当前位置:首页>文档>专题01直线与椭圆的位置关系(解析版)_2.2025数学总复习_2024年新高考资料_3.2024专项复习_2024年新高考数学之圆锥曲线专项重难点突破练(新高考专用)

专题01直线与椭圆的位置关系(解析版)_2.2025数学总复习_2024年新高考资料_3.2024专项复习_2024年新高考数学之圆锥曲线专项重难点突破练(新高考专用)

  • 2026-04-04 15:39:18 2026-03-11 03:31:09

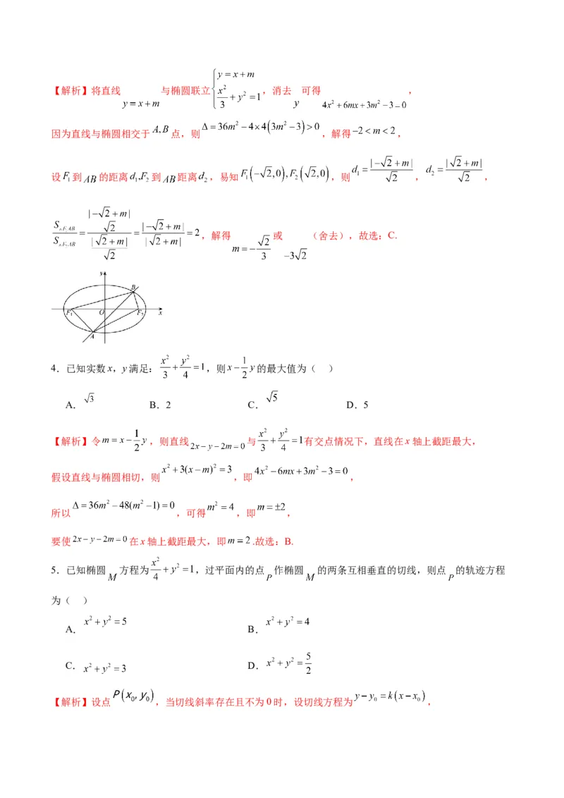
文档预览

专题01直线与椭圆的位置关系(解析版)_2.2025数学总复习_2024年新高考资料_3.2024专项复习_2024年新高考数学之圆锥曲线专项重难点突破练(新高考专用)
专题01直线与椭圆的位置关系(解析版)_2.2025数学总复习_2024年新高考资料_3.2024专项复习_2024年新高考数学之圆锥曲线专项重难点突破练(新高考专用)
专题01直线与椭圆的位置关系(解析版)_2.2025数学总复习_2024年新高考资料_3.2024专项复习_2024年新高考数学之圆锥曲线专项重难点突破练(新高考专用)
专题01直线与椭圆的位置关系(解析版)_2.2025数学总复习_2024年新高考资料_3.2024专项复习_2024年新高考数学之圆锥曲线专项重难点突破练(新高考专用)
专题01直线与椭圆的位置关系(解析版)_2.2025数学总复习_2024年新高考资料_3.2024专项复习_2024年新高考数学之圆锥曲线专项重难点突破练(新高考专用)
专题01直线与椭圆的位置关系(解析版)_2.2025数学总复习_2024年新高考资料_3.2024专项复习_2024年新高考数学之圆锥曲线专项重难点突破练(新高考专用)
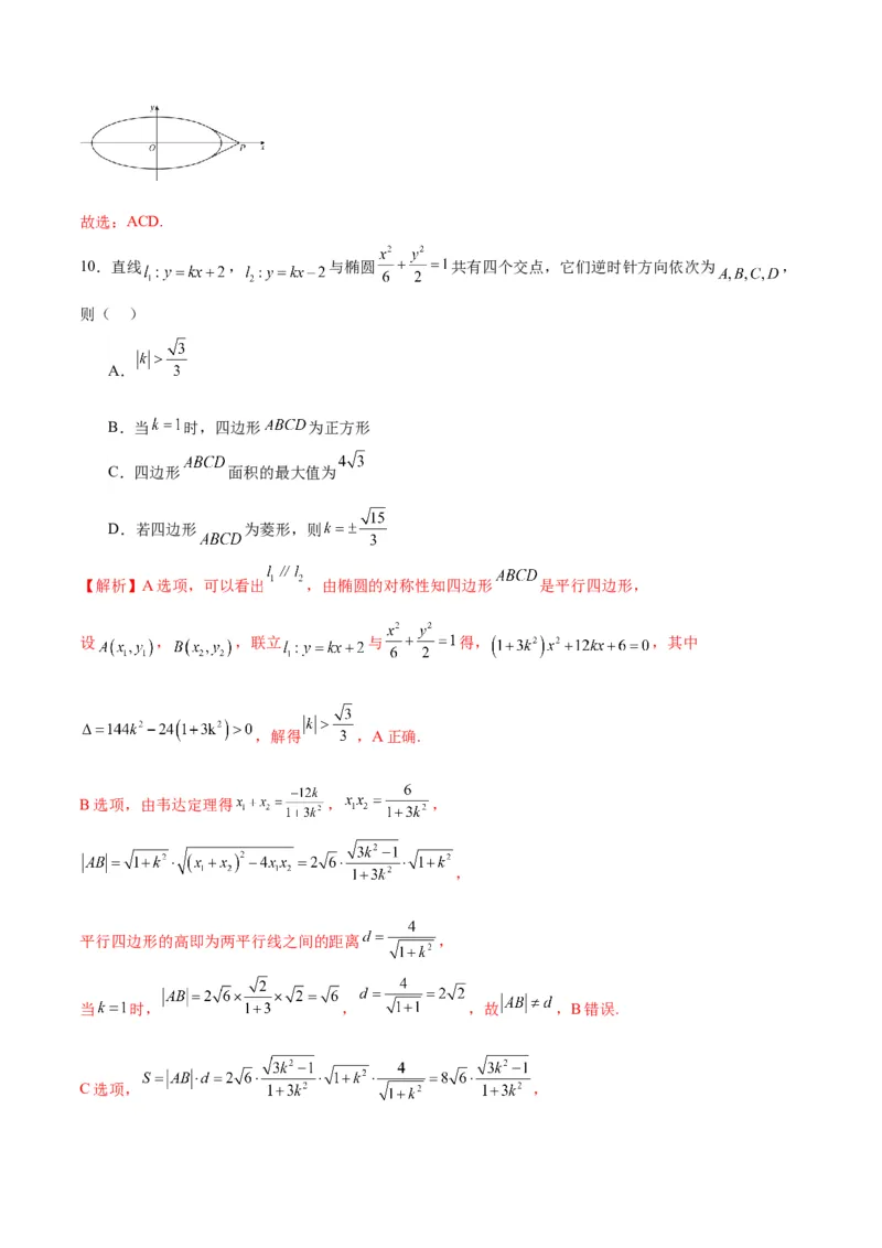
专题01直线与椭圆的位置关系(解析版)_2.2025数学总复习_2024年新高考资料_3.2024专项复习_2024年新高考数学之圆锥曲线专项重难点突破练(新高考专用)
专题01直线与椭圆的位置关系(解析版)_2.2025数学总复习_2024年新高考资料_3.2024专项复习_2024年新高考数学之圆锥曲线专项重难点突破练(新高考专用)
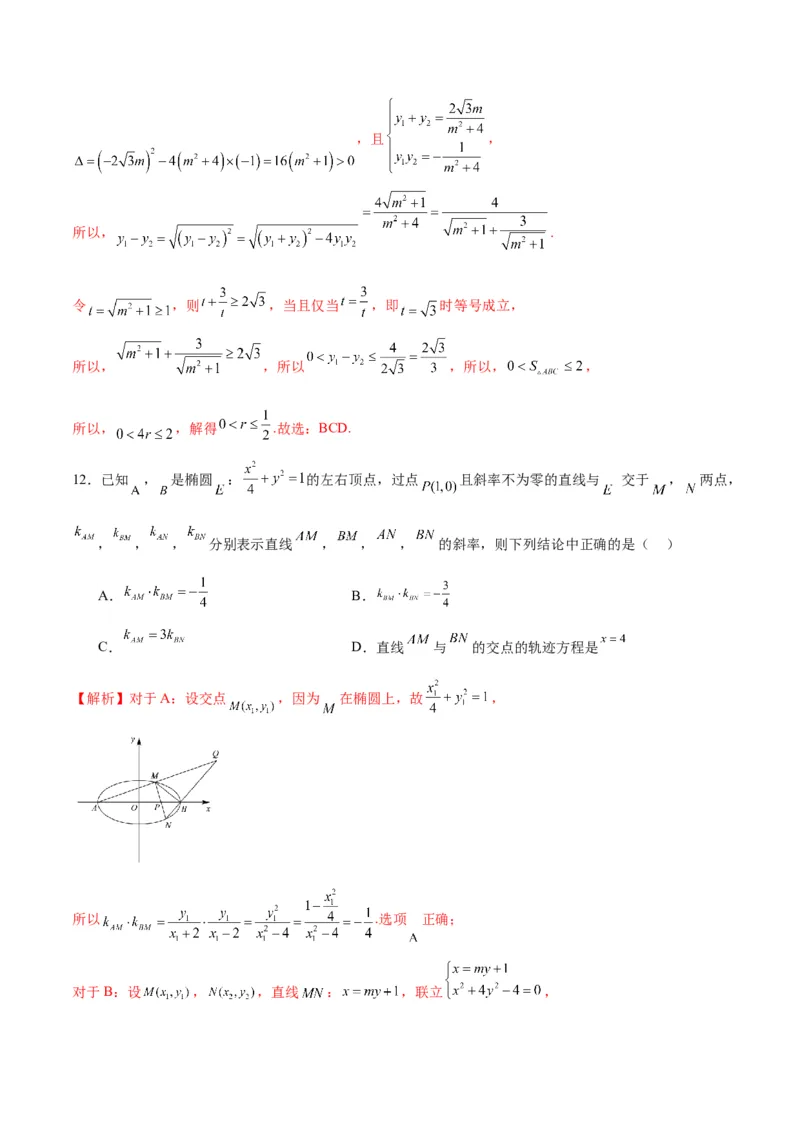
专题01直线与椭圆的位置关系(解析版)_2.2025数学总复习_2024年新高考资料_3.2024专项复习_2024年新高考数学之圆锥曲线专项重难点突破练(新高考专用)
专题01直线与椭圆的位置关系(解析版)_2.2025数学总复习_2024年新高考资料_3.2024专项复习_2024年新高考数学之圆锥曲线专项重难点突破练(新高考专用)
专题01直线与椭圆的位置关系(解析版)_2.2025数学总复习_2024年新高考资料_3.2024专项复习_2024年新高考数学之圆锥曲线专项重难点突破练(新高考专用)
专题01直线与椭圆的位置关系(解析版)_2.2025数学总复习_2024年新高考资料_3.2024专项复习_2024年新高考数学之圆锥曲线专项重难点突破练(新高考专用)
专题01直线与椭圆的位置关系(解析版)_2.2025数学总复习_2024年新高考资料_3.2024专项复习_2024年新高考数学之圆锥曲线专项重难点突破练(新高考专用)
专题01直线与椭圆的位置关系(解析版)_2.2025数学总复习_2024年新高考资料_3.2024专项复习_2024年新高考数学之圆锥曲线专项重难点突破练(新高考专用)
专题01直线与椭圆的位置关系(解析版)_2.2025数学总复习_2024年新高考资料_3.2024专项复习_2024年新高考数学之圆锥曲线专项重难点突破练(新高考专用)
专题01直线与椭圆的位置关系(解析版)_2.2025数学总复习_2024年新高考资料_3.2024专项复习_2024年新高考数学之圆锥曲线专项重难点突破练(新高考专用)
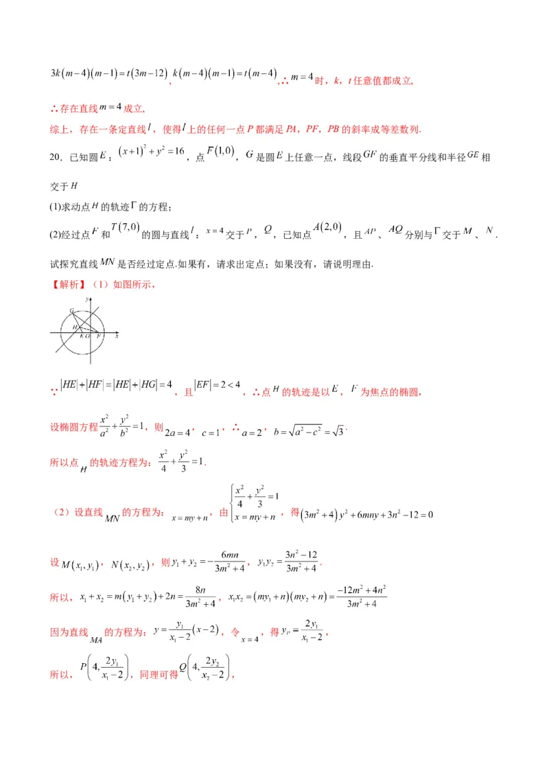
专题01直线与椭圆的位置关系(解析版)_2.2025数学总复习_2024年新高考资料_3.2024专项复习_2024年新高考数学之圆锥曲线专项重难点突破练(新高考专用)
专题01直线与椭圆的位置关系(解析版)_2.2025数学总复习_2024年新高考资料_3.2024专项复习_2024年新高考数学之圆锥曲线专项重难点突破练(新高考专用)
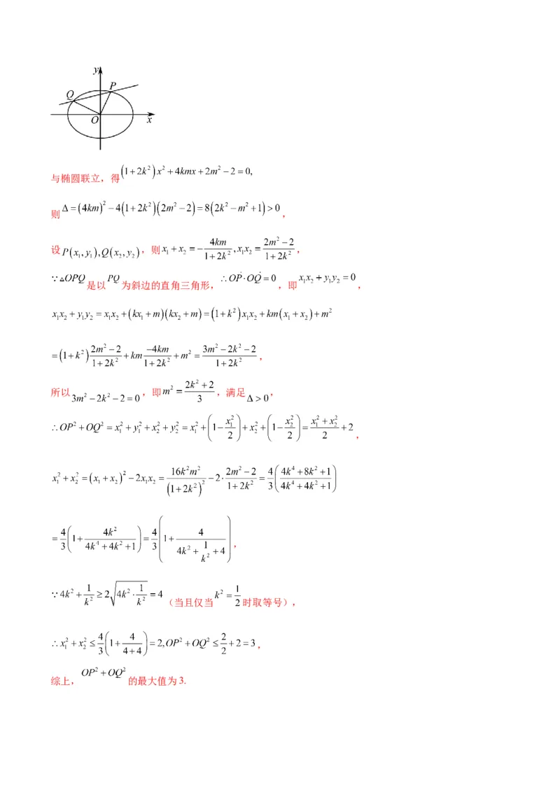
专题01直线与椭圆的位置关系(解析版)_2.2025数学总复习_2024年新高考资料_3.2024专项复习_2024年新高考数学之圆锥曲线专项重难点突破练(新高考专用)
专题01直线与椭圆的位置关系(解析版)_2.2025数学总复习_2024年新高考资料_3.2024专项复习_2024年新高考数学之圆锥曲线专项重难点突破练(新高考专用)
专题01直线与椭圆的位置关系(解析版)_2.2025数学总复习_2024年新高考资料_3.2024专项复习_2024年新高考数学之圆锥曲线专项重难点突破练(新高考专用)

文档信息

文档格式
docx
文档大小
1.242 MB
文档页数
21 页
上传时间
2026-03-11 03:31:09

文档内容

专题01 直线与椭圆的位置关系 测试时间:120分钟 满分:150分 一、单选题:本大题共8小题,每个小题5分,共40分.在每小题给出的选项中,只有一项是符合题目要 求的. 1.椭圆 与直线 的位置关系是( ) A.相离 B.相交 C.相切 D.无法确定 【解析】直线过定点 在椭圆内,故直线与椭圆相交.故选:B. 2.在平面直角坐标系 中,已知点 , 在椭圆 上,且直线 , 的斜率 之积为 ,则 ( ) A.1 B.3 C.2 D. 【解析】因为点 , 在椭圆 上,所以 , 因为直线 , 的斜率之积为 ,所以 , 可得 ,化简得 , 则 .故选:A. 3.已知椭圆 的左、右焦点分别为 , ,直线 与C交于A,B两点,若 面 积是 面积的2倍,则 ( ). A. B. C. D.【解析】将直线 与椭圆联立 ,消去 可得 , 因为直线与椭圆相交于 点,则 ,解得 , 设 到 的距离 到 距离 ,易知 ,则 , , ,解得 或 (舍去),故选:C. 4.已知实数x,y满足: ,则 的最大值为( ) A. B.2 C. D.5 【解析】令 ,则直线 与 有交点情况下,直线在x轴上截距最大, 假设直线与椭圆相切,则 ,即 , 所以 ,可得 ,即 , 要使 在x轴上截距最大,即 .故选:B. 5.已知椭圆 方程为 ,过平面内的点 作椭圆 的两条互相垂直的切线,则点 的轨迹方程 为( ) A. B. C. D. 【解析】设点 ,当切线斜率存在且不为0时,设切线方程为 ,联立 ,消去 得 , 则 , 即 ,两切线垂直故其斜率之积为-1, 则由根与系数关系知 ,即 . 当切线斜率不存在或为0时,此时点 坐标为 , , , ,满足方程 , 故所求轨迹方程为 .故选:A. 6.已知椭圆 的右焦点为 ,离心率为 ,过坐标原点 作直线 交椭圆于 两点, 若 ,则直线 的方程为( ) A. B. C. D. 【解析】由椭圆离心率为 ,知 , 由题意可设 ,则 , 由 可得 ,即 , 结合 可得 ,故 ,则 , 所以直线 的方程为 ,故选:B7.若直线 被圆 所截的弦长不小于2,则l与下列曲线一定有公共点的是( ) A. B. C. D. 【解析】由题意,圆 的圆心为 ,半径为 . 设直线方程为 ,直线 到圆心 的距离为 ,由弦长公式得 ,所以 . 由点到直线的距离公式得, ,即 . 对于选项A,直线 到该圆圆心的距离为 , 取 ,满足条件,而 ,直线与圆没有公共点,故A排除; 对于选项B,当 时,对于直线 有 , , , 联立椭圆方程得 ,所以必有公共点; 当 时,联立直线 与椭圆方程得 , ,所以必有公共点;故B正确; 对于选项C,联立直线 与抛物线方程得 , 若 时,则 ,有解 ; 若 时, ,取 ,则 ,方程无解,此时无公共点,故C错误;对于选项D,当 时,对于直线 有 , , , 联立双曲线方程得 , 取 ,则直线 : ,与双曲线不存在公共点,故D排除. 故选:B. 8.在椭圆 上求一点 ,使点 到直线 的距离最大时,点 的坐标为( ) A. B. C. D. 【解析】如下图所示: 根据题意可知,当点 在第三象限且椭圆在点 处的切线与直线 平行时, 点 到直线 的距离取得最大值,可设切线方程为 , 联立 ,消去 整理可得 , ,因为 ,解得 , 所以,椭圆 在点 处的切线方程为 , 因此,点 到直线 的距离的最大值为 ,联立 , 可得点 的坐标为 .故选:B. 二、多选题:本大题共4小题,每个小题5分,共20分.在每小题给出的选项中,只有一项或者多项是符合题目要求的. 9.在平面直角坐标系 中,已知直线 : ,椭圆 : ,则下列说法 正确的有( ) A. 恒过点 B.若 恒过 的焦点,则 C.对任意实数 , 与 总有两个互异公共点,则 D.若 ,则一定存在实数 ,使得 与 有且只有一个公共点 【解析】方程 可化为 ,所以直线 恒过点 ,A正确; 设椭圆的半焦距为 ,则点 的坐标可能为 或 , 若直线恒过点 ,则 ,故 ,矛盾, 直线恒过点 ,则 ,故 ,所以 ,B错误; 联立 ,消 可得, , 由对任意实数 , 与 总有两个互异公共点, 可得方程 有 个不相等的实数解, 所以 ,所以 ,所以 ,C正确; 因为 , 所以 时,则 ,即 时, 可得 ,此时方程组有且只有一组解,故 与 有且只有一个公共点,D正确.故选:ACD. 10.直线 , 与椭圆 共有四个交点,它们逆时针方向依次为 , 则( ) A. B.当 时,四边形 为正方形 C.四边形 面积的最大值为 D.若四边形 为菱形,则 【解析】A选项,可以看出 ,由椭圆的对称性知四边形 是平行四边形, 设 , ,联立 与 得, ,其中 ,解得 ,A正确. B选项,由韦达定理得 , , , 平行四边形的高即为两平行线之间的距离 , 当 时, , ,故 ,B错误. C选项, ,设 , , , 当且仅当 ,即 时,等号成立,C正确. D选项,若四边形 是菱形,则 ,即 故 ,解得 , ,D正确. 故选:ACD 11. 为椭圆 的两个焦点,过 的直线l与椭圆交于A,B两点,则 的内切圆半径的r 值可以为( ) A. B. C. D. 【解析】由已知可得, , , 如图,根据椭圆的定义可得, 的周长为 , 所以 .设 , ,设 , , 则 . 由已知可得,直线与 轴不重合, ,设直线 的方程为 , 联立直线与椭圆的方程 可得, .,且 , 所以, . 令 ,则 ,当且仅当 ,即 时等号成立, 所以, ,所以 ,所以, , 所以, ,解得 .故选:BCD. 12.已知 , 是椭圆 : 的左右顶点,过点 且斜率不为零的直线与 交于 , 两点, , , , 分别表示直线 , , , 的斜率,则下列结论中正确的是( ) A. B. C. D.直线 与 的交点的轨迹方程是 【解析】对于A:设交点 ,因为 在椭圆上,故 , 所以 .选项 正确; 对于B:设 , ,直线 : ,联立 ,消去 ,得 ,则 ①, ②, 所以 ,故选项B正确; 对于C:联立 和 ,相除得 ,故选项C错误; 对于D:设直线 方程: ③, 直线 方程: ④,联立③④,消 得, , 结合选项B中①②得 , 所以 .D正确; 故选:ABD. 三、填空题:本大题共4小题,每小题5分,共20分.把答案填在答题卡中的横线上. 13.设椭圆中心在坐标原点, 是它的两个顶点,直线 与线段AB相交于点D, 与椭圆相交于E,F两点.若 ,则实数k的值为 . 【解析】依题意得椭圆的方程为 ,直线AB,EF的方程分别为 , . 如图,设D,E,F三点的坐标分别为 , , ,其中 , 由 得 ,则 满足方程 , 故 ,由 知 ,得 , 由点D在直线AB上,知 ,即 , 所以 ,化简得 ,解得 或 . 14.已知椭圆 ,过点 的直线 与椭圆 交于 两点(点 位于 轴上方),若 ,则直线 的斜率 的值为 . 【解析】依题意,点 位于 轴上方且 ,则直线 的斜率存在且不为 , 设 ( ),则 , , 则可得 ,设直线l方程为 , 联立直线与椭圆 可得 ,显然 , , , , ,解得 ,则直线 的斜率为 .15.已知椭圆C: ,过右焦点 的直线交椭圆于A,B,若原点O在以AB为直径的 圆上,则a的取值范围为 . 【解析】已知椭圆 ,则其右焦点坐标为 ,则 ,且 ,过右焦点的 直线交椭圆于A,B,满足原点O在以AB为直径的圆上,所以 , 则设直线AB方程为 , 则 ,所以 , 显然 恒成立,所以 , 则 整理得 ,所以 , 又 , 在 单调递增,所以 , 所以 ,解得 .故答案为: 16.已知椭圆C: ,圆O: ,直线l与圆O相切于第一象限的点A,与椭圆C交于P,Q两点,与x轴正半轴交于点B.若 ,则直线l的方程为 . 【解析】取 中点 ,连接 ,由于 ,所以 ,进而 , 设 ,设直线上任意一点 , 由于 是圆的切线,所以 ,所以 , 令 则 ,所以 ,由中点坐标公式可得 , 设 ,则 ,两式相减可得 , 所以 ,又 , , 所以 ,解得 ,进而 故直线l的方程为 ,即 四、解答题:本大题共6小题,共70分.解答应写出必要的文字说明、证明过程或演算步骤. 17.已知椭圆 的右焦点为 ,上顶点为 , ,离心率为 . (1)求椭圆 的标准方程; (2)若直线 与椭圆 相交于 两点,且点 ,当 的面积最大时,求直线 的方程.【解析】(1)由题意,可得 ,且 ,所以 ,则 , 所以椭圆 的方程为 . (2)由直线 的方程为 ,则点 到直线 的距离为 , 联立方程组 ,整理可得 , 由判别式 ,解得 , 设 ,则 , 可得 , 所以 , 当且仅当 时,等号成立, 所以所求直线的方程为 或 . 18.如图,在平面直角坐标系 中, 两点分别为椭圆 的右顶点和上顶点,且 ,椭圆上的点到直线 的距离的最大值为6.(1)求椭圆的标准方程; (2)过点 的直线交椭圆于另一点 ,交直线 于点 ,且以 为直径的圆经过原点,求直线 的方程. 【解析】(1)由题意得 ,解得 ,故椭圆的标准方程为: . (2)由题意得直线 不垂直 轴,设直线 , 联立 ,可得 ,且 . 设 ,则 ,则 ,易知 . 联立 ,可得 . 以 为直径的圆经过原点, ,解得 . 直线方程为: 或 . 19.以椭圆 的四个顶点所围成的四边形的面积为 ,一个焦点 (1)求椭圆的标准方程 (2)过F的直线与椭圆C交于A,B两点,是否存在一条定直线 : ,使得 上的任何一点P都 满足PA,PF,PB的斜率成等差数列?若存在,求出直线 的方程,若不存在说明理由【解析】(1) 椭圆的四个顶点所围成的四边形的面积为 , , ∴ ∴ , , ∴椭圆方程 (2)假设存在一条定直线 ,使得 上的任何一点P都满足PA,PF,PB的斜率成等差数列, (Ⅰ)当AB斜率k不存在时, , , , ,故当斜率不存在时成立. (Ⅱ)当AB斜率k存在时,设AB直线方程 , , , 联立 ,可得 , 由韦达定理可知 , ,又 , , , , , ,, ,∴ 时,k,t任意值都成立, ∴存在直线 成立, 综上,存在一条定直线 ,使得 上的任何一点P都满足PA,PF,PB的斜率成等差数列. 20.已知圆 : ,点 , 是圆 上任意一点,线段 的垂直平分线和半径 相 交于 (1)求动点 的轨迹 的方程; (2)经过点 和 的圆与直线 : 交于 , ,已知点 ,且 、 分别与 交于 、 . 试探究直线 是否经过定点.如果有,请求出定点;如果没有,请说明理由. 【解析】(1)如图所示, ∵ ,且 ,∴点 的轨迹是以 , 为焦点的椭圆, 设椭圆方程 ,则 , ,∴ , . 所以点 的轨迹方程为: . (2)设直线 的方程为: ,由 ,得 设 , ,则 , . 所以, , 因为直线 的方程为: ,令 ,得 , 所以, ,同理可得 ,以 为直径的圆的方程为: , 即 , 因为圆过点 ,所以, , 得 ,代入得 , 化简得, ,解得 或 (舍去), 所以直线 经过定点 , 当直线 的斜率为0时,此时直线 与 轴重合,直线 经过点 , 综上所述,直线 经过定点 . 21.已知椭圆C: 的离心率 ,短轴长为 . (1)求椭圆C的方程; (2)已知经过定点 的直线l与椭圆相交于A,B两点,且与直线 相交于点Q,如果 , ,那么 是否为定值?若是,请求出具体数值;若不是,请说明理由. 【解析】(1)由题意得 ,解得 , ,故椭圆C的方程为 ; (2)当直线l的斜率不存在时, , , , , 则 , , , ,此时 , , ; 当直线l的斜率存在时,设斜率为k,则直线l的方程为 , 联立 可得 ,设 , , 联立 可得 , 则 , ,因为 , ,所以 , , 所以 , 22.已知椭圆 的焦距与短轴长相等,点 在椭圆上. (1)求椭圆的标准方程; (2)若 为椭圆上两点, 是以 (斜率存在)为斜边的直角三角形( 为坐标原点),求 的最大值. 【解析】(1)由题意,可知 ,即 ,所以 , 把点 的坐标代入椭圆方程得 ,所以 所以椭圆方程为 . (2)设直线方程为 ,与椭圆联立,得 则 , 设 ,则 , 是以 为斜边的直角三角形, ,即 , , 所以 ,即 ,满足 , , , (当且仅当 时取等号), , 综上, 的最大值为3.