾川县在传统农业基础上,挖掘境内丰富的地理和人文资 ②(请勿在此处作 源发展旅游业,并在景区周边建成苗木花卉种植园、农业观光游示范 答) 点等,让贫困群众在家门口找到工作,实现脱贫致富。 陕西省柞水县种植木耳历史悠久。近年来,该县与科研单位合 ③(请勿在此处作 作,成功培育木耳新品种,推广栽培新模式,使其产量大、品质高, 答) 深受消费者喜爱,小木耳成了群众脱贫致富的“金耳朵”。 (2)运用《经济生活》知识,概括材料二列举的脱贫增收措施分别蕴含的道理。(12分) 18.(12分)阅读材料,回答问题。 十三届全国人大三次会议通过的《中华人民共和国民法典》是新中国历史上首个以“法典”命名的法律。 事异时移,法随时变。这是一部充分体现时代特点的民法典——协调经济发展与环境保护的关系,强化互 联网时代个人信息保护……民法典与时俱进,为解决21世纪人类面临的共同问题贡献中国智慧。 民为邦本,法系根基。这是一部有效反映人民意愿的民法典——破解高空抛物坠物难题,维护小区业主合