当前位置:首页>文档>难点与新考法07二次函数与线段、面积、角度问题(5大热考题型)解析版_02中考总复习(2026版更新中)_02-数学-中考总复习_2025中考复习资料_2025年中考数学一轮知识梳理

难点与新考法07二次函数与线段、面积、角度问题(5大热考题型)解析版_02中考总复习(2026版更新中)_02-数学-中考总复习_2025中考复习资料_2025年中考数学一轮知识梳理

  • 2026-04-03 20:34:41 2026-03-12 23:30:27

文档预览

难点与新考法07二次函数与线段、面积、角度问题(5大热考题型)解析版_02中考总复习(2026版更新中)_02-数学-中考总复习_2025中考复习资料_2025年中考数学一轮知识梳理
难点与新考法07二次函数与线段、面积、角度问题(5大热考题型)解析版_02中考总复习(2026版更新中)_02-数学-中考总复习_2025中考复习资料_2025年中考数学一轮知识梳理
难点与新考法07二次函数与线段、面积、角度问题(5大热考题型)解析版_02中考总复习(2026版更新中)_02-数学-中考总复习_2025中考复习资料_2025年中考数学一轮知识梳理
难点与新考法07二次函数与线段、面积、角度问题(5大热考题型)解析版_02中考总复习(2026版更新中)_02-数学-中考总复习_2025中考复习资料_2025年中考数学一轮知识梳理
难点与新考法07二次函数与线段、面积、角度问题(5大热考题型)解析版_02中考总复习(2026版更新中)_02-数学-中考总复习_2025中考复习资料_2025年中考数学一轮知识梳理
难点与新考法07二次函数与线段、面积、角度问题(5大热考题型)解析版_02中考总复习(2026版更新中)_02-数学-中考总复习_2025中考复习资料_2025年中考数学一轮知识梳理
难点与新考法07二次函数与线段、面积、角度问题(5大热考题型)解析版_02中考总复习(2026版更新中)_02-数学-中考总复习_2025中考复习资料_2025年中考数学一轮知识梳理
难点与新考法07二次函数与线段、面积、角度问题(5大热考题型)解析版_02中考总复习(2026版更新中)_02-数学-中考总复习_2025中考复习资料_2025年中考数学一轮知识梳理
难点与新考法07二次函数与线段、面积、角度问题(5大热考题型)解析版_02中考总复习(2026版更新中)_02-数学-中考总复习_2025中考复习资料_2025年中考数学一轮知识梳理
难点与新考法07二次函数与线段、面积、角度问题(5大热考题型)解析版_02中考总复习(2026版更新中)_02-数学-中考总复习_2025中考复习资料_2025年中考数学一轮知识梳理
难点与新考法07二次函数与线段、面积、角度问题(5大热考题型)解析版_02中考总复习(2026版更新中)_02-数学-中考总复习_2025中考复习资料_2025年中考数学一轮知识梳理
难点与新考法07二次函数与线段、面积、角度问题(5大热考题型)解析版_02中考总复习(2026版更新中)_02-数学-中考总复习_2025中考复习资料_2025年中考数学一轮知识梳理
难点与新考法07二次函数与线段、面积、角度问题(5大热考题型)解析版_02中考总复习(2026版更新中)_02-数学-中考总复习_2025中考复习资料_2025年中考数学一轮知识梳理
难点与新考法07二次函数与线段、面积、角度问题(5大热考题型)解析版_02中考总复习(2026版更新中)_02-数学-中考总复习_2025中考复习资料_2025年中考数学一轮知识梳理
难点与新考法07二次函数与线段、面积、角度问题(5大热考题型)解析版_02中考总复习(2026版更新中)_02-数学-中考总复习_2025中考复习资料_2025年中考数学一轮知识梳理
难点与新考法07二次函数与线段、面积、角度问题(5大热考题型)解析版_02中考总复习(2026版更新中)_02-数学-中考总复习_2025中考复习资料_2025年中考数学一轮知识梳理
难点与新考法07二次函数与线段、面积、角度问题(5大热考题型)解析版_02中考总复习(2026版更新中)_02-数学-中考总复习_2025中考复习资料_2025年中考数学一轮知识梳理
难点与新考法07二次函数与线段、面积、角度问题(5大热考题型)解析版_02中考总复习(2026版更新中)_02-数学-中考总复习_2025中考复习资料_2025年中考数学一轮知识梳理
难点与新考法07二次函数与线段、面积、角度问题(5大热考题型)解析版_02中考总复习(2026版更新中)_02-数学-中考总复习_2025中考复习资料_2025年中考数学一轮知识梳理
难点与新考法07二次函数与线段、面积、角度问题(5大热考题型)解析版_02中考总复习(2026版更新中)_02-数学-中考总复习_2025中考复习资料_2025年中考数学一轮知识梳理
难点与新考法07二次函数与线段、面积、角度问题(5大热考题型)解析版_02中考总复习(2026版更新中)_02-数学-中考总复习_2025中考复习资料_2025年中考数学一轮知识梳理
难点与新考法07二次函数与线段、面积、角度问题(5大热考题型)解析版_02中考总复习(2026版更新中)_02-数学-中考总复习_2025中考复习资料_2025年中考数学一轮知识梳理
难点与新考法07二次函数与线段、面积、角度问题(5大热考题型)解析版_02中考总复习(2026版更新中)_02-数学-中考总复习_2025中考复习资料_2025年中考数学一轮知识梳理
难点与新考法07二次函数与线段、面积、角度问题(5大热考题型)解析版_02中考总复习(2026版更新中)_02-数学-中考总复习_2025中考复习资料_2025年中考数学一轮知识梳理
难点与新考法07二次函数与线段、面积、角度问题(5大热考题型)解析版_02中考总复习(2026版更新中)_02-数学-中考总复习_2025中考复习资料_2025年中考数学一轮知识梳理
难点与新考法07二次函数与线段、面积、角度问题(5大热考题型)解析版_02中考总复习(2026版更新中)_02-数学-中考总复习_2025中考复习资料_2025年中考数学一轮知识梳理
难点与新考法07二次函数与线段、面积、角度问题(5大热考题型)解析版_02中考总复习(2026版更新中)_02-数学-中考总复习_2025中考复习资料_2025年中考数学一轮知识梳理
难点与新考法07二次函数与线段、面积、角度问题(5大热考题型)解析版_02中考总复习(2026版更新中)_02-数学-中考总复习_2025中考复习资料_2025年中考数学一轮知识梳理
难点与新考法07二次函数与线段、面积、角度问题(5大热考题型)解析版_02中考总复习(2026版更新中)_02-数学-中考总复习_2025中考复习资料_2025年中考数学一轮知识梳理
难点与新考法07二次函数与线段、面积、角度问题(5大热考题型)解析版_02中考总复习(2026版更新中)_02-数学-中考总复习_2025中考复习资料_2025年中考数学一轮知识梳理
难点与新考法07二次函数与线段、面积、角度问题(5大热考题型)解析版_02中考总复习(2026版更新中)_02-数学-中考总复习_2025中考复习资料_2025年中考数学一轮知识梳理
难点与新考法07二次函数与线段、面积、角度问题(5大热考题型)解析版_02中考总复习(2026版更新中)_02-数学-中考总复习_2025中考复习资料_2025年中考数学一轮知识梳理
难点与新考法07二次函数与线段、面积、角度问题(5大热考题型)解析版_02中考总复习(2026版更新中)_02-数学-中考总复习_2025中考复习资料_2025年中考数学一轮知识梳理
难点与新考法07二次函数与线段、面积、角度问题(5大热考题型)解析版_02中考总复习(2026版更新中)_02-数学-中考总复习_2025中考复习资料_2025年中考数学一轮知识梳理
难点与新考法07二次函数与线段、面积、角度问题(5大热考题型)解析版_02中考总复习(2026版更新中)_02-数学-中考总复习_2025中考复习资料_2025年中考数学一轮知识梳理
难点与新考法07二次函数与线段、面积、角度问题(5大热考题型)解析版_02中考总复习(2026版更新中)_02-数学-中考总复习_2025中考复习资料_2025年中考数学一轮知识梳理
难点与新考法07二次函数与线段、面积、角度问题(5大热考题型)解析版_02中考总复习(2026版更新中)_02-数学-中考总复习_2025中考复习资料_2025年中考数学一轮知识梳理
难点与新考法07二次函数与线段、面积、角度问题(5大热考题型)解析版_02中考总复习(2026版更新中)_02-数学-中考总复习_2025中考复习资料_2025年中考数学一轮知识梳理
难点与新考法07二次函数与线段、面积、角度问题(5大热考题型)解析版_02中考总复习(2026版更新中)_02-数学-中考总复习_2025中考复习资料_2025年中考数学一轮知识梳理
难点与新考法07二次函数与线段、面积、角度问题(5大热考题型)解析版_02中考总复习(2026版更新中)_02-数学-中考总复习_2025中考复习资料_2025年中考数学一轮知识梳理
难点与新考法07二次函数与线段、面积、角度问题(5大热考题型)解析版_02中考总复习(2026版更新中)_02-数学-中考总复习_2025中考复习资料_2025年中考数学一轮知识梳理
难点与新考法07二次函数与线段、面积、角度问题(5大热考题型)解析版_02中考总复习(2026版更新中)_02-数学-中考总复习_2025中考复习资料_2025年中考数学一轮知识梳理
难点与新考法07二次函数与线段、面积、角度问题(5大热考题型)解析版_02中考总复习(2026版更新中)_02-数学-中考总复习_2025中考复习资料_2025年中考数学一轮知识梳理
难点与新考法07二次函数与线段、面积、角度问题(5大热考题型)解析版_02中考总复习(2026版更新中)_02-数学-中考总复习_2025中考复习资料_2025年中考数学一轮知识梳理
难点与新考法07二次函数与线段、面积、角度问题(5大热考题型)解析版_02中考总复习(2026版更新中)_02-数学-中考总复习_2025中考复习资料_2025年中考数学一轮知识梳理
难点与新考法07二次函数与线段、面积、角度问题(5大热考题型)解析版_02中考总复习(2026版更新中)_02-数学-中考总复习_2025中考复习资料_2025年中考数学一轮知识梳理
难点与新考法07二次函数与线段、面积、角度问题(5大热考题型)解析版_02中考总复习(2026版更新中)_02-数学-中考总复习_2025中考复习资料_2025年中考数学一轮知识梳理
难点与新考法07二次函数与线段、面积、角度问题(5大热考题型)解析版_02中考总复习(2026版更新中)_02-数学-中考总复习_2025中考复习资料_2025年中考数学一轮知识梳理
难点与新考法07二次函数与线段、面积、角度问题(5大热考题型)解析版_02中考总复习(2026版更新中)_02-数学-中考总复习_2025中考复习资料_2025年中考数学一轮知识梳理
难点与新考法07二次函数与线段、面积、角度问题(5大热考题型)解析版_02中考总复习(2026版更新中)_02-数学-中考总复习_2025中考复习资料_2025年中考数学一轮知识梳理
难点与新考法07二次函数与线段、面积、角度问题(5大热考题型)解析版_02中考总复习(2026版更新中)_02-数学-中考总复习_2025中考复习资料_2025年中考数学一轮知识梳理
难点与新考法07二次函数与线段、面积、角度问题(5大热考题型)解析版_02中考总复习(2026版更新中)_02-数学-中考总复习_2025中考复习资料_2025年中考数学一轮知识梳理
难点与新考法07二次函数与线段、面积、角度问题(5大热考题型)解析版_02中考总复习(2026版更新中)_02-数学-中考总复习_2025中考复习资料_2025年中考数学一轮知识梳理
难点与新考法07二次函数与线段、面积、角度问题(5大热考题型)解析版_02中考总复习(2026版更新中)_02-数学-中考总复习_2025中考复习资料_2025年中考数学一轮知识梳理
难点与新考法07二次函数与线段、面积、角度问题(5大热考题型)解析版_02中考总复习(2026版更新中)_02-数学-中考总复习_2025中考复习资料_2025年中考数学一轮知识梳理
难点与新考法07二次函数与线段、面积、角度问题(5大热考题型)解析版_02中考总复习(2026版更新中)_02-数学-中考总复习_2025中考复习资料_2025年中考数学一轮知识梳理
难点与新考法07二次函数与线段、面积、角度问题(5大热考题型)解析版_02中考总复习(2026版更新中)_02-数学-中考总复习_2025中考复习资料_2025年中考数学一轮知识梳理
难点与新考法07二次函数与线段、面积、角度问题(5大热考题型)解析版_02中考总复习(2026版更新中)_02-数学-中考总复习_2025中考复习资料_2025年中考数学一轮知识梳理
难点与新考法07二次函数与线段、面积、角度问题(5大热考题型)解析版_02中考总复习(2026版更新中)_02-数学-中考总复习_2025中考复习资料_2025年中考数学一轮知识梳理
难点与新考法07二次函数与线段、面积、角度问题(5大热考题型)解析版_02中考总复习(2026版更新中)_02-数学-中考总复习_2025中考复习资料_2025年中考数学一轮知识梳理
难点与新考法07二次函数与线段、面积、角度问题(5大热考题型)解析版_02中考总复习(2026版更新中)_02-数学-中考总复习_2025中考复习资料_2025年中考数学一轮知识梳理
难点与新考法07二次函数与线段、面积、角度问题(5大热考题型)解析版_02中考总复习(2026版更新中)_02-数学-中考总复习_2025中考复习资料_2025年中考数学一轮知识梳理
难点与新考法07二次函数与线段、面积、角度问题(5大热考题型)解析版_02中考总复习(2026版更新中)_02-数学-中考总复习_2025中考复习资料_2025年中考数学一轮知识梳理
难点与新考法07二次函数与线段、面积、角度问题(5大热考题型)解析版_02中考总复习(2026版更新中)_02-数学-中考总复习_2025中考复习资料_2025年中考数学一轮知识梳理
难点与新考法07二次函数与线段、面积、角度问题(5大热考题型)解析版_02中考总复习(2026版更新中)_02-数学-中考总复习_2025中考复习资料_2025年中考数学一轮知识梳理
难点与新考法07二次函数与线段、面积、角度问题(5大热考题型)解析版_02中考总复习(2026版更新中)_02-数学-中考总复习_2025中考复习资料_2025年中考数学一轮知识梳理
难点与新考法07二次函数与线段、面积、角度问题(5大热考题型)解析版_02中考总复习(2026版更新中)_02-数学-中考总复习_2025中考复习资料_2025年中考数学一轮知识梳理
难点与新考法07二次函数与线段、面积、角度问题(5大热考题型)解析版_02中考总复习(2026版更新中)_02-数学-中考总复习_2025中考复习资料_2025年中考数学一轮知识梳理
难点与新考法07二次函数与线段、面积、角度问题(5大热考题型)解析版_02中考总复习(2026版更新中)_02-数学-中考总复习_2025中考复习资料_2025年中考数学一轮知识梳理
难点与新考法07二次函数与线段、面积、角度问题(5大热考题型)解析版_02中考总复习(2026版更新中)_02-数学-中考总复习_2025中考复习资料_2025年中考数学一轮知识梳理
难点与新考法07二次函数与线段、面积、角度问题(5大热考题型)解析版_02中考总复习(2026版更新中)_02-数学-中考总复习_2025中考复习资料_2025年中考数学一轮知识梳理
难点与新考法07二次函数与线段、面积、角度问题(5大热考题型)解析版_02中考总复习(2026版更新中)_02-数学-中考总复习_2025中考复习资料_2025年中考数学一轮知识梳理
难点与新考法07二次函数与线段、面积、角度问题(5大热考题型)解析版_02中考总复习(2026版更新中)_02-数学-中考总复习_2025中考复习资料_2025年中考数学一轮知识梳理
难点与新考法07二次函数与线段、面积、角度问题(5大热考题型)解析版_02中考总复习(2026版更新中)_02-数学-中考总复习_2025中考复习资料_2025年中考数学一轮知识梳理
难点与新考法07二次函数与线段、面积、角度问题(5大热考题型)解析版_02中考总复习(2026版更新中)_02-数学-中考总复习_2025中考复习资料_2025年中考数学一轮知识梳理
难点与新考法07二次函数与线段、面积、角度问题(5大热考题型)解析版_02中考总复习(2026版更新中)_02-数学-中考总复习_2025中考复习资料_2025年中考数学一轮知识梳理
难点与新考法07二次函数与线段、面积、角度问题(5大热考题型)解析版_02中考总复习(2026版更新中)_02-数学-中考总复习_2025中考复习资料_2025年中考数学一轮知识梳理
难点与新考法07二次函数与线段、面积、角度问题(5大热考题型)解析版_02中考总复习(2026版更新中)_02-数学-中考总复习_2025中考复习资料_2025年中考数学一轮知识梳理
难点与新考法07二次函数与线段、面积、角度问题(5大热考题型)解析版_02中考总复习(2026版更新中)_02-数学-中考总复习_2025中考复习资料_2025年中考数学一轮知识梳理
难点与新考法07二次函数与线段、面积、角度问题(5大热考题型)解析版_02中考总复习(2026版更新中)_02-数学-中考总复习_2025中考复习资料_2025年中考数学一轮知识梳理
难点与新考法07二次函数与线段、面积、角度问题(5大热考题型)解析版_02中考总复习(2026版更新中)_02-数学-中考总复习_2025中考复习资料_2025年中考数学一轮知识梳理
难点与新考法07二次函数与线段、面积、角度问题(5大热考题型)解析版_02中考总复习(2026版更新中)_02-数学-中考总复习_2025中考复习资料_2025年中考数学一轮知识梳理
难点与新考法07二次函数与线段、面积、角度问题(5大热考题型)解析版_02中考总复习(2026版更新中)_02-数学-中考总复习_2025中考复习资料_2025年中考数学一轮知识梳理
难点与新考法07二次函数与线段、面积、角度问题(5大热考题型)解析版_02中考总复习(2026版更新中)_02-数学-中考总复习_2025中考复习资料_2025年中考数学一轮知识梳理
难点与新考法07二次函数与线段、面积、角度问题(5大热考题型)解析版_02中考总复习(2026版更新中)_02-数学-中考总复习_2025中考复习资料_2025年中考数学一轮知识梳理
难点与新考法07二次函数与线段、面积、角度问题(5大热考题型)解析版_02中考总复习(2026版更新中)_02-数学-中考总复习_2025中考复习资料_2025年中考数学一轮知识梳理
难点与新考法07二次函数与线段、面积、角度问题(5大热考题型)解析版_02中考总复习(2026版更新中)_02-数学-中考总复习_2025中考复习资料_2025年中考数学一轮知识梳理
难点与新考法07二次函数与线段、面积、角度问题(5大热考题型)解析版_02中考总复习(2026版更新中)_02-数学-中考总复习_2025中考复习资料_2025年中考数学一轮知识梳理
难点与新考法07二次函数与线段、面积、角度问题(5大热考题型)解析版_02中考总复习(2026版更新中)_02-数学-中考总复习_2025中考复习资料_2025年中考数学一轮知识梳理
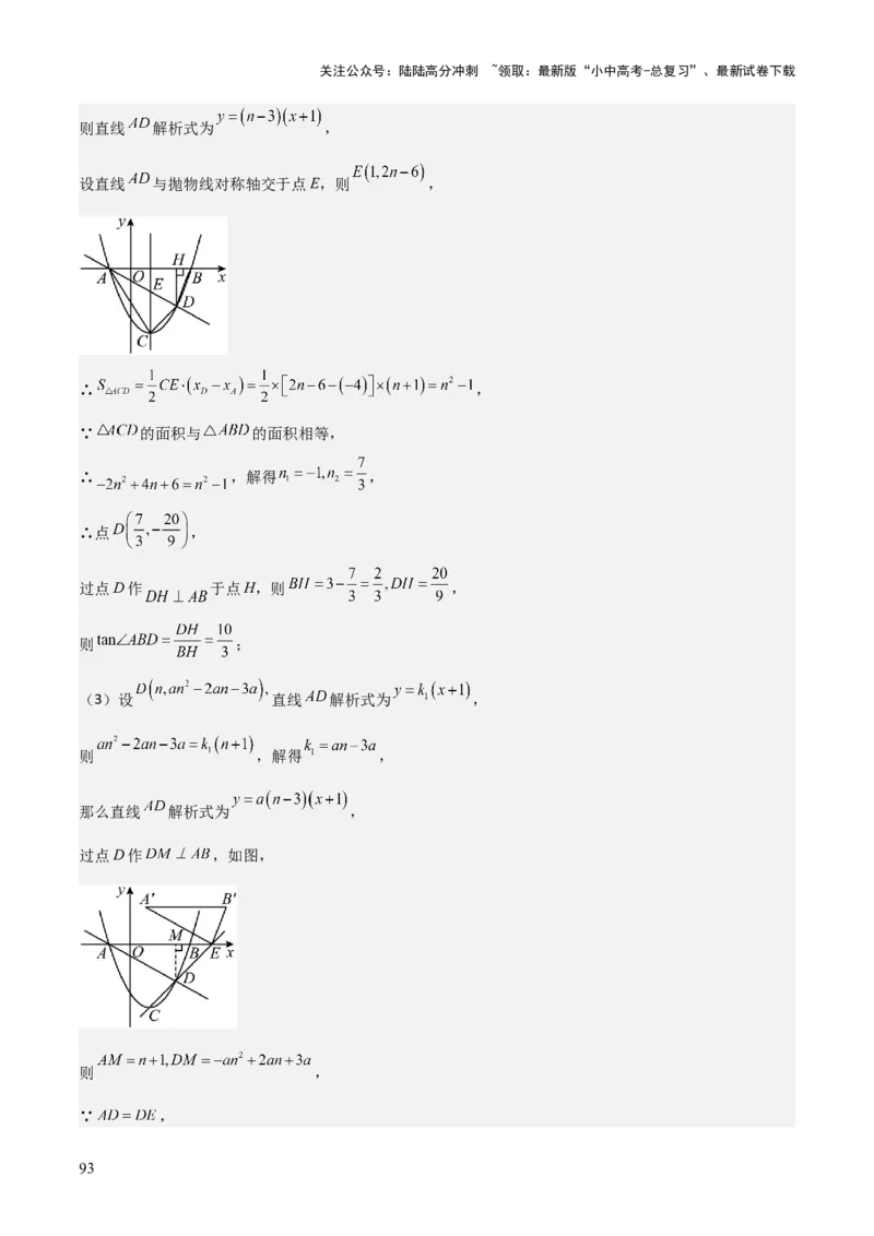
难点与新考法07二次函数与线段、面积、角度问题(5大热考题型)解析版_02中考总复习(2026版更新中)_02-数学-中考总复习_2025中考复习资料_2025年中考数学一轮知识梳理
难点与新考法07二次函数与线段、面积、角度问题(5大热考题型)解析版_02中考总复习(2026版更新中)_02-数学-中考总复习_2025中考复习资料_2025年中考数学一轮知识梳理
难点与新考法07二次函数与线段、面积、角度问题(5大热考题型)解析版_02中考总复习(2026版更新中)_02-数学-中考总复习_2025中考复习资料_2025年中考数学一轮知识梳理
难点与新考法07二次函数与线段、面积、角度问题(5大热考题型)解析版_02中考总复习(2026版更新中)_02-数学-中考总复习_2025中考复习资料_2025年中考数学一轮知识梳理
难点与新考法07二次函数与线段、面积、角度问题(5大热考题型)解析版_02中考总复习(2026版更新中)_02-数学-中考总复习_2025中考复习资料_2025年中考数学一轮知识梳理
难点与新考法07二次函数与线段、面积、角度问题(5大热考题型)解析版_02中考总复习(2026版更新中)_02-数学-中考总复习_2025中考复习资料_2025年中考数学一轮知识梳理
难点与新考法07二次函数与线段、面积、角度问题(5大热考题型)解析版_02中考总复习(2026版更新中)_02-数学-中考总复习_2025中考复习资料_2025年中考数学一轮知识梳理
难点与新考法07二次函数与线段、面积、角度问题(5大热考题型)解析版_02中考总复习(2026版更新中)_02-数学-中考总复习_2025中考复习资料_2025年中考数学一轮知识梳理
难点与新考法07二次函数与线段、面积、角度问题(5大热考题型)解析版_02中考总复习(2026版更新中)_02-数学-中考总复习_2025中考复习资料_2025年中考数学一轮知识梳理
难点与新考法07二次函数与线段、面积、角度问题(5大热考题型)解析版_02中考总复习(2026版更新中)_02-数学-中考总复习_2025中考复习资料_2025年中考数学一轮知识梳理
难点与新考法07二次函数与线段、面积、角度问题(5大热考题型)解析版_02中考总复习(2026版更新中)_02-数学-中考总复习_2025中考复习资料_2025年中考数学一轮知识梳理
难点与新考法07二次函数与线段、面积、角度问题(5大热考题型)解析版_02中考总复习(2026版更新中)_02-数学-中考总复习_2025中考复习资料_2025年中考数学一轮知识梳理
难点与新考法07二次函数与线段、面积、角度问题(5大热考题型)解析版_02中考总复习(2026版更新中)_02-数学-中考总复习_2025中考复习资料_2025年中考数学一轮知识梳理
难点与新考法07二次函数与线段、面积、角度问题(5大热考题型)解析版_02中考总复习(2026版更新中)_02-数学-中考总复习_2025中考复习资料_2025年中考数学一轮知识梳理
难点与新考法07二次函数与线段、面积、角度问题(5大热考题型)解析版_02中考总复习(2026版更新中)_02-数学-中考总复习_2025中考复习资料_2025年中考数学一轮知识梳理
难点与新考法07二次函数与线段、面积、角度问题(5大热考题型)解析版_02中考总复习(2026版更新中)_02-数学-中考总复习_2025中考复习资料_2025年中考数学一轮知识梳理
难点与新考法07二次函数与线段、面积、角度问题(5大热考题型)解析版_02中考总复习(2026版更新中)_02-数学-中考总复习_2025中考复习资料_2025年中考数学一轮知识梳理
难点与新考法07二次函数与线段、面积、角度问题(5大热考题型)解析版_02中考总复习(2026版更新中)_02-数学-中考总复习_2025中考复习资料_2025年中考数学一轮知识梳理
难点与新考法07二次函数与线段、面积、角度问题(5大热考题型)解析版_02中考总复习(2026版更新中)_02-数学-中考总复习_2025中考复习资料_2025年中考数学一轮知识梳理
难点与新考法07二次函数与线段、面积、角度问题(5大热考题型)解析版_02中考总复习(2026版更新中)_02-数学-中考总复习_2025中考复习资料_2025年中考数学一轮知识梳理
难点与新考法07二次函数与线段、面积、角度问题(5大热考题型)解析版_02中考总复习(2026版更新中)_02-数学-中考总复习_2025中考复习资料_2025年中考数学一轮知识梳理
难点与新考法07二次函数与线段、面积、角度问题(5大热考题型)解析版_02中考总复习(2026版更新中)_02-数学-中考总复习_2025中考复习资料_2025年中考数学一轮知识梳理
难点与新考法07二次函数与线段、面积、角度问题(5大热考题型)解析版_02中考总复习(2026版更新中)_02-数学-中考总复习_2025中考复习资料_2025年中考数学一轮知识梳理
难点与新考法07二次函数与线段、面积、角度问题(5大热考题型)解析版_02中考总复习(2026版更新中)_02-数学-中考总复习_2025中考复习资料_2025年中考数学一轮知识梳理
难点与新考法07二次函数与线段、面积、角度问题(5大热考题型)解析版_02中考总复习(2026版更新中)_02-数学-中考总复习_2025中考复习资料_2025年中考数学一轮知识梳理
难点与新考法07二次函数与线段、面积、角度问题(5大热考题型)解析版_02中考总复习(2026版更新中)_02-数学-中考总复习_2025中考复习资料_2025年中考数学一轮知识梳理
难点与新考法07二次函数与线段、面积、角度问题(5大热考题型)解析版_02中考总复习(2026版更新中)_02-数学-中考总复习_2025中考复习资料_2025年中考数学一轮知识梳理
难点与新考法07二次函数与线段、面积、角度问题(5大热考题型)解析版_02中考总复习(2026版更新中)_02-数学-中考总复习_2025中考复习资料_2025年中考数学一轮知识梳理
难点与新考法07二次函数与线段、面积、角度问题(5大热考题型)解析版_02中考总复习(2026版更新中)_02-数学-中考总复习_2025中考复习资料_2025年中考数学一轮知识梳理
难点与新考法07二次函数与线段、面积、角度问题(5大热考题型)解析版_02中考总复习(2026版更新中)_02-数学-中考总复习_2025中考复习资料_2025年中考数学一轮知识梳理
难点与新考法07二次函数与线段、面积、角度问题(5大热考题型)解析版_02中考总复习(2026版更新中)_02-数学-中考总复习_2025中考复习资料_2025年中考数学一轮知识梳理
难点与新考法07二次函数与线段、面积、角度问题(5大热考题型)解析版_02中考总复习(2026版更新中)_02-数学-中考总复习_2025中考复习资料_2025年中考数学一轮知识梳理
难点与新考法07二次函数与线段、面积、角度问题(5大热考题型)解析版_02中考总复习(2026版更新中)_02-数学-中考总复习_2025中考复习资料_2025年中考数学一轮知识梳理
难点与新考法07二次函数与线段、面积、角度问题(5大热考题型)解析版_02中考总复习(2026版更新中)_02-数学-中考总复习_2025中考复习资料_2025年中考数学一轮知识梳理
难点与新考法07二次函数与线段、面积、角度问题(5大热考题型)解析版_02中考总复习(2026版更新中)_02-数学-中考总复习_2025中考复习资料_2025年中考数学一轮知识梳理
难点与新考法07二次函数与线段、面积、角度问题(5大热考题型)解析版_02中考总复习(2026版更新中)_02-数学-中考总复习_2025中考复习资料_2025年中考数学一轮知识梳理
难点与新考法07二次函数与线段、面积、角度问题(5大热考题型)解析版_02中考总复习(2026版更新中)_02-数学-中考总复习_2025中考复习资料_2025年中考数学一轮知识梳理
难点与新考法07二次函数与线段、面积、角度问题(5大热考题型)解析版_02中考总复习(2026版更新中)_02-数学-中考总复习_2025中考复习资料_2025年中考数学一轮知识梳理
难点与新考法07二次函数与线段、面积、角度问题(5大热考题型)解析版_02中考总复习(2026版更新中)_02-数学-中考总复习_2025中考复习资料_2025年中考数学一轮知识梳理
难点与新考法07二次函数与线段、面积、角度问题(5大热考题型)解析版_02中考总复习(2026版更新中)_02-数学-中考总复习_2025中考复习资料_2025年中考数学一轮知识梳理
难点与新考法07二次函数与线段、面积、角度问题(5大热考题型)解析版_02中考总复习(2026版更新中)_02-数学-中考总复习_2025中考复习资料_2025年中考数学一轮知识梳理
难点与新考法07二次函数与线段、面积、角度问题(5大热考题型)解析版_02中考总复习(2026版更新中)_02-数学-中考总复习_2025中考复习资料_2025年中考数学一轮知识梳理
难点与新考法07二次函数与线段、面积、角度问题(5大热考题型)解析版_02中考总复习(2026版更新中)_02-数学-中考总复习_2025中考复习资料_2025年中考数学一轮知识梳理
难点与新考法07二次函数与线段、面积、角度问题(5大热考题型)解析版_02中考总复习(2026版更新中)_02-数学-中考总复习_2025中考复习资料_2025年中考数学一轮知识梳理
难点与新考法07二次函数与线段、面积、角度问题(5大热考题型)解析版_02中考总复习(2026版更新中)_02-数学-中考总复习_2025中考复习资料_2025年中考数学一轮知识梳理
难点与新考法07二次函数与线段、面积、角度问题(5大热考题型)解析版_02中考总复习(2026版更新中)_02-数学-中考总复习_2025中考复习资料_2025年中考数学一轮知识梳理
难点与新考法07二次函数与线段、面积、角度问题(5大热考题型)解析版_02中考总复习(2026版更新中)_02-数学-中考总复习_2025中考复习资料_2025年中考数学一轮知识梳理
难点与新考法07二次函数与线段、面积、角度问题(5大热考题型)解析版_02中考总复习(2026版更新中)_02-数学-中考总复习_2025中考复习资料_2025年中考数学一轮知识梳理
难点与新考法07二次函数与线段、面积、角度问题(5大热考题型)解析版_02中考总复习(2026版更新中)_02-数学-中考总复习_2025中考复习资料_2025年中考数学一轮知识梳理
难点与新考法07二次函数与线段、面积、角度问题(5大热考题型)解析版_02中考总复习(2026版更新中)_02-数学-中考总复习_2025中考复习资料_2025年中考数学一轮知识梳理
难点与新考法07二次函数与线段、面积、角度问题(5大热考题型)解析版_02中考总复习(2026版更新中)_02-数学-中考总复习_2025中考复习资料_2025年中考数学一轮知识梳理
难点与新考法07二次函数与线段、面积、角度问题(5大热考题型)解析版_02中考总复习(2026版更新中)_02-数学-中考总复习_2025中考复习资料_2025年中考数学一轮知识梳理
难点与新考法07二次函数与线段、面积、角度问题(5大热考题型)解析版_02中考总复习(2026版更新中)_02-数学-中考总复习_2025中考复习资料_2025年中考数学一轮知识梳理
难点与新考法07二次函数与线段、面积、角度问题(5大热考题型)解析版_02中考总复习(2026版更新中)_02-数学-中考总复习_2025中考复习资料_2025年中考数学一轮知识梳理
难点与新考法07二次函数与线段、面积、角度问题(5大热考题型)解析版_02中考总复习(2026版更新中)_02-数学-中考总复习_2025中考复习资料_2025年中考数学一轮知识梳理
难点与新考法07二次函数与线段、面积、角度问题(5大热考题型)解析版_02中考总复习(2026版更新中)_02-数学-中考总复习_2025中考复习资料_2025年中考数学一轮知识梳理
难点与新考法07二次函数与线段、面积、角度问题(5大热考题型)解析版_02中考总复习(2026版更新中)_02-数学-中考总复习_2025中考复习资料_2025年中考数学一轮知识梳理
难点与新考法07二次函数与线段、面积、角度问题(5大热考题型)解析版_02中考总复习(2026版更新中)_02-数学-中考总复习_2025中考复习资料_2025年中考数学一轮知识梳理
难点与新考法07二次函数与线段、面积、角度问题(5大热考题型)解析版_02中考总复习(2026版更新中)_02-数学-中考总复习_2025中考复习资料_2025年中考数学一轮知识梳理
难点与新考法07二次函数与线段、面积、角度问题(5大热考题型)解析版_02中考总复习(2026版更新中)_02-数学-中考总复习_2025中考复习资料_2025年中考数学一轮知识梳理
难点与新考法07二次函数与线段、面积、角度问题(5大热考题型)解析版_02中考总复习(2026版更新中)_02-数学-中考总复习_2025中考复习资料_2025年中考数学一轮知识梳理
难点与新考法07二次函数与线段、面积、角度问题(5大热考题型)解析版_02中考总复习(2026版更新中)_02-数学-中考总复习_2025中考复习资料_2025年中考数学一轮知识梳理
难点与新考法07二次函数与线段、面积、角度问题(5大热考题型)解析版_02中考总复习(2026版更新中)_02-数学-中考总复习_2025中考复习资料_2025年中考数学一轮知识梳理
难点与新考法07二次函数与线段、面积、角度问题(5大热考题型)解析版_02中考总复习(2026版更新中)_02-数学-中考总复习_2025中考复习资料_2025年中考数学一轮知识梳理
难点与新考法07二次函数与线段、面积、角度问题(5大热考题型)解析版_02中考总复习(2026版更新中)_02-数学-中考总复习_2025中考复习资料_2025年中考数学一轮知识梳理
难点与新考法07二次函数与线段、面积、角度问题(5大热考题型)解析版_02中考总复习(2026版更新中)_02-数学-中考总复习_2025中考复习资料_2025年中考数学一轮知识梳理
难点与新考法07二次函数与线段、面积、角度问题(5大热考题型)解析版_02中考总复习(2026版更新中)_02-数学-中考总复习_2025中考复习资料_2025年中考数学一轮知识梳理
难点与新考法07二次函数与线段、面积、角度问题(5大热考题型)解析版_02中考总复习(2026版更新中)_02-数学-中考总复习_2025中考复习资料_2025年中考数学一轮知识梳理
难点与新考法07二次函数与线段、面积、角度问题(5大热考题型)解析版_02中考总复习(2026版更新中)_02-数学-中考总复习_2025中考复习资料_2025年中考数学一轮知识梳理
难点与新考法07二次函数与线段、面积、角度问题(5大热考题型)解析版_02中考总复习(2026版更新中)_02-数学-中考总复习_2025中考复习资料_2025年中考数学一轮知识梳理
难点与新考法07二次函数与线段、面积、角度问题(5大热考题型)解析版_02中考总复习(2026版更新中)_02-数学-中考总复习_2025中考复习资料_2025年中考数学一轮知识梳理
难点与新考法07二次函数与线段、面积、角度问题(5大热考题型)解析版_02中考总复习(2026版更新中)_02-数学-中考总复习_2025中考复习资料_2025年中考数学一轮知识梳理
难点与新考法07二次函数与线段、面积、角度问题(5大热考题型)解析版_02中考总复习(2026版更新中)_02-数学-中考总复习_2025中考复习资料_2025年中考数学一轮知识梳理
难点与新考法07二次函数与线段、面积、角度问题(5大热考题型)解析版_02中考总复习(2026版更新中)_02-数学-中考总复习_2025中考复习资料_2025年中考数学一轮知识梳理
难点与新考法07二次函数与线段、面积、角度问题(5大热考题型)解析版_02中考总复习(2026版更新中)_02-数学-中考总复习_2025中考复习资料_2025年中考数学一轮知识梳理
难点与新考法07二次函数与线段、面积、角度问题(5大热考题型)解析版_02中考总复习(2026版更新中)_02-数学-中考总复习_2025中考复习资料_2025年中考数学一轮知识梳理
难点与新考法07二次函数与线段、面积、角度问题(5大热考题型)解析版_02中考总复习(2026版更新中)_02-数学-中考总复习_2025中考复习资料_2025年中考数学一轮知识梳理
难点与新考法07二次函数与线段、面积、角度问题(5大热考题型)解析版_02中考总复习(2026版更新中)_02-数学-中考总复习_2025中考复习资料_2025年中考数学一轮知识梳理
难点与新考法07二次函数与线段、面积、角度问题(5大热考题型)解析版_02中考总复习(2026版更新中)_02-数学-中考总复习_2025中考复习资料_2025年中考数学一轮知识梳理
难点与新考法07二次函数与线段、面积、角度问题(5大热考题型)解析版_02中考总复习(2026版更新中)_02-数学-中考总复习_2025中考复习资料_2025年中考数学一轮知识梳理
难点与新考法07二次函数与线段、面积、角度问题(5大热考题型)解析版_02中考总复习(2026版更新中)_02-数学-中考总复习_2025中考复习资料_2025年中考数学一轮知识梳理
难点与新考法07二次函数与线段、面积、角度问题(5大热考题型)解析版_02中考总复习(2026版更新中)_02-数学-中考总复习_2025中考复习资料_2025年中考数学一轮知识梳理
难点与新考法07二次函数与线段、面积、角度问题(5大热考题型)解析版_02中考总复习(2026版更新中)_02-数学-中考总复习_2025中考复习资料_2025年中考数学一轮知识梳理
难点与新考法07二次函数与线段、面积、角度问题(5大热考题型)解析版_02中考总复习(2026版更新中)_02-数学-中考总复习_2025中考复习资料_2025年中考数学一轮知识梳理
难点与新考法07二次函数与线段、面积、角度问题(5大热考题型)解析版_02中考总复习(2026版更新中)_02-数学-中考总复习_2025中考复习资料_2025年中考数学一轮知识梳理
难点与新考法07二次函数与线段、面积、角度问题(5大热考题型)解析版_02中考总复习(2026版更新中)_02-数学-中考总复习_2025中考复习资料_2025年中考数学一轮知识梳理
难点与新考法07二次函数与线段、面积、角度问题(5大热考题型)解析版_02中考总复习(2026版更新中)_02-数学-中考总复习_2025中考复习资料_2025年中考数学一轮知识梳理
难点与新考法07二次函数与线段、面积、角度问题(5大热考题型)解析版_02中考总复习(2026版更新中)_02-数学-中考总复习_2025中考复习资料_2025年中考数学一轮知识梳理
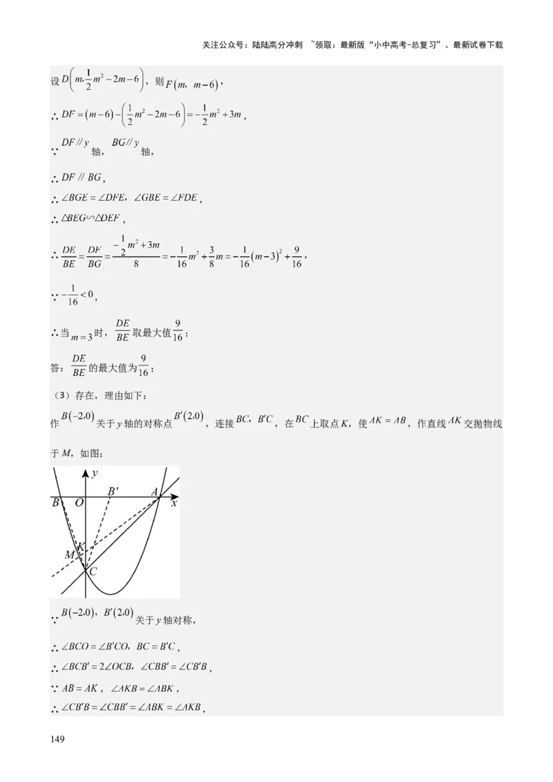
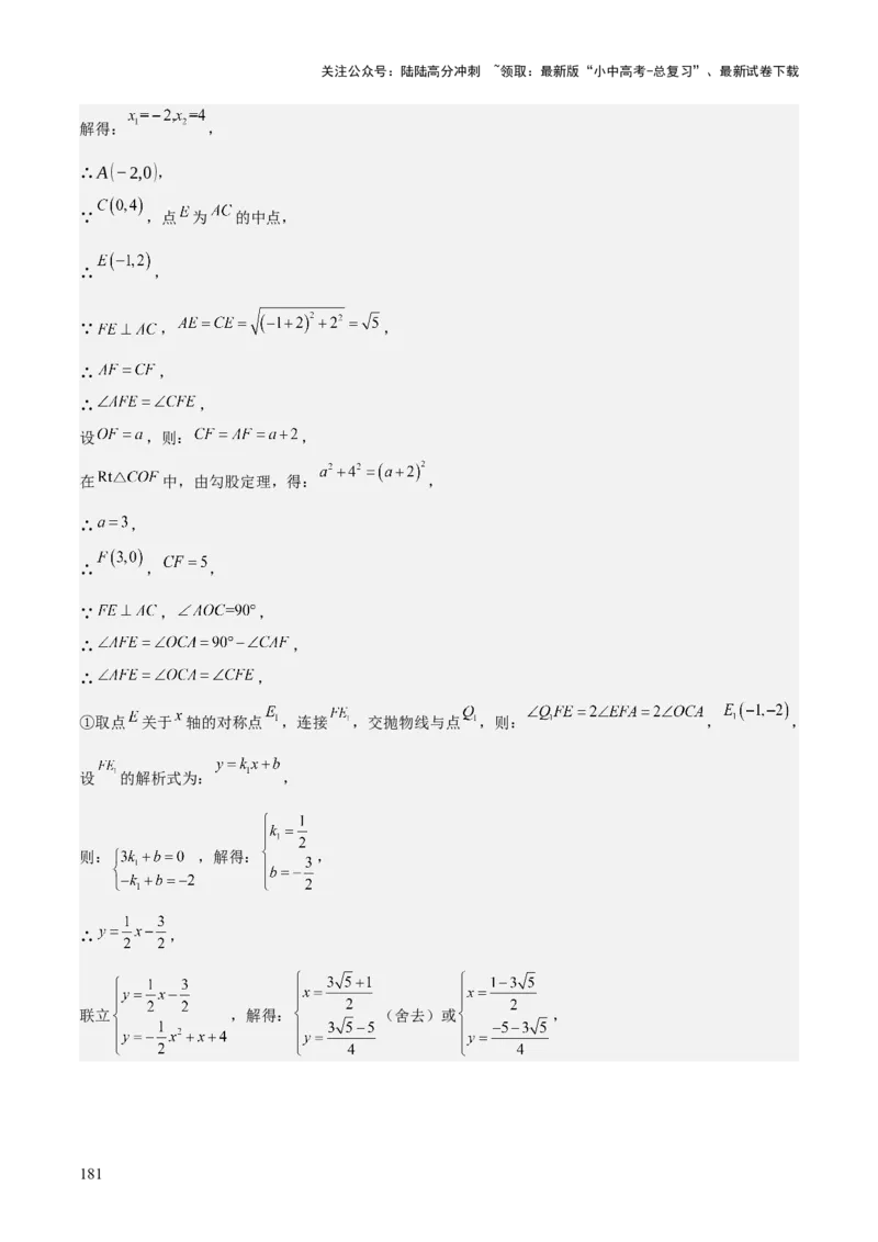
难点与新考法07二次函数与线段、面积、角度问题(5大热考题型)解析版_02中考总复习(2026版更新中)_02-数学-中考总复习_2025中考复习资料_2025年中考数学一轮知识梳理
难点与新考法07二次函数与线段、面积、角度问题(5大热考题型)解析版_02中考总复习(2026版更新中)_02-数学-中考总复习_2025中考复习资料_2025年中考数学一轮知识梳理
难点与新考法07二次函数与线段、面积、角度问题(5大热考题型)解析版_02中考总复习(2026版更新中)_02-数学-中考总复习_2025中考复习资料_2025年中考数学一轮知识梳理
难点与新考法07二次函数与线段、面积、角度问题(5大热考题型)解析版_02中考总复习(2026版更新中)_02-数学-中考总复习_2025中考复习资料_2025年中考数学一轮知识梳理
难点与新考法07二次函数与线段、面积、角度问题(5大热考题型)解析版_02中考总复习(2026版更新中)_02-数学-中考总复习_2025中考复习资料_2025年中考数学一轮知识梳理
难点与新考法07二次函数与线段、面积、角度问题(5大热考题型)解析版_02中考总复习(2026版更新中)_02-数学-中考总复习_2025中考复习资料_2025年中考数学一轮知识梳理

文档信息

文档格式
docx
文档大小
10.525 MB
文档页数
183 页
上传时间
2026-03-12 23:30:27

文档内容

关注公众号:陆陆高分冲刺 ~领取:最新版“小中高考-总复习”、最新试卷下载 难点与新考法 07 二次函数与线段、面积、角度问题(5 大热考题型) 题型一:抛物线与动直线交点问题 题型二:抛物线与动线段交点问题 题型三:二次函数与线段问题 题型四:二次函数与面积问题 题型五:二次函数与角度问题 题型一:抛物线与动直线交点问题 将二次函数和一次函数表达式联立,得到一元二次方程,根据一元二次方程根的判别式的值与0的大小关系来 判断抛物线与直线的交点情况 b2-4ac>0 ↔抛物线与直线有两个交点; b2-4ac=0 ↔抛物线与直线有一个交点: b2-4ac<0 ↔抛物线与直线没有交点 【中考母题学方法】 【典例1】(2024·河南开封·二模)已知二次函数 的图象经过点 和 ,与 轴的 另一个交点为 ,与 轴交于点 . (1)求二次函数的表达式及顶点坐标; (2)将二次函数 的图象在点 , 之间的部分(包含点 , )记为图象 .已知直线 : 1关注公众号:陆陆高分冲刺 ~领取:最新版“小中高考-总复习”、最新试卷下载 恒过点(2,3),当直线 与图象 有两个公共点时,请直接写出 的取值范围; (3)在第(2)题的条件下, 取最大值时,将直线 向下平移,交抛物线于点P(x ,y )和点Q(x ,y ),交 1 1 2 2 线段 于点 ,结合函数的图象,求 的取值范围. 【答案】(1)二次函数的表达式为 ,顶点坐标 (2) (3) 【分析】(1)利用待定系数法求得函数解析式,然后利用配方法将二次函数解析式转化为顶点式,直接 得到抛物线的顶点坐标; (2)二次函数 的图象在点 , 之间的部分(包含点 , )记为图象 ,求出点C的坐 标,再根据直线 : 与图象 有两个公共点,当直线 : 过点C,且在点C的下 方和过点D在点D的下方时,直线 : 与图象 有两个公共点,将点求出据此判断 的范围; (3)先求出点B的坐标,可得 ,根据 ,则直线 为: ,易得 轴,由二次函数 的对称轴是直线 ,推出 ,故 . 【详解】(1)解:根据题意得: ,即 , 解得: , 二次函数的表达式为 . , 2关注公众号:陆陆高分冲刺 ~领取:最新版“小中高考-总复习”、最新试卷下载 顶点坐标为 ; (2)解: , , 直线 恒过定点(2,3), . 如图,当直线 : 过点C,且在点C的下方和过点D在点D的下方时,直线 : 与图象 有两个公共点, 当直线 经过点C时, 轴, , 当直线 经过点 时,与y轴交于点E, 根据题意得: , 解得: , , 3关注公众号:陆陆高分冲刺 ~领取:最新版“小中高考-总复习”、最新试卷下载 时,直线 : 与图象 有两个公共点; (3)解:令 ,则 或 , 根据题意得: , , 如图, 由题意 ,则直线 为: , 轴, 二次函数 的对称轴是直线 , . . 【点睛】本题考查了二次函数综合题,利用待定系数法求二次函数解析式,一次函数图象的几何变换,一 次函数与二次函数交点问题.解题时,利用了“数形结合”的数学思想,使抽象的问题变得直观化是解题 的关键. 【中考模拟即学即练】 1.(2024·江苏南京·三模)两个函数交点的横坐标可视为两个函数联立后方程的根,例如函数 的 4关注公众号:陆陆高分冲刺 ~领取:最新版“小中高考-总复习”、最新试卷下载 图像与函数 的图像交点的横坐标可视为方程 的根. (1)函数 的图像与函数 的图像有两个不同交点,求 取值范围. (2)已知二次函数 ( 为常数). ①设直线 与抛物线 有两个不同交点,求 取值范围. ②已知点 ,若抛物线 与线段 只有一个公共点,请直接写出 的取值 范围. 【答案】(1)任意值 (2)① 或 ;② 或 【分析】本题主要考查了一次函数与反比例函数交点问题、一次函数与二次函数交点问题、二次函数的图 像与性质等知识,解题关键是运用数形结合的思想分析问题. (1)联立函数解析式 与函数解析式 ,可得关于 的一元二次方程 ,结合一元二 次方程的根的判别式,即可获得答案; (2)①联立直线解析式 与抛物线解析式 ,可得关于 的一元二次方程 ,结合一元二次方程的根的判别式可得 ,然后根据函数 的图像与性质,即可获得答案; ②联立抛物线解析式 与 ,可得关于 的一元二次方程 ,解该方程可得 , ,结合抛物线 与线段 只有一个公共点,易得 或 ,求 解即可获得答案. 【详解】(1)解:联立函数解析式 与函数解析式 , 可得 ,整理可得 , 5关注公众号:陆陆高分冲刺 ~领取:最新版“小中高考-总复习”、最新试卷下载 ∵ , ∴方程 有两个不相等的实数根, 即无论 取何值,均有函数 的图像与函数 的图像有两个不同交点, ∴ 取值范围为任意值; (2)①联立直线解析式 与抛物线解析式 , 可得 ,整理可得 , ∵ , 令 ,解得 , , 对于函数 , ∵ , ∴该函数图像开口向上, ∴当 或 时,可有 , ∴若直线 与抛物线 有两个不同交点, 则 取值范围为 或 ; ②联立抛物线解析式 与 , 可得 ,整理可得 , 解得 , , ∵抛物线 与线段 只有一个公共点, ∴可有 或 , 解得 或 . 2.(2024·江苏南通·一模)已知抛物线 (m,n为常数, )与x轴交于A,B两点 (点A在点B的左侧),与y轴交点C,顶点为D, . 6关注公众号:陆陆高分冲刺 ~领取:最新版“小中高考-总复习”、最新试卷下载 (1)求 的值; (2)如图,连接 交 于点 ,求证: ; (3)设M是x轴下方抛物线上的动点(不与C重合),过点M作 轴,交直线 于点N.由线段 长的不同取值,试探究符合条件的点M的个数. 【答案】(1) (2)见解析 (3)当 时,符合条件的点M有3个;当 时,符合条件的点M有2个;当 时, 符合条件的点M有1个 【分析】本题主要考查了二次函数的图象和性质,相似三角形的判定和性质. (1)由 ,则 ,得到 ,即可求解; (2)证明 ,则 ,即可求解; (3)求出 ,由题意知 且 .结合图象,即可求解. 【详解】(1)解:由抛物线的表达式知,其对称轴为直线 , , 则 . , 将 代入 得: . ; (2)证明:由(1)得 , 7关注公众号:陆陆高分冲刺 ~领取:最新版“小中高考-总复习”、最新试卷下载 . , . 过 作 轴交 延长线于点 , 设直线 为 ,则 ,即 , 直线 为 . 令 ,则 ,即 , 点F横坐标为1, . ∵ 轴, ,则 , ; (3)解:直线 为 . 设 的坐标为 , 则 的坐标为 , . 8关注公众号:陆陆高分冲刺 ~领取:最新版“小中高考-总复习”、最新试卷下载 由题意知 且 . 结合图象, 当 时,符合条件的点 有3个; 当 时,符合条件的点 有2个; 当 时,符合条件的点 有1个. 3.(2024·江苏无锡·一模)已知二次函数 的图象交 轴于 , 两点,交 轴于点 .一次 函数 的图象经过点 , . (1)求二次函数的解析式; (2)若二次函数 的图象与平行于 轴的直线 始终有两个交点 , (点 在点 的左侧), 为该抛物线上异于 , 的一点,点 , 的横坐标分别为 , .当 的值发生变化时, 的 度数是否也发生变化?若变化,请求出 度数的范围;若不变,请说明理由; (3)过点 的直线交直线 于点 ,连接 ,当直线 与直线 的夹角等于 的2倍时,求出 点 的坐标. 【答案】(1) (2)不变,理由见解析 (3) 或 【分析】(1)用待定系数法求函数的解析式即可; (2)分别求出 , , ,过点 作 交于 点,则 , 9关注公众号:陆陆高分冲刺 ~领取:最新版“小中高考-总复习”、最新试卷下载 ,可得 ,从而得到 ; (3)设 ,由题意可得 ,能求出 ;过点 作 交于 点, 交 轴于 点,则直线 的解析式为 ,从而求出 , 点关于 点的对称点为 ,即为另一个 点. 【详解】(1)解:当 时, , , 当 时, , , 将点 、 代入 , ,解得 , 抛物线的解析式为 ; (2)解: 的度数不发生改变,理由如下: 点 , 的横坐标分别为 , , , , 抛物线的对称轴为直线 , , 10关注公众号:陆陆高分冲刺 ~领取:最新版“小中高考-总复习”、最新试卷下载 过点 作 交于 点,如图所示: , , , , ; (3)解:当 时,解得 或 , , 设 , , , ,解得 , ,; 过点 作 交于 点,交 轴于 点,如图所示: 11关注公众号:陆陆高分冲刺 ~领取:最新版“小中高考-总复习”、最新试卷下载 , , , , 直线 的解析式为 , 当 时,解得 , , 点关于 点的对称点为 ; 点坐标为 ,或 . 【点睛】本题考查二次函数的图象及性质,熟练掌握二次函数的图象及性质,三角函数值的取值范围,等 腰三角形的性质是解题的关键. 4.(2024·广东广州·二模)已知二次函数 的图象为抛物线C,一次函数 的图象为直线l. (1)求抛物线C的顶点坐标(用含m的式子表示); (2)若直线l与抛物线C有唯一交点,且该交点在x轴上,求k的值; (3)当 时,直线l与x轴交于点A,与y轴交于点B,过点B作垂直于y轴的直线与抛物线C有两个交 点,其中在抛物线对称轴左侧的交点记为点P,当 为钝角三角形时,求m的取值范围. 12关注公众号:陆陆高分冲刺 ~领取:最新版“小中高考-总复习”、最新试卷下载 【答案】(1) (2)k的值为2或 (3) 或 时, 为钝角三角形 【分析】(1)将解析式化为顶点式即可求解; (2)由题意可知两个函数与x轴的交点重合,即可求出m与k的关系式,再联立两个方程,由 即可 求k的值; (3)分别求出当 为直角三角形时m的值,以此为界点,确定 为钝角三角形时m的取值范围即 可. 【详解】(1)解: ∴顶点坐标为 ; (2)解:根据题意得: 与x轴交点 , ∵直线l与抛物线C有唯一交点,且该交点在x轴上, 令 ,则 , 解得: 或 , 联立: , 整理得: , ∴ , 当 时, ,即 , , 当 时, ,即 , , 综上,k的值为2或 ; 13关注公众号:陆陆高分冲刺 ~领取:最新版“小中高考-总复习”、最新试卷下载 (3)解:当 时,直线解析式为 , 令 ,则 , 令 ,则 , 解得 , ∴ , 令 , ∴ 或 , ∵在抛物线对称轴左侧的点记为P, ∴ , 当 时,此时 ,此时 是直角三角形, 当 时,即 ,此时 为钝角三角形; 当 时, ,此时 是直角三角形; 当 时,即 ,此时 为钝角三角形; ∵ , ,点 到x轴的距离为3, ∴P点在以 为直径的圆外或圆上, ∴ 始终为锐角或直角; 综上所述:当 或 时, 为钝角三角形. 【点睛】本题考查二次函数与一次函数的交点问题,二次函数的图象及性质,熟练掌握二次函数的图象及 性质,直角三角形的性质是解题的关键. 题型二:抛物线与动线段交点问题 1.动线段在x轴上(点C在点D左侧) 交点情况 无交点 有一个交点 有两个交点 14关注公众号:陆陆高分冲刺 ~领取:最新版“小中高考-总复习”、最新试卷下载 图示 满足条件 动线段CD在点A左侧或 点D(或点C)在AB之间 点C在点A左侧且点D在点B 在点B右侧 右侧 2.动线段在直线上(点 C在点 D上方) 交点情况 无交点 有一个交点 有两个交点 图示 满足条件 点D在点A上方或点C 点D(或点C)在AB之间 点C在点A上方且点D在 在点B下方 点B下方 3.动线段一端点在直线上(点C在直线上,且在点D右侧) 交点情况 无交点 有一个交点 有两个交点 图示 满足条件 点C在点A下方或点C在 点C在点A或CD经过点M 点C在点B处或点C在点B 点M上方 处或点C在点A上方且在 上方且在点M下方 点B下方 【中考母题学方法】 【典例2】(2024·四川乐山·中考真题)在平面直角坐标系 中,我们称横坐标、纵坐标都为整数的点为 “完美点”.抛物线 (a为常数且 )与y轴交于点A. 15关注公众号:陆陆高分冲刺 ~领取:最新版“小中高考-总复习”、最新试卷下载 (1)若 ,求抛物线的顶点坐标; (2)若线段 (含端点)上的“完美点”个数大于3个且小于6个,求a的取值范围; (3)若抛物线与直线 交于M、N两点,线段 与抛物线围成的区域(含边界)内恰有4个“完美点”, 求a的取值范围. 【答案】(1) (2) (3) 【分析】本题考查二次函数的图象与系数的关系,二次函数图象上点的特征.数形结合解题是解题的关键. (1)把 代入后再将抛物线化成顶点式为 ,即可求顶点坐标; (2)根据整点个数的范围确定点A纵坐标的范围; (3)结合图象确定有4个“完美点”时a的最大和最小值,进而确定a的范围. 【详解】(1)解:当 时,抛物线 . ∴顶点坐标 . (2)令 ,则 , ∴ , ∵线段 上的“完美点”的个数大于3个且小于6个, ∴“完美点”的个数为4个或5个. ∵ , ∴当“完美点”个数为4个时,分别为 ,(0,1),(0,2),(0,3); 16关注公众号:陆陆高分冲刺 ~领取:最新版“小中高考-总复习”、最新试卷下载 当“完美点”个数为5个时,分别为 ,(0,1),(0,2),(0,3),(0,4). ∴ . ∴a的取值范围是 . (3)根据 , 得抛物线的顶点坐标为 ,过点 , , . ∵抛物线与直线 交于M、N两点,线段 与抛物线围成的区域(含边界)内恰有4个“完美点”, 显然,“完美点” , , 符合题意. 下面讨论抛物线经过(2,1), 的两种情况: ①当抛物线经过(2,1)时,解得 此时, , , . 如图所示,满足题意的“完美点”有 ,(2,1), , ,共4个. ②当抛物线经过 时,解得 此时, , , . 如图所示,满足题意的“完美点”有 ,(2,1), , , , ,共6个. ∴a的取值范围是 . 【中考模拟即学即练】 1.(2024·云南文山·二模)已知抛物线 (a,c为常数, )经过点 ,顶点为 D. 17关注公众号:陆陆高分冲刺 ~领取:最新版“小中高考-总复习”、最新试卷下载 (1)当 时,求该抛物线的顶点坐标; (2)将点 向左平移4个单位得到点 H,连接 ,若抛物线与线段 恰有一个公共点,结合函数图 象,求a的取值范围. 【答案】(1) (2) 或 【分析】本题主要考查了待定系数法求函数解析式、二次函数的图像与性质等知识,熟练掌握二次函数的 图像与性质,利用数形结合、分类讨论的思想分析问题是解题关键. (1)将 、 代入 ,即可求解; (2)分两种情况讨论:当 时,函数经过点H时, ,解得 ,可知当 时,抛物 线与线段 恰好有一个公共点;当 时,若 ,可有 ,再由 ,解得 ,此时抛物线与线段 恰好有一个公共点. 【详解】(1)解:当 时,有 , ∵抛物线经过点 , ∴ , ∴ , ∴该抛物线的顶点D坐标为 ; (2)∵点 向左平移4个单位长度, ∴点 , 如图,当a>0时, 18关注公众号:陆陆高分冲刺 ~领取:最新版“小中高考-总复习”、最新试卷下载 函数经过点H时, , 解得 , ∴当 时,抛物线与线段 恰好有一个公共点; 如图,当 时, 若 ,则 , , 令 , 解得 ,此时抛物线与线段 恰好有一个公共点. 综上所述,当 或 时,抛物线与线段 恰好有一个公共点. 2.(2024·云南昆明·三模)平面直角坐标系中,抛物线 与y轴交于点A. (1)求点A的坐标及抛物线的对称轴; (2)已知点 、 ,若线段 与抛物线只有一个公共点,结合函数图象,求a的取值范围. 【答案】(1) ,抛物线得对称轴为 (2) 或 【分析】本题考查二次函数的综合应用,解题关键是熟练掌握二次函数的性质,通过分类讨论及数形结合 的方法求解. 19关注公众号:陆陆高分冲刺 ~领取:最新版“小中高考-总复习”、最新试卷下载 (1)令 可求点 坐标,将抛物线解析式化为顶点式可求对称轴. (2)由点 为顶点,点 在直线 上运动,通过数形结合求解. 【详解】(1)解:令 ,则 , , , ∴抛物线的对称轴为 . (2)∵抛物线 的对称轴为 . 设点 关于对称轴的对称点为点 , ∴ . ∵ , ∴点 都在直线 上. 当 时,如图, 当点 在点 的左侧(包括点 )或点 在点 的右侧(包括点 )时,线段 与抛物线只有一个公共点. ∴ 或 . ∴ (不合题意,舍去)或 . ②当 时,如图,当 在点 与点 之间(包括点 ,不包括点 )时,线段 与抛物线只有一个公共 点. 20关注公众号:陆陆高分冲刺 ~领取:最新版“小中高考-总复习”、最新试卷下载 , , 又 , , 综上所述, 的取值范围为 或 . 3.(2024·山东菏泽·一模)如图,在平面直角坐标系 中,抛物线 ( )与 轴交 于点A,将点A向右平移2个单位长度,得到点 ,点 在抛物线上. (1)求点 的坐标(用含 的式子表示). (2)当 的纵坐标为3时,求 的值; (3)已知点 , ,若抛物线与线段 恰有一个公共点,请结合函数图象求出 的取值范围. 【答案】(1) (2) (3) 的取值范围为 【分析】本题考查二次函数的图象及性质;熟练掌握二次函数图象上点的特征,数形结合讨论交点是解题 的关键. 21关注公众号:陆陆高分冲刺 ~领取:最新版“小中高考-总复习”、最新试卷下载 (1)令 ,求出点A坐标根据平移得出结论; (2)将 的纵坐标为3代入求出即可; (3)由对称轴为直线 得出 ,当 时,解得 , ,结合图 象得出结论; 【详解】(1)解:在 ( )中,令 ,则 , , 将点A向右平移2个单位长度,得到点 ,则 . (2) 的纵坐标为3, , . (3)由题意得:抛物线的对称轴为直线 , , , 当 时, , 解得 , , 当 时,结合函数图像可得 ,抛物线与 恰有一个公共点, 综上所述, 的取值范围为 . 4.(2024·广西南宁·模拟预测)如图,在平面直角坐标系中,已知抛物线 与直线 相交于 , 两点,点 的坐标为 ,点 的坐标为 . 22关注公众号:陆陆高分冲刺 ~领取:最新版“小中高考-总复习”、最新试卷下载 (1)求该抛物线的函数解析式. (2) 为直线 下方抛物线上的任意一点,连接 , ,求 面积的最大值. (3)点 在直线 上,将线段 沿着 轴向上或向下平移,点 和点 的对应点分别为点 和点 ,为使平移后的线段 与抛物线只有一个公共点,设点 的纵坐标为 ,求 的取值范围. 【答案】(1) (2) 面积的最大值为 (3) 或 ; 【分析】(1)用待定系数法可得抛物线的函数解析式为 ; (2)过P作 轴交 于Q,求出直线 解析式为 ,设 ,则 可得 ,故 ,根据二次函数性 质可得 面积的最大值为 ; (3)先求解 ,如图,当线段 向上平移到 落在抛物线 时,可得 ,当平移后的线段 与抛物线只有一个公共点,A(0,−1),可得此时 ,如图,当线段 向下平移到 与抛物线 只有1个交点时,结合根的判别式可 23关注公众号:陆陆高分冲刺 ~领取:最新版“小中高考-总复习”、最新试卷下载 得答案; 【详解】(1)解:把 代入 得: , 解得 , ∴抛物线的函数解析式为 ; (2)解:过P作 轴交 于Q,如图: 由 得直线 解析式为 , 设 ,其中 ,则 , , ∵ , ∴当 时, 取最大值 , 面积的最大值为 ; (3)解:∵点 在直线 上, ∴ , 24关注公众号:陆陆高分冲刺 ~领取:最新版“小中高考-总复习”、最新试卷下载 ∴ , 如图,当线段 向上平移到 落在抛物线 时, ∴ , 当平移后的线段 与抛物线只有一个公共点,A(0,−1), ∴此时 , 如图,当线段 向下平移到 与抛物线 只有1个交点时, ∵ 为 , 时,而 , ∴ 为: , ∴ 只有1组解; 整理得: , ∴ , 25关注公众号:陆陆高分冲刺 ~领取:最新版“小中高考-总复习”、最新试卷下载 解得: ; 综上: 与抛物线 只有1个交点时, 或 ; 【点睛】本题考查的是利用待定系数法求解二次函数的解析式,二次函数的性质,平移的性质,二次函数 与直线的交点问题,熟练的利用数形结合的方法解题是关键. 5.(2024·河北·模拟预测)如图,抛物线 ,M为抛物线的顶点,点P是直线 上一动点,且点P的横坐标为m. (1)求点M的坐标(用含m的式子表示); (2)连接 ,当线段 与抛物线L只有一个交点时,求m的取值范围; (3)将抛物线上横、纵坐标互为相反数的点定义为这个抛物线上的“互反点”.若点 . ①求抛物线L的解析式,并判断抛物线上是否有“互反点”,若有,求出“互反点”的坐标.若没有,请 说明理由; ②若点 为x轴上的动点,过Q作直线 轴,将抛物线 的图象记为 ,将 沿直线 翻折后的图象记为 ,当 , 两部分组成的图象上恰有2个“互反点”时,直接写 出n的取值范围. 【答案】(1) (2) (3) 或 26关注公众号:陆陆高分冲刺 ~领取:最新版“小中高考-总复习”、最新试卷下载 【分析】(1)配方得 ,得顶点 ; (2)求出 ,根据 ,线段 与抛物线L只有一个交点,得到 ,设 ,画出其图象,由图象得出 ; (3)① 代入 ,求得 ,得到 ,与 联立解得 ,得“互 反点”的坐标为 ;②根据 与 关于直线 对称,得 : ,由 , 解得 或 ,得 时, 与直线 有交点,由 , ,得 ,得 时, 与直线 有交点, 时, 与直线 无交点,得到当 或 时, , 两部分组成的图象上恰有2个“互反点”. 【详解】(1)∵ , ∴ ; (2)∵点P在直线 上,点P的横坐标为m, ∴ , ∵ ,线段 与抛物线L只有一个交点, ∴ , , 设 ,画出图象, 由图象看出,不等式的解集为: ; 27关注公众号:陆陆高分冲刺 ~领取:最新版“小中高考-总复习”、最新试卷下载 (3)①把 代入 , 得 , 解得, , ∴ , ∵“互反点”在直线 上, ∴ , ∴ , ∴ , ∴“互反点”的坐标为 ; ②∵ : ,且 与 关于直线 : 对称, ∴ : , 联立 , 得 , 解得 或 , ∴ 时, 与直线 有交点, 28关注公众号:陆陆高分冲刺 ~领取:最新版“小中高考-总复习”、最新试卷下载 联立 , 得 , 即 , ∴ , 当 , 时, 与直线 有交点, 当 时, 与直线 无交点, ∴当 时, , 两部分组成的图象与直线 恰有2个交点; 当 时, , 两部分组成的图象与直线 恰有2个交点. 故 , 两部分组成的图象上恰有2个“互反点”时, 或 . 【点睛】本题主要考查了新定义——“互反点”.熟练掌握新定义,二次函数的图象和性质,一次函数的 图象和性质,二次函数翻折,函数与方程、方程组的关系,根判别式判断一元二次方程根的情况,用二次 函数图象解一元二次不等式,是解决问题的关键. 题型三:二次函数与线段问题 第一步:设点坐标及坐标表示 29关注公众号:陆陆高分冲刺 ~领取:最新版“小中高考-总复习”、最新试卷下载 第二步:表示线段长 第三步:根据线段长度或者数量关系列方程求解 【中考母题学方法】 【典例3】(2024·甘肃临夏·中考真题)在平面直角坐标系中,抛物线 与 轴交于 , 两点,与 轴交于点 ,作直线 . (1)求抛物线的解析式. (2)如图1,点 是线段 上方的抛物线上一动点,过点 作 ,垂足为 ,请问线段 是否存在 最大值?若存在,请求出最大值及此时点 的坐标;若不存在请说明理由. (3)如图2,点 是直线 上一动点,过点 作线段 (点 在直线 下方),已知 ,若 线段 与抛物线有交点,请直接写出点 的横坐标 的取值范围. 【答案】(1) (2)存在,最大值是 , (3) 或 【分析】本题考查二次函数的综合应用,正确的求出函数解析式,利用数形结合和分类讨论的思想进行求 解,是解题的关键. (1)两点式直接求出函数解析式即可; 30关注公众号:陆陆高分冲刺 ~领取:最新版“小中高考-总复习”、最新试卷下载 (2)过点 作 轴,交 于点 ,设 ,根据三角函数得到 , 得到当 最大时, 的值最大,转化为二次函数求最值即可; (3)设 ,得到 ,求出点 恰好在抛物线上且 时的 值,即可得出结果. 【详解】(1)解:∵抛物线 与 轴交于 , 两点, ∴ , ∴ ; (2)存在; ∵ , ∴当 时, , ∴ , ∵ , ∴ , ∴ , 设直线 的解析式为: ,把 代入,得: , ∴ , 过点 作 轴,交 于点 ,设 ,则: , ∴ , 31关注公众号:陆陆高分冲刺 ~领取:最新版“小中高考-总复习”、最新试卷下载 ∵ , ∴ , ∵ , ∴ , ∴ , ∴当 最大时, 最大, ∵ , ∴当 时, 的最大值为 ,此时 最大,为 , ∴ ; (3)设 ,则: , 当点 恰好在抛物线上时,则: , ∴ , 当 时,则: , 解得: 或 , ∵线段 与抛物线有交点, ∴点M的横坐标的取值范围是 或 . 【变式3-1】(2024·安徽·模拟预测)如图1,在平面直角坐标系中,二次函数 的图象交 轴 于 , 两点, , 为抛物线顶点. 32关注公众号:陆陆高分冲刺 ~领取:最新版“小中高考-总复习”、最新试卷下载 (1)求 , 的值; (2)点 为直线 下方抛物线上一点,过点 作 轴,垂足为点 ,交 于点 ,是否存在 ?若存在,求出此时 点坐标;若不存在,请说明理由; (3)如图2,以 为圆心,2为半径作圆, 为圆 上任一点,求 的最小值. 【答案】(1) , . (2)存在, (3) 【分析】(1)通过AB长度先得到 点坐标,再将 两点代入函数解析式,解方程即可; (2)先求出直线 的函数表达式,设出 点坐标为 ,进而得到 两点坐标,再通过 列出方程,解方程即可; (3)取取 ,连接 , ,先证得 ,得到 ,进而可得到 ,再通过 两点坐标求得 长度. 【详解】解:(1) , 点坐标为 , 33关注公众号:陆陆高分冲刺 ~领取:最新版“小中高考-总复习”、最新试卷下载 将 , 代入 , 得 , , 解得 , (2)设直线 的表达式为 , 由(1)可知抛物线的表达式为 , 故 点坐标为 , 直线 的表达式为 设 点坐标为 , 则 , , , 若 , 则 , 解得 , , 故 ,此时 点坐标为 ; (3)如图,取 ,连接 , , , , 又 , , 34关注公众号:陆陆高分冲刺 ~领取:最新版“小中高考-总复习”、最新试卷下载 , , , , 故 的最小值为 . 【点睛】本题考查二次函数综合问题,能够熟练掌握二次函数的基本性质以及相似三角形的应用是解题关 键. 【变式3-2】(2024·四川宜宾·中考真题)如图,抛物线 与x轴交于点 和点B,与y轴 交于点 ,其顶点为D. (1)求抛物线的表达式及顶点D的坐标; (2)在y轴上是否存在一点M,使得 的周长最小.若存在,求出点M的坐标;若不存在,请说明理由; (3)若点E在以点 为圆心,1为半径的 上,连接 ,以 为边在 的下方作等边三角形 , 35关注公众号:陆陆高分冲刺 ~领取:最新版“小中高考-总复习”、最新试卷下载 连接 .求 的取值范围. 【答案】(1)抛物线的表达式为 ,顶点D的坐标为 ; (2)点M的坐标为 ; (3) 的取值范围为 . 【分析】(1)利用待定系数法求解即可; (2)作点B关于原点的对称点 ,连接 交 轴于点M,此时 的周长最小,利用待定系数法求 得直线 的解析式,据此求解即可; (3)以 为边在 的下方作等边三角形 ,得到点 在以 为圆心,1为半径的 上,据 此求解即可. 【详解】(1)解:由于抛物线 经过点 和点 , ∴ , ∴ , ∴抛物线的表达式为 , ∴顶点D的坐标为 ; (2)解:∵点 ,对称轴为直线 , ∴点 , ∵ , , ∴ 长为定值, 36关注公众号:陆陆高分冲刺 ~领取:最新版“小中高考-总复习”、最新试卷下载 作点B关于原点的对称点 ,则 ,连接 交 轴于点M, 则 , ∴ ,此时 的周长最小, 设直线 的解析式为 , 则 , 解得 , , ∴直线 的解析式为 , 令 ,则 , ∴点M的坐标为 ; (3)解:以 为边在 的下方作等边三角形 ,作 轴于点 ,连接 , , ∵等边三角形 , ∴ , , , 37关注公众号:陆陆高分冲刺 ~领取:最新版“小中高考-总复习”、最新试卷下载 ∴ , ∴ , , , ∵ , ∴ , ∴点 在以 为圆心,1为半径的 上, , 当点 在线段 上时, 有最小值为 ; 当点 在射线 上时, 有最大值为 ; ∴ 的取值范围为 . 【点睛】本题是一道二次函数的综合题,主要考查了二次函数图象的性质,待定系数法确定函数的解析式, 一次函数图象的性质,抛物线上点的坐标的特征,一次函数图象上点的坐标的特征,利用点的坐标表示出 相应线段的长度是解题的关键. 【变式3-3】(2024·湖南·中考真题)已知二次函数 的图像经过点 ,点P(x ,y ), 1 1 Q(x ,y )是此二次函数的图像上的两个动点. 2 2 (1)求此二次函数的表达式; 38关注公众号:陆陆高分冲刺 ~领取:最新版“小中高考-总复习”、最新试卷下载 (2)如图1,此二次函数的图像与x轴的正半轴交于点B,点P在直线 的上方,过点P作 轴于点 C,交AB于点D,连接 .若 ,求证 的值为定值; (3)如图2,点P在第二象限, ,若点M在直线 上,且横坐标为 ,过点M作 轴于 点N,求线段 长度的最大值. 【答案】(1) (2)为定值3,证明见解析 (3) 【分析】(1)用待定系数法求解即可; (2)先求出直线 的解析式, ,则 , ,表示出 , ,代入 即可求解; (3)设 ,则 ,求出直线 的解析式,把 代入即可求出线段 长度的最大值. 【详解】(1)∵二次函数 的图像经过点 , ∴ , ∴ , ∴ ; (2)当 时, , ∴ , ∴ , 设直线 的解析式为 , 39关注公众号:陆陆高分冲刺 ~领取:最新版“小中高考-总复习”、最新试卷下载 ∴ , ∴ , ∴ , 设 ,则 , , ∴ , . ∴ , ∴ 的值为定值; (3)设 ,则 , 设直线 的解析式为 , ∴ , ∴ , ∴ , 当 时, , ∴当 时,线段 长度的最大值 . 【点睛】本题考查了待定系数法求函数解析式,二次函数与几何综合,数形结合是解答本题的关键. 40关注公众号:陆陆高分冲刺 ~领取:最新版“小中高考-总复习”、最新试卷下载 【中考模拟即学即练】 1.(2024·山西太原·模拟预测)综合与探究 如图1,二次函数 的图象与x轴交于点A,B(点A在点B左侧),与y轴交于点 .点 P是y轴左侧抛物线上的一个动点,设点P的横坐标为m,过点P作x轴的平行线交y轴于点D,交抛物线 于另一点E. (1)求点A,B,C的坐标. (2)如图2,当点P在第二象限时,连接 ,交直线 于点F.当 时,求m的值. (3)当点P在第三象限时,以 为边作正方形 ,当点C在正方形 的边上时,直接写出点D 的坐标. 【答案】(1) , , (2) (3) 或 【分析】(1)在 中,分别令 , ,计算即可得出答案; (2)利用待定系数法求出直线 的解析式为 ,由题意得 ,则 ,求出 ,得到 ,计算即可得解; (3)设 ,且 ,则 ,分两种情况:当点 在正方形 的边 上时,设边 交 41关注公众号:陆陆高分冲刺 ~领取:最新版“小中高考-总复习”、最新试卷下载 轴于 ;当点 在正方形 的边 上时;分别计算即可得出答案. 【详解】(1)解:在 中,令 ,则 , 解得: , , ∴ ,B(4,0), 令 ,则 ,即 ; (2)解:设直线 的解析式为 , 将 , 代入解析式得 , ∴ , ∴直线 的解析式为 , ∵ , ∴抛物线的对称轴为直线 , 由题意得: ,则 , ∵ 轴, ∴点 、 关于抛物线的对称轴直线 对称,即直线 经过线段 的中点, 如图, , 42关注公众号:陆陆高分冲刺 ~领取:最新版“小中高考-总复习”、最新试卷下载 ∵ 交直线 于点F,且 , ∴当 时, ,即 , ∴ , 解得: , ∵点 在第二象限, ∴ , ∴ ; (3)解:设 ,且 ,则 , ∵ , , ∴ , , 如图,当点 在正方形 的边 上时,设边 交 轴于 , , 则 , , ∴ , ∵ , ∴ , ∴ ,即 , ∴ , ∴ , ∵ , ∴ , ∵ , 43关注公众号:陆陆高分冲刺 ~领取:最新版“小中高考-总复习”、最新试卷下载 ∴ , ∴ ,即 , ∴ , ∴ , ∵ , ∴ , 解得: (舍去), , ∴ ; 如图,当点 在正方形 的边 上时, , ∵ , ∴ , ∴ , ∴ , ∴ ,即 , ∴ , ∴ , 综上所述,点 的坐标为 或 . 【点睛】本题考查了二次函数与坐标轴的交点问题、求一次函数解析式、二次函数综合—线段问题、相似 44关注公众号:陆陆高分冲刺 ~领取:最新版“小中高考-总复习”、最新试卷下载 三角形的判定与性质、全等三角形的判定与性质、正方形的性质等知识点,熟练掌握以上知识点并灵活运 用,添加适当的辅助线,采用数形结合与分类讨论的思想是解此题的关键. 2.(2024·广东清远·模拟预测)如图,直线 与x轴、y 轴分别交于点B,A,抛物线 经过点A,B,其顶点为C. (1)求抛物线的函数解析式; (2)求 的面积; (3)点P为直线 上方抛物线上的任意一点,过点P作 轴交直线 于点D,求线段 的最大值及 此时点P的坐标. 【答案】(1) (2)3 (3)2.25, 【分析】(1)先求出 , ,再利用待定系数法求解即可; (2)由(1)可得: ,求出直线 的解析式为 ,得出与 轴的交点的横坐标 ,再 由三角形面积公式计算即可得解; (3)设 ,则 , ,表示出 ,结合二次函数的性质即可得解. 45关注公众号:陆陆高分冲刺 ~领取:最新版“小中高考-总复习”、最新试卷下载 【详解】(1)解:在 中,当 时, ,即 , 当 时, ,解得 ,即 , 由题意得: , 解得: , ∴抛物线的函数解析式 ; (2)解:由(1)可得: , 设直线 的解析式为 , 将 , 代入可得 , 解得: , ∴直线 的解析式为 , 当 时, ,解得 , ∴ ; (3)解:∵点P为直线 上方抛物线上的任意一点,过点P作 轴交直线 于点D, ∴设 ,则 , , ∴ , ∴当 时, 有最大值,为 ,此时 ,即 . 【点睛】本题考查了待定系数法求二次函数解析式、一次函数的图象与性质、二次函数综合—线段问题, 熟练掌握以上知识点并灵活运用是解此题的关键. 3.(2024·湖北·模拟预测)如图,在平面直角坐标系 中,抛物线 与 轴交于 和 46关注公众号:陆陆高分冲刺 ~领取:最新版“小中高考-总复习”、最新试卷下载 ,点 为线段 上一点,过点 作 轴的平行线交抛物线于点 ,连结 . (1)求抛物线的解析式; (2)当 为直角三角形时,求线段 的长度; (3)在抛物线上是否存在这样的点 ,使得 ,若存在,求出点 的坐标;若不存在,请说明理由. 【答案】(1) (2)2 (3)存在, 【分析】本题是一道二次函数的综合题,主要考查了待定系数法确定函数的解析式,二次函数图象的性质, 一次函数图象的性质,二次函数图象上点的坐标的特征,一次函数图象上点的坐标的特征,等腰直角三角 形的性质,相似三角形的判定与性质. (1)利用待定系数法即可求得抛物线的解析式; (2)利用分类讨论的方法分两种情况 点 为直角顶点, 点 为直角顶点讨论解答,设 , 则点 ,用 的代数式表示出DE的长度,利用已知条件列出方程,解方程即可求得结论; (3)在抛物线上存在点 ,使得 ,延长 交 轴于点 ,利用 ∽ 求得线段 的长,利用待定系数法求得直线 的解析式,与抛物线解析式联立,解方程组即可求得结论. 【详解】(1)∵抛物线 与 轴交于 和 , , 47关注公众号:陆陆高分冲刺 ~领取:最新版“小中高考-总复习”、最新试卷下载 解得: . 抛物线的解析式为 . (2)令 ,则 , . 设直线 的解析式为 , , 解得: . 直线 的解析式为 . 点 为线段 上一点, 设 ,则点 , . ,C(0,−3), . . ∵ 轴, , 点 不可能是直角的顶点. ①当点 为直角的顶点时,设DE交 轴于点 , , , 48关注公众号:陆陆高分冲刺 ~领取:最新版“小中高考-总复习”、最新试卷下载 . 为等腰直角三角形. . . . 解得: 或 不合题意,舍去). . . ②当点 为直角顶点时,此时边 在 轴上,点 与点 重合, . . 综上,当 为直角三角形时,线段DE的长度为 . (3)在抛物线上存在点 ,使得 ,理由: , . . . 延长 交 轴于点 ,如图, 由 知: , . , . 49关注公众号:陆陆高分冲刺 ~领取:最新版“小中高考-总复习”、最新试卷下载 . , ∽ . . . . , . 设直线CF的解析式为 , , 解得: . 直线 的解析式为 . , 解得: , . 点 的坐标为 . 4.(2024·湖北·模拟预测)如图,在平面直角坐标系中,直线 与 轴交于点 ,与 轴交 于点 ,抛物线 经过 , 两点且与 轴的正半轴交于点 . 50关注公众号:陆陆高分冲刺 ~领取:最新版“小中高考-总复习”、最新试卷下载 (1)求 的值及抛物线的解析式. (2)如图①,若点 为直线 上方抛物线上一动点,当 时,求 点的坐标; (3)如图②,若 是线段 的上一个动点,过点 作直线 垂直于 轴交直线 和抛物线分别于点 、 ,连接 .设点 的横坐标为 . ①当 为何值时,线段 有最大值,并写出最大值为多少; ②是否存在以 , , 为顶点的三角形与 相似,若存在,直接写出 的值;若不存在,请说明理 由. 【答案】(1) , (2) (3)①当 时,线段 有最大值为4;②存在, 或 【分析】(1)将点 的坐标直接代入直线解析式可得出 的值;再求出点 的坐标,将 , 的坐标代入 抛物线解析式,即可得出结论; (2)由(1)可得 ,则 ,设 ,可表达点 的坐标,代入抛物 线的解析式即可得出结论; (3)①由点 , 坐标可得出直线 的解析式,由此可表达点 , 的坐标,进而表达 的长度,结 合二次函数的性质可得出结论; ②根据题意需要分两种情况,当 时,当 时,分别求出 的值即可. 【详解】(1) 直线 与 轴交于点 , , , 直线 的表达式为 ; 51关注公众号:陆陆高分冲刺 ~领取:最新版“小中高考-总复习”、最新试卷下载 当 时, , 点 的坐标为 , 将点 的坐标为 ,点 的坐标为 ,代入 , 得: , 解得: , 抛物线的解析式为 ; (2)如图,过点 作 轴交抛物线于点 ,过点 作 的垂线,垂足为 , 轴, , , , , , , , , 设 , 的坐标为 , 将点 的坐标代入解析式可得, , 解得 或 (舍去) 52关注公众号:陆陆高分冲刺 ~领取:最新版“小中高考-总复习”、最新试卷下载 的坐标为 ; (3)①由(1)可知,直线 的解析式为: ; 点 的横坐标为 , 点 的坐标为 ,点 的坐标为 , 设线段 的长度为 , 则 , 当 时,线段 有最大值为4; ②存在,理由如下: 由图形可知 , 若 与 相似,则需要分两种情况, 当 时,由(2)可知, ,此时 ; 当 时,过点 作 轴交抛物线于点 , 令 , 解得 (舍 或 , 即 , 综上,当 的值为 或 时,以 , , 为顶点的三角形与 相似. 【点睛】本题是二次函数的综合题,主要考查的是待定系数法求二次(一次)函数解析式、二次函数图象 上点的坐标特征、相似三角形的判定与性质,解题的关键是第(3)问中需分两种情况讨论. 53关注公众号:陆陆高分冲刺 ~领取:最新版“小中高考-总复习”、最新试卷下载 5.(2024·山西·模拟预测)综合与探究 如图,在平面直角坐标系中,抛物线 与 轴交于 , 两点(点 在点 的右侧),与 轴交于点 ,连接 .已知点 , . (1)求该抛物线的表达式及直线 的表达式. (2) 是直线 上方抛物线上的一动点,过点 作 于点 ,求 的最大值. (3)在(2)的条件下,将该抛物线向左平移5个单位长度, 为点 的对应点,平移后的抛物线与 轴交 于点 , 为平移后抛物线的对称轴上的任意一点.直接写出所有使得以 为腰的 是等腰三角形 的点 的坐标. 【答案】(1)抛物线解析式为: ;直线 的解析式为 (2) (3) 或 或 【分析】( )待定系数法即可求出二次函数解析式,再求出点A的坐标,再利用待定系数法即可求解直 线 的表达式; (2)过点 作 轴于点 ,交 于点 ,由(1)知直线 的解析式为 ,设 ,则 ,则 ,进而根据二次函数的性质即可求解; (3)根据平移的性质得出 ,对称轴为直线 ,点 向右平移 个单位得到 54关注公众号:陆陆高分冲刺 ~领取:最新版“小中高考-总复习”、最新试卷下载 , ,勾股定理分别表示出 , , ,进而分类讨论即可求解. 【详解】(1)解:将点 , ,代入 得, , 解得: , ∴抛物线解析式为: ; ∵ 与 轴交于点 , , 当 时, , 解得: , ∴ , ∵ , 设直线 的解析式为 , ∴ , 解得: , ∴直线 的解析式为 ; (2)解:如图所示,过点 作 轴于点 ,交 于点 , 55关注公众号:陆陆高分冲刺 ~领取:最新版“小中高考-总复习”、最新试卷下载 由(1)知直线 的解析式为 , 设 ,则 , ∴ , ∵ , , ∴ , ∵ , ∴ , ∴ , ∴ , ∴当 时, 取得最大值为 ; (3)解:∵抛物线 , 将该抛物线向左平移 个单位,得到 ,对称轴为直线 , 由(2)知点D的横坐标为2,则 , , 点 向左平移 个单位得到 , 56关注公众号:陆陆高分冲刺 ~领取:最新版“小中高考-总复习”、最新试卷下载 ∵平移后的抛物线与 轴交于点 ,令 ,则 , ∴ , ∴ , ∵ 为平移后的抛物线的对称轴上任意一点, 则 点的横坐标为 , 设 , ∴ , , 当 时, , 解得: 或 , 当 时, , 解得: , 综上所述, 点的坐标为 或 或 . 【点睛】本题考查了二次函数综合问题,解直角三角形,待定系数法求解析式,二次函数的平移,线段周 长问题,特殊三角形问题,熟练掌握二次函数的性质是解题的关键. 6.(2024·安徽合肥·模拟预测)如图,在平面直角坐标系中,直线 与抛物线 交于 , 两点,点 的横坐标为 . 57关注公众号:陆陆高分冲刺 ~领取:最新版“小中高考-总复习”、最新试卷下载 (1)求直线 和抛物线的解析式; (2)点 是直线 下方的抛物线上一动点(不与点 重合),过点 作 轴的平行线,与直线 交于 点 ,连接 ,设点 的横坐标为 ; ①若点 在 轴上方,当 为何值时, 是等腰三角形; ②若点 在 轴下方,设 的周长为 ,求 关于 的函数关系式,当 为何值时, 的周长 最大,最大值是多少? 【答案】(1) , ; (2)① ;② ,当 时, 的周长最大,最大值是 . 【分析】(1)用待定系数法求出抛物线和直线解析式; (2)①当 是等腰三角形时,判断出只有 ,设出点P的坐标用 建立方程组求解即可; ②先表示出 ,然后建立三角形 的周长和m的函数关系式,确定出最大值. 【详解】(1)解: 直线 经过点 , , , 直线解析式为 , 点 在此直线上,点 的横坐标为−2,则 , 点 的纵坐标为 , , 58关注公众号:陆陆高分冲刺 ~领取:最新版“小中高考-总复习”、最新试卷下载 抛物线 交于 、 两点, , , 抛物线解析式为 . (2)解:∵点 的横坐标为 ,则设 , ∴ , 过点 作 轴的平行线,与直线AB交于点 ,则点 的纵坐标为 , ∴ ,则 , 点 , , ①当点 在 轴上方时, , 是钝角, , , 是等腰三角形, , , , , , , 59关注公众号:陆陆高分冲刺 ~领取:最新版“小中高考-总复习”、最新试卷下载 或 舍), 当 时, 是等腰三角形; ②当点P在x轴下方时, , , ,则 ,点 , , , , , ∴ 的周长 , ∵ , 当 时, , 当 时, 的周长最大,最大值是 . 【点睛】此题为二次函数综合题,主要考查了待定系数法,二次函数的性质,二次函数图象上点的坐标特 征,等腰三角形的性质,三角形的周长,两点坐标距离公式等知识,熟练掌握相关知识是解题的关键. 7.(2023·青海西宁·中考真题)如图,在平面直角坐标系中,直线l与x轴交于点 ,与y轴交于点 ,抛物线经过点A,B,且对称轴是直线 . 60关注公众号:陆陆高分冲刺 ~领取:最新版“小中高考-总复习”、最新试卷下载 (1)求直线l的解析式; (2)求抛物线的解析式; (3)点P是直线l下方抛物线上的一动点,过点P作 轴,垂足为C,交直线l于点D,过点P作 ,垂足为M.求 的最大值及此时P点的坐标. 【答案】(1) (2) (3) 的最大值是 ,此时的P点坐标是 【分析】(1)利用待定系数法求解即可; (2)根据题意可设抛物线的解析式为 ,再利用待定系数法求解即可; (3)由题意易证 为等腰直角三角形,即得出 .设点P的坐标为 ,则 ,从而可求出 .再结合二次函数的性质可知:当 时, 有最大值是 ,此时 最大,进而即可求解. 【详解】(1)解:设直线l的解析式为 , 把A,B两点的坐标代入解析式,得 , 61关注公众号:陆陆高分冲刺 ~领取:最新版“小中高考-总复习”、最新试卷下载 解得: , ∴直线l的解析式为 ; (2)解:设抛物线的解析式为 , ∵抛物线的对称轴为直线 , ∴ . 把A,B两点坐标代入解析式,得 , 解得: , ∴抛物线的解析式为 ; (3)解:∵ , ∴ . ∵在 中 , ∴ . ∵ 轴, , ∴ . 在 中, , , ∴ , ∴ . 在 中, , , ∴ , ∴ . 62关注公众号:陆陆高分冲刺 ~领取:最新版“小中高考-总复习”、最新试卷下载 设点P的坐标为 ,则 , ∴ . ∵ , ∴当 时, 有最大值是 ,此时 最大, ∴ , 当 时, , ∴ , ∴ 的最大值是 ,此时的P点坐标是 . 【点睛】本题为二次函数综合题,考查利用待定系数法求函数解析式,二次函数的图象和性质等知识.掌 握利用待定系数法求函数解析式和利用数形结合的思想是解题关键. 题型四:二次函数与面积问题 一、面积问题的解题步骤 第一步:根据二次函数的表达式求出抛物线上特殊点的坐标,如与坐标轴的交点坐标,顶点坐标等 第二步:根据点坐标表示出线段长 第三步:根据线段长求出图形的面积,常涉及边与坐标轴不平行的三角形和不规则四边形(可分割成三角形 与特殊四边形),利用“水平宽x铅垂高”和补全图形法求解。 二、平面直角坐标系中面积数量关系的转化方法: 1.两三角形同底:可构造平行线进行面积转化,如图①,作直线I//AB 交抛物线于点P,则 2.两三角形同高:可将面积比转化为线段比,如图②,直线!与抛物线交于点 P,与 AB 交于点Q,则 3.图形面积平分:若图形为三角形,构造三角形任意一条中线,该中线平分这个三角形的面积 如图③,直线!经 过点A和 BC 的中点 P,则 63关注公众号:陆陆高分冲刺 ~领取:最新版“小中高考-总复习”、最新试卷下载 【中考母题学方法】 【典例4】(2024·福建·中考真题)如图,已知二次函数 的图象与 轴交于 两点,与 轴 交于点 ,其中 . (1)求二次函数的表达式; (2)若 是二次函数图象上的一点,且点 在第二象限,线段 交 轴于点 的面积是 的面 积的2倍,求点 的坐标. 【答案】(1) (2) 【分析】本题考查二次函数表达式、二次函数的图象与性质、二元一次方程组、一元二次方程、三角形面 积等基础知识,考查运算能力、推理能力、几何直观等. (1)根据待定系数法求解即可; (2)设 ,因为点 在第二象限,所以 .依题意,得 ,即可得出 ,求 64关注公众号:陆陆高分冲刺 ~领取:最新版“小中高考-总复习”、最新试卷下载 出 ,由 ,求出 ,即可求出点 的坐标. 【详解】(1)解:将 代入 , 得 , 解得 , 所以,二次函数的表达式为 . (2)设 ,因为点 在第二象限,所以 . 依题意,得 ,即 ,所以 . 由已知,得 , 所以 . 由 , 解得 (舍去), 所以点 坐标为 . 【变式4-1】(2024·黑龙江大兴安岭地·中考真题)如图,抛物线 与x轴交于A、B两点,与 y轴交于点C,其中 , . (1)求抛物线的解析式. 65关注公众号:陆陆高分冲刺 ~领取:最新版“小中高考-总复习”、最新试卷下载 (2)在第二象限的抛物线上是否存在一点P,使得 的面积最大.若存在,请直接写出点P坐标和 的面积最大值;若不存在,请说明理由. 【答案】(1) (2)存在,点P的坐标是 , 的面积最大值是 【分析】本题主要考查二次函数的图象与性质以及与几何综合: (1)将B,C两点坐标代入函数解析式,求出b,c的值即可; (2)过点P作 轴于点E,设 ,且点P在第二象限,根据 可得二次函数关系式,再利用二次函数的性质即可求解. 【详解】(1)解:将 , 代入 得, 解得: (2)解:对于 ,令 则 解得, , ∴ , ∴ ∵ , ∴ , 过点P作 轴于点E,如图, 66关注公众号:陆陆高分冲刺 ~领取:最新版“小中高考-总复习”、最新试卷下载 设 ,且点P在第二象限, ∴ ∴ ∵ , ∴ 有最大值, ∴当 时, 有最大值,最大值为 ,此时点P的坐标为 【变式4-2】(2024·四川遂宁·中考真题)二次函数 的图象与 轴分别交于点 ,与 轴交于点C(0,−3), 为抛物线上的两点. (1)求二次函数的表达式; 67关注公众号:陆陆高分冲刺 ~领取:最新版“小中高考-总复习”、最新试卷下载 (2)当 两点关于抛物线对称轴对称, 是以点 为直角顶点的直角三角形时,求点 的坐标; (3)设 的横坐标为 , 的横坐标为 ,试探究: 的面积 是否存在最小值,若存在,请求出 最小值,若不存在,请说明理由. 【答案】(1) (2) (3)存在,最小值为 【分析】本题考查了二次函数的综合题,待定系数法求函数解析式,勾股定理,已知两点坐标表示两点距 离,二次函数最值,熟练掌握知识点,正确添加辅助线是解题的关键. (1)用待定系数法求解即可; (2)可求 ,设 ,由 ,得 ,则 ,解得 , (舍 去),故 ; (3)分当点P、Q在x轴下方,且点Q在点P上方时,当点P、Q在x轴下方,且点P在点Q上方时,当 点P、Q都在x轴上方或者一个在x轴上方,一个在x轴下方,得到这个面积是关于m的二次函数,进而求 最值即可. 【详解】(1)解:把 , 代入 得, ,解得 , ∴二次函数的表达式为 ; (2)解:如图: 68关注公众号:陆陆高分冲刺 ~领取:最新版“小中高考-总复习”、最新试卷下载 由 得抛物线对称轴为直线 , ∵ 两点关于抛物线对轴对称, ∴ , 设 , ∵ , ∴ , ∴ , 整理得, , 解得 , (舍去), ∴ , ∴ ; (3)存在,理由: 当点P、Q在x轴下方,且点Q在点P上方时, 设点 ,则点 ,设直线 交 轴于点 , 69关注公众号:陆陆高分冲刺 ~领取:最新版“小中高考-总复习”、最新试卷下载 设直线 表达式为: , 代入 , 得: , 解得: , ∴直线 的表达式为: , 令 ,得 则 , 则 , 则 , 即 存在最小值为 ; 当点P、Q在x轴下方,且点P在点Q上方时, 70关注公众号:陆陆高分冲刺 ~领取:最新版“小中高考-总复习”、最新试卷下载 同上可求直线 表达式为: , 令 ,得 则 , 则 , 则 即 存在最小值为 ; 当点P、Q都在x轴上方或者一个在x轴上方,一个在x轴下方同理可求 , 即 存在最小值为 , 综上所述, 的面积 是否存在最小值,且为 . 【变式4-3】(2024·内蒙古包头·中考真题)如图,在平面直角坐标系中,抛物线 与 轴相 交于 , 两点(点 在点 左侧),顶点为 ,连接 . 71关注公众号:陆陆高分冲刺 ~领取:最新版“小中高考-总复习”、最新试卷下载 (1)求该抛物线的函数表达式; (2)如图1,若 是 轴正半轴上一点,连接 .当点 的坐标为 时,求证: ; (3)如图2,连接 ,将 沿 轴折叠,折叠后点 落在第四象限的点 处,过点 的直线与线段 相交于点 ,与 轴负半轴相交于点 .当 时, 与 是否相等?请说明理由. 【答案】(1) (2)见解析 (3)相等,理由见解析 【分析】(1)根据顶点为 ,利用 求出 ,再将 代入解析式即可求出 ,即可得出函数表达式; (2)延长 交x轴于点D,由(1)知抛物线的解析式表达式为 ,求出 ,再利用 待定系数法求出直线 的解析式为 ,进而求出 ,则 ,利用两点间距离公式 求出 ,易证 ,得到 ,由 ,即可证明 ; (3)过点 作 轴,交x轴于点G,利用抛物线解析式求出 ,求出 ,根据 72关注公众号:陆陆高分冲刺 ~领取:最新版“小中高考-总复习”、最新试卷下载 ,易证 ,得到 ,由 ,即 ,求出 ,得到 ,即点 的横坐标为 ,由折叠的性质得到 ,求出直线 的解析式为 ,进 而求出 ,得到 ,利用三角形面积公式求出 ,则 ,即可证明结论. 【详解】(1)解: 该抛物线的顶点为 ,即该抛物线的对称轴为 , , , 将 代入解析式 ,则 , , 抛物线的解析式表达式为 ; (2)证明:如图1,延长 交x轴于点D, 由(1)知抛物线的解析式表达式为 ,则 , , 73关注公众号:陆陆高分冲刺 ~领取:最新版“小中高考-总复习”、最新试卷下载 点 的坐标为 , 设直线 的解析式为y=kx+b(k≠0), 则 , 解得: 直线 的解析式为 ,则 , , , , , , , , , , , , ; (3)解:过点 作 轴,交x轴于点G, 74关注公众号:陆陆高分冲刺 ~领取:最新版“小中高考-总复习”、最新试卷下载 令 ,即 , 解得: , 根据题意得: , , 轴, 轴, , , , ,即 , , , 点 的横坐标为 , 由折叠的性质得到 , 设直线 的解析式为 , 则 , 75关注公众号:陆陆高分冲刺 ~领取:最新版“小中高考-总复习”、最新试卷下载 解得: , 直线 的解析式为 , , , , , , , , . 【点睛】本题考查二次函数综合问题,涉及二次函数的性质,二次函数解析式,一次函数的解析式,折叠 的性质,二次函数与三角形相似的综合问题,二次函数与面积综合问题,正确作出辅助线构造三角形相似 是解题的关键. 【中考模拟即学即练】 1.(2024·黑龙江牡丹江·中考真题)如图,二次函数 的图象与x轴交于A、B两点,与y轴 交于点C,点A的坐标为 ,点C的坐标为 ,连接 . (1)求该二次函数的解析式; 76关注公众号:陆陆高分冲刺 ~领取:最新版“小中高考-总复习”、最新试卷下载 (2)点P是抛物线在第四象限图象上的任意一点,当 的面积最大时, 边上的高 的值为______. 【答案】(1) (2) 【分析】本题考查待定系数法求函数解析式,二次函数与图形的面积,掌握待定系数法是解题的关键. (1)直接利用待定系数法求函数解析式即可; (2)先求出直线 的解析式,然后过点P作 轴交 于点D,设点P的坐标为 , 则点D的坐标为 ,根据 求出面积的最大值,然后求高 即可. 【详解】(1)解:把 和 代入得: ,解得 , ∴二次函数的解析式为 ; (2)解:令 ,则 ,解得: , , ∴点B的坐标为 , ∴ , 设直线 的解析式为y=mx+n,代入得: ,解得 , ∴直线 的解析式为 , 过点P作 轴交 于点D, 设点P的坐标为 ,则点D的坐标为 , 77关注公众号:陆陆高分冲刺 ~领取:最新版“小中高考-总复习”、最新试卷下载 ∴ , ∴ , ∴ 最大为 , ∴ . 2.(2024·甘肃·模拟预测)如图,抛物线 的图象经过 , , 三点. (1)求抛物线的解析式和顶点M的坐标; (2)在直线 下方的抛物线上是否存在一点E,使 的面积最大,若存在,求出点E的坐标和 的最大面积; (3)P为抛物线上的一动点,Q为对称轴上的动点,抛物线上是否存在一点P,使A、D、P、Q为顶点的四 边形为平行四边形?若存在,直接写出点P的坐标;若不存在,请说明理由. 【答案】(1) , 78关注公众号:陆陆高分冲刺 ~领取:最新版“小中高考-总复习”、最新试卷下载 (2)存在, 取最大值 ,点P的坐标为 (3)存在,P坐标为 或 或 【分析】本题考查了利用待定系数法求二次函数的解析式、二次函数的几何应用、平行四边形的定义等知 识点,较难的是题(3),依据题意,正确分2种情况讨论是解题关键,勿出现漏解. (1)根据待定系数法即可求出解析式,再化为顶点式即可求解; (2)求出直线 的解析式,过点E作 轴,交 于点F,设点E为 ,则点F为 ,表示出 ,再根据 表示出 即可求解. (3)分为① 为平行四边形的边和② 为平行四边形的对角线分别求解即可. 【详解】(1)解:将 , , 三点代入 可得 , 解得: , 故抛物线的解析式为 ; ∵ . ∴抛物线的顶点M的坐标为 . (2)解:设直线 的解析式为 ,把点 、 代入得 , 解得: , 得直线 的解析式为 . 79关注公众号:陆陆高分冲刺 ~领取:最新版“小中高考-总复习”、最新试卷下载 如图,过点E作 轴,交 于点F, 设点E为 ,则点F为 , ∴ . ∴ . ∴ . ∴当 时, 取最大值 . ∴点E的坐标为 . (3)解:①若 为平行四边形的边, ∵以A、D、P、Q为顶点的四边形为平行四边形, ∴ , ∴ 或 , ∴ 或 , ∴点P坐标为 或 ; ②若 为平行四边形的对角线, ∵以A、D、P、Q为顶点的四边形为平行四边形, ∴ 与 互相平分, 80关注公众号:陆陆高分冲刺 ~领取:最新版“小中高考-总复习”、最新试卷下载 ∴ , 解得: , ∴点P的坐标为 , 综上所述:当点P坐标为 或 或 时,以A、D、P、Q为顶点的四边形为平行四边形. 3.(2024·四川乐山·模拟预测)已知二次函数 ( )与 轴交于 、 两点,与 轴 交于 ,顶点为 . (1)如图①,若 为直角三角形,求 的值; (2)如图②,设AD与 交于 ,在 的变化过程中, 与 不重合部分的面积比 的值是 否为定值,若是,求出这个定值,若不是,说明理由; (3)如图③,若 ,作 的中点 ,过点 在第二象限内作 轴的垂线段 ,以 、 为邻边 作矩形 ,记矩形 与 重叠部分的面积为 ,矩形 以每秒 个单位长度的速度向右运 动,当 经过 点时,停止运动.设运动时间为 ,求 与 的函数关系式,并写出相应的自变量取值范 围.在运动过程中, 是否存在最大值,若存在,直接写出这个最大值. 81关注公众号:陆陆高分冲刺 ~领取:最新版“小中高考-总复习”、最新试卷下载 【答案】(1) (2)为定值,值为 (3)运动过程中,S存在最大值,且当 时, 【分析】(1)根据二次函数的图象和性质,求出 , , 的坐标,得到 , , , 根据勾股定理的应用, , ,解出 ,即可; (2)由(1)可得 , , 的坐标,根据二次函数的图象和性质,求出顶点 的坐标,设直线AD的解 析式为:y=kx+b(k≠0),设直线 的解析式为: ,根据待定系数法求出直线AD, 的解析式,联立方程求出 的坐标,根据三角形的面积公式,则求出 , , ,根据 , ,即可; (3)根据 ,得到函数解析式 ,求出A(−2,0),B(4,0), , , 的坐标,根据待定系数法求出直线AD, , 的函数解析式,分类讨论: 当 ,即 时,重叠部分为梯形; 当 ,即 时,重叠部分为两个梯形;当 ,即 时,重叠部分为一个三角形,进行解答,即可. 【详解】(1)解:∵二次函数 ,与 轴交于 、 两点,与 轴交于 , ∴当 时, , ∴ , 时, , ∴ , , ∴ , , ∴ , , , 82关注公众号:陆陆高分冲刺 ~领取:最新版“小中高考-总复习”、最新试卷下载 ∴ ∵ 是直角三角形, ∴ , ∵ , ∴ , ∴ , ∴ , ∵ , ∴ . (2)是定值 由(1)可知: , , ∵ , ∴ 设直线AD的解析式为:y=kx+b(k≠0), ∴ 解得: 83关注公众号:陆陆高分冲刺 ~领取:最新版“小中高考-总复习”、最新试卷下载 ∴直线AD的解析式为 , 设直线 的解析式为: ∴ 解得: ∴直线 的解析式为: 解方程组 ,得: , , 即 , ∴ , 同理, , , ∴ , , ∴ 为定值. (3)当 , 84关注公众号:陆陆高分冲刺 ~领取:最新版“小中高考-总复习”、最新试卷下载 ∴二次函数的解析式为: , ∴A(−2,0),B(4,0), , , ∴直线AD的解析式为 , 设直线 的解析式为:y=kx+b(k≠0), ∴ , ∴ ∴直线 的解析式为: ; 设直线CD的解析式为: ∴ ∴ ∴直线CD的解析式为: 经过 秒 的坐标为 , 的坐标为 , ① 当 ,即 时,重叠部分为梯形,如图, 85关注公众号:陆陆高分冲刺 ~领取:最新版“小中高考-总复习”、最新试卷下载 ∵ 与 的交点为 , 与AD的交点为 , 与 的交点为 , 与AD的交点为 , , ∴ ② 当 ,即 时,重叠部分为两个梯形,如图, ∵ 与 的交点为 , 与AD的交点为 , 与CD的交点为 , 与 AD的交点为 ,AD与 轴的交点为 , ∴ ∴ ∴ ∴ ③ 当 ,即 时,重叠部分为一个三角形,如图, 86关注公众号:陆陆高分冲刺 ~领取:最新版“小中高考-总复习”、最新试卷下载 ∵ 与CD的交点为 , 与AD的交点为 , ∴ ∴ 与 的函数关系式为 在运动过程中, 存在最大值,且当 时, . 【点睛】本题考查二次函数与几何的综合,解题的关键是掌握二次函数的图象和性质,一次函数的图象和 性质,勾股定理的应用,动点的运动轨迹进行解答,即可. 4.(2024·山东淄博·模拟预测)如图,已知二次函数 经过 , 两点, 轴于点 ,且 点 , , . 87关注公众号:陆陆高分冲刺 ~领取:最新版“小中高考-总复习”、最新试卷下载 (1)求抛物线的解析式; (2)点 是线段 上一动点(不与 , 重合),过点 作 轴的垂线,交抛物线于点 ,当线段 的长 度最大时,求点 的坐标及 ; (3)点 是抛物线对称轴上的一个动点,是否存在这样的 点,使 成为直角三角形?若存在,求出所 有点 的坐标;若不存在,请说明理由. 【答案】(1)二次函数的解析式为: ; (2) ; (3)存在,点 的坐标为 或 或 或 【分析】(1)先求出点 坐标,再利用待定系数法求出抛物线的解析式; (2)先利用待定系数法求出直线 的解析式,点 ,则 ,得出 ,利用二次函数求最值方法进一步求解即可; (3)根据题意,分三种情况 点 为直角顶点; 点 为直角顶点; 点 为直角顶点分别讨论求解即 可. 【详解】(1)解: 点 , , 88关注公众号:陆陆高分冲刺 ~领取:最新版“小中高考-总复习”、最新试卷下载 , , , , 把 和 代入二次函数 中得: , 解得: , 二次函数的解析式为: ; (2)解:如图1, 直线 经过点 和 , 设直线 的解析式为 , , 解得: , 直线 的解析式为: , 二次函数 , 89关注公众号:陆陆高分冲刺 ~领取:最新版“小中高考-总复习”、最新试卷下载 设点 ,则 , , 当 时, 的最大值为 , 点 的坐标为 , ; (3)解:存在, , 对称轴为直线 , 设 ,分三种情况: 点 为直角顶点时,由勾股定理得: , , 解得: , ; 点 为直角顶点时,由勾股定理得: , , 解得: , ; 点 为直角顶点时,由勾股定理得: , , 解得: 或 , 或 , 90关注公众号:陆陆高分冲刺 ~领取:最新版“小中高考-总复习”、最新试卷下载 综上,点 的坐标为 或 或 或 . 【点睛】本题考查的是二次函数的综合题,涉及的知识有:待定系数法求二次函数的解析式、求一次函数 解析式、二次函数的图象与性质、勾股定理、解二元一次方程、解一元二次方程等知识,熟练掌握待定系 数法和分类讨论的思想是解答本题的关键. 5.(2024·四川成都·中考真题)如图,在平面直角坐标系 中,抛物线 : 与 轴交于A,B两点(点 在点 的左侧),其顶点为 , 是抛物线第四象限上一点. (1)求线段 的长; (2)当 时,若 的面积与 的面积相等,求 的值; (3)延长 交 轴于点 ,当 时,将 沿 方向平移得到 .将抛物线 平移得到抛 物线 ,使得点 , 都落在抛物线 上.试判断抛物线 与 是否交于某个定点.若是,求出该定点 坐标;若不是,请说明理由. 【答案】(1) (2) (3)抛物线 与 交于定点 【分析】(1)根据题意可得 ,整理得 ,即可知 则有 ; (2)由题意得抛物线 : ,则 设 ,可求得 ,结合题意可得直线 解析式为 ,设直线 与抛物线对称轴交于 91关注公众号:陆陆高分冲刺 ~领取:最新版“小中高考-总复习”、最新试卷下载 点E,则 ,即可求得 ,进一步解得点 ,过D作 于点H,则 ,即可求得 ; (3)设 可求得直线 解析式为 ,过点D作 ,可得 ,结合题意得 设抛物线 解析式为 ,由于过点 , 可求得抛物线 解析式为 ,根据 解得 ,即可判断抛 物线 与 交于定点 . 【详解】(1)解:∵抛物线 : 与 轴交于A,B两点, ∴ ,整理得 ,解得 ∴ 则 ; (2)当 时,抛物线 : , 则 设 ,则 , 设直线 解析式为 , ∵点D在直线 上, ∴ ,解得 , 92关注公众号:陆陆高分冲刺 ~领取:最新版“小中高考-总复习”、最新试卷下载 则直线 解析式为 , 设直线 与抛物线对称轴交于点E,则 , ∴ , ∵ 的面积与 的面积相等, ∴ ,解得 , ∴点 , 过点D作 于点H,则 , 则 ; (3)设 直线 解析式为 , 则 ,解得 , 那么直线 解析式为 , 过点D作 ,如图, 则 , ∵ , 93关注公众号:陆陆高分冲刺 ~领取:最新版“小中高考-总复习”、最新试卷下载 ∴ , ∵将 沿 方向平移得到 , ∴ 由题意知抛物线 平移得到抛物线 ,设抛物线 解析式为 , ∵点 , 都落在抛物线 上 ∴ 解得 , 则抛物线 解析式为 ∵ 整理得 ,解得 , ∴抛物线 与 交于定点 . 【点睛】本题主要考查二次函数的性质、两点之间的距离、一次函数的性质、求正切值、二次函数的平移、 等腰三角形的性质和抛物线过定点,解题的关键是熟悉二次函数的性质和平移过程中数形结合思想的应用. 6.(2024·四川凉山·中考真题)如图,抛物线 与直线 相交于 两点, 与 轴相交于另一点 . (1)求抛物线的解析式; (2)点 是直线 上方抛物线上的一个动点(不与 重合),过点 作直线 轴于点 ,交直线 94关注公众号:陆陆高分冲刺 ~领取:最新版“小中高考-总复习”、最新试卷下载 于点 ,当 时,求 点坐标; (3)抛物线上是否存在点 使 的面积等于 面积的一半?若存在,请直接写出点 的坐标;若 不存在,请说明理由. 【答案】(1)抛物线的解析式为 (2) 的坐标为 (3) 的坐标为 或 或 或 【分析】(1)把 代入 求出 ,再用待定系数法可得抛物线的解析式为 ; (2)设 ,则 , ,由 ,可得 ,解出 的值 可得 的坐标为 ; (3)过 作 轴交直线 于 ,求出 ,知 ,故 ,设 ,则 ,可得 , ,根据 的面积等于 面积的一半,有 ,可得 ,即 或 ,解出 的值可得答案. 【详解】(1)解:把 代入 得: , , 把 , 代入 得: , 解得 , 95关注公众号:陆陆高分冲刺 ~领取:最新版“小中高考-总复习”、最新试卷下载 抛物线的解析式为 ; (2)解:设 ,则 , , , , 解得 或 (此时 不在直线 上方,舍去); 的坐标为 ; (3)解:抛物线上存在点 ,使 的面积等于 面积的一半,理由如下: 过 作 轴交直线 于 ,过点B作 ,延长 交x轴于点F,如图: 在 中,令 得 , 解得 或 , , , , , , 设 ,则 , , ∵ , 的面积等于 面积的一半, 96关注公众号:陆陆高分冲刺 ~领取:最新版“小中高考-总复习”、最新试卷下载 , , 或 , 解得 或 , 的坐标为 或 或 或 . 【点睛】本题考查二次函数的图像与性质,涉及待定系数法求函数解析式,抛物线与坐标轴交点问题,解 一元二次方程,三角形面积等知识,解题的关键是用含字母的式子表示相关点坐标和相关线段的长度. 7.(2024·四川眉山·中考真题)如图,抛物线 与 轴交于点 和点 ,与 轴交于点 ,点 在抛物线上. (1)求该抛物线的解析式; (2)当点 在第二象限内,且 的面积为3时,求点 的坐标; (3)在直线 上是否存在点 ,使 是以 为斜边的等腰直角三角形?若存在,请直接写出点 的坐 标;若不存在,请说明理由. 【答案】(1)抛物线的解析式为 (2) 的坐标为 或 (3) 的坐标为 或 或 或 【分析】(1)利用待定系数法求解; 97关注公众号:陆陆高分冲刺 ~领取:最新版“小中高考-总复习”、最新试卷下载 (2)过 作 轴交 于 ,求出直线 解析式,根据 列式求解; (3)先求出点A,B坐标,再求出直线 解析式,过 作 轴于 ,过 作 轴于 ,分 以下情况分别讨论即可:① 与 重合, 与 重合时;②当 在第一象限, 在第四象限时;③当 在 第四象限, 在第三象限时;④当 在第四象限, 在第一象限时. 【详解】(1)解:把 , 代入 得: , 解得 , 抛物线的解析式为 ; (2)解:过 作 轴交 于 ,如图: 由 , 得直线 解析式为 , 设 ,则 , , 的面积为3, ,即 , 解得 或 , 的坐标为 或(−2,3); 98关注公众号:陆陆高分冲刺 ~领取:最新版“小中高考-总复习”、最新试卷下载 (3)解:在直线 上存在点 ,使 是以 为斜边的等腰直角三角形,理由如下: 在 中,令 得 , 解得 或 , , , 由 , 得直线 解析式为 , 设 , , 过 作 轴于 ,过 作 轴于 , ① , 当 与 重合, 与 重合时, 是等腰直角三角形,如图: 此时 ; ②当 在第一象限, 在第四象限时, 是以 为斜边的等腰直角三角形, , , , , , , , 99关注公众号:陆陆高分冲刺 ~领取:最新版“小中高考-总复习”、最新试卷下载 , 解得 ( 小于0,舍去)或 , , 的坐标为 ; ③当 在第四象限, 在第三象限时,如图: 是以 为斜边的等腰直角三角形, , , , , , , , 同理可得 , 解得 或 (大于0,舍去), , 100关注公众号:陆陆高分冲刺 ~领取:最新版“小中高考-总复习”、最新试卷下载 的坐标为 ; ④当 在第四象限, 在第一象限,如图: 是以 为斜边的等腰直角三角形, , , , , , , , , 解得 (舍去)或 , , 的坐标为 ; 综上所述, 的坐标为(0,3)或 或 或 . 【点睛】本题属于二次函数综合题,考查待定系数法求函数解析式、二次函数中三角形面积计算、特殊三 角形存在性问题、等腰直角三角形的性质等,难度较大,熟练运用数形结合及分类讨论思想是解题的关键. 8.(2024·山东济宁·中考真题)已知二次函数 的图像经过 , 两点,其中a, b,c为常数,且 . 101关注公众号:陆陆高分冲刺 ~领取:最新版“小中高考-总复习”、最新试卷下载 (1)求a,c的值; (2)若该二次函数的最小值是 ,且它的图像与x轴交于点A,B(点A在点B的左侧),与y轴交于点C. ①求该二次函数的解析式,并直接写出点A,B的坐标; ②如图,在y轴左侧该二次函数的图像上有一动点P,过点P作x轴的垂线,垂足为D,与直线 交于点 E,连接 , , .是否存在点P,使 ?若存在,求此时点P的横坐标;若不存在,请说 明理由. 【答案】(1) , (2)①该二次函数的解析式为: ; , ②存在,P点横坐标为: 或 或 【分析】(1)先求得 ,则可得 和 关于对称轴 对称,由此可得 ,进 而可求得 ; (2)①根据抛物线顶点坐标公式得 ,由此可求得 ,进而可得抛物线的表达式为 ,进而可得 , ; ②分两种情况进行讨论:当点P在点A右侧时,当点P在点A左侧时,分别画出图形,求出点P的坐标即 可. 102关注公众号:陆陆高分冲刺 ~领取:最新版“小中高考-总复习”、最新试卷下载 【详解】(1)解:∵ 的图像经过 , ∴ , ∴ 和 关于对称轴 对称, ∴ , , , ∴ , . (2)解:①∵ , , ∴ , ∵ , ∵解得 , ∵ ,且 , ∴ , ∴ , ∴该二次函数的解析式为: , 当 时, , 解得 , , ∴ , . ②设直线 的表达式为: , 则 , 解得 , ∴直线 的表达式为: , 103关注公众号:陆陆高分冲刺 ~领取:最新版“小中高考-总复习”、最新试卷下载 当点P在点A右侧时,作 于F,如图所示: 设 ,则 , , 则 , , , ∵ , , , ∴ , ∵ , , 解得: , , ∴点P横坐标为 或 ; 当点P在点A左侧时,作 于F,如图所示: 104关注公众号:陆陆高分冲刺 ~领取:最新版“小中高考-总复习”、最新试卷下载 设 ,则 , , 则 , , , ∵ , , , ∴ , ∵ , , 解得: , (舍去), ∴点P横坐标为 , 105关注公众号:陆陆高分冲刺 ~领取:最新版“小中高考-总复习”、最新试卷下载 综上所述,P点横坐标为: 或 或 . 【点睛】本题考查了二次函数与一次函数综合,二次函数与几何综合,利用待定系数法求二次函数和一次 函数的表达式.熟练掌握“三角形面积 水平宽 铅锤高”是解题的关键. 9.(2024·山东东营·中考真题)如图,在平面直角坐标系中,已知抛物线 与 轴交于 , 两点,与 轴交于点 ,点 是抛物线上的一个动点. (1)求抛物线的表达式; (2)当点 在直线 下方的抛物线上时,过点 作 轴的平行线交 于点 ,设点 的横坐标为t, 的长为 ,请写出 关于 的函数表达式,并写出自变量 的取值范围; (3)连接 ,交 于点 ,求 的最大值. 【答案】(1) (2) (3) 【分析】(1)用待定系数法求出函数解析式即可; (2)先求出 ,再用待定系数法求出直线 的解析式为: ,可得出 , ,从而可得 ,再求出自变量取值范围即可; (3)分四种情形:当 时,作 ,交 于 ,可得出 ,从而 ,进而 106关注公众号:陆陆高分冲刺 ~领取:最新版“小中高考-总复习”、最新试卷下载 得出 ,进一步得出结果;当 , 和 时,可得出 没有最大 值. 【详解】(1)解: 抛物线 与 轴交于 , 两点, , 解得 , 该抛物线的解析式为: ; (2)解:二次函数 中,令 ,则 , , 设直线 的解析式为: .将 , 代入得到: ,解得 , 直线 的解析式为: , 过点 作 轴的平行线交 于点 ,设点 的横坐标为t, , , , 点 在直线 下方的抛物线上, ; (3)解:如图1, 107关注公众号:陆陆高分冲刺 ~领取:最新版“小中高考-总复习”、最新试卷下载 当 时, 作 ,交 于 , , , 把 代入 得, , , , 当 时, , , , 如图2, 108关注公众号:陆陆高分冲刺 ~领取:最新版“小中高考-总复习”、最新试卷下载 当 时, 此时 , , 时, 随着 的增大而增大, 没有最大值, 没有最大值, 如图3, 当 时, , 当 时, 随着 的增大而减小, 没有最大值, 没有最大值 , 如图4, 109关注公众号:陆陆高分冲刺 ~领取:最新版“小中高考-总复习”、最新试卷下载 当 时, 由上可知, 没有最大值, 综上所述:当 时, . 【点睛】本题考查了二次函数及其图象的性质,求一次函数的解析式,相似三角形的判定和性质等知识, 解决问题的关键是分类讨论. 题型五:二次函数与角度问题 1.角度的顶点位置及其一条夹边位置已确定,且角度为特殊角(30°、45°、60°、90°) 第一步:将已知角放在直角三角形中或者构造含特殊角的直角三角形 第二步:利用锐角三角函数将角度问题转化成线段比例问题 第三步:结合锐角三角函数值列方程求解 2.角度的顶点位置不确定,对边位置及长度已确定,且角度为特殊角(30°45°60°90°)需通过定弦定角构造辅助 圆,辅助圆与抛物线的交点即为所求点. 【中考母题学方法】 【典例5】(2024·湖北·中考真题)在平面直角坐标系中,抛物线 与x轴交于点 和点 B,与y轴交于点C. (1)求b的值; (2)如图,M是第一象限抛物线上的点, ,求点M的横坐标; (3)将此抛物线沿水平方向平移,得到的新抛物线记为L,L与y轴交于点N.设L的顶点横坐标为n, 的长为d. ①求d关于n的函数解析式; ②L与x轴围成的区域记为U,U与 内部重合的区域(不含边界)记为W.当d随n的增大而增大, 110关注公众号:陆陆高分冲刺 ~领取:最新版“小中高考-总复习”、最新试卷下载 且W内恰好有两个横、纵坐标均为整数的点时,直接写出n的取值范围. 【答案】(1) (2)点M的横坐标为 (3)① ;② 或 【分析】(1)用待定系数法求解即可; (2)设 ,作 轴于点 ,构造直角三角形,利用锐角三角函数或者相似建立关 于 的方程求解即可; (3)①由二次函数平移可得出图象 的解析式为 ,从而得到 ,再分类讨论去绝对值即可; ②根据题干条件得出整数点 , , ,再分别两两进行分类讨论,建立二次函数不等式即可解决. 【详解】(1)解: 二次函数 与 轴交于 , , 解得: ; (2) , 二次函数表达式为: , 令 ,解得 或 ,令 得 , , , , 设 , 作 轴于点 ,如图, , 111关注公众号:陆陆高分冲刺 ~领取:最新版“小中高考-总复习”、最新试卷下载 ,即 , 解得 或 (舍去), 的横坐标为 ; (3)① 将二次函数沿水平方向平移, 纵坐标不变为4, 图象 的解析式为 , , , ; ②由①得 ,画出大致图象如下, 随着 增加而增加, 或 , 中含 , , 三个整点(不含边界), 当 内恰有2个整数点 , 时, 当 时, ,当 时, , 112关注公众号:陆陆高分冲刺 ~领取:最新版“小中高考-总复习”、最新试卷下载 , , 或 , , 或 , ; 当 内恰有2个整数点 , 时, 当 时, ,当 时, , , 或 , , , 或 , ; 当 内恰有2个整数点 , 时,此种情况不存在,舍去. 综上所述, 的取值范围为 或 . 【点睛】本题主要考查了二次函数综合,包括用待定系数法求二次函数表达式及二次函数与线段交点的问 题,也考查了二次函数与不等式,相似三角形的判定和性质,熟练掌握二次函数的图象和性质以及数形结 合法是解题关键. 【变式5-1】(2024·江苏连云港·中考真题)在平面直角坐标系 中,已知抛物线 (a、b 为常数, ). 113关注公众号:陆陆高分冲刺 ~领取:最新版“小中高考-总复习”、最新试卷下载 (1)若抛物线与 轴交于 、 两点,求抛物线对应的函数表达式; (2)如图,当 时,过点 、 分别作 轴的平行线,交抛物线于点M、N,连接 .求证: 平分 ; (3)当 , 时,过直线 上一点 作 轴的平行线,交抛物线于点 .若 的最 大值为4,求 的值. 【答案】(1) (2)见解析 (3) 【分析】(1)利用待定系数法求解即可; (2)连接 ,根据题意,求得 , ,进而求出 , ,利用勾股 定理求出 ,求出 ,从而得到 ,结合平行线的性质即可证明结论; (3)设 ,则 , ,求出当 时, ,得到点 在 的上方, 设 ,故 ,其对称轴为 ,分为 和 两种情况讨论即可. 【详解】(1)解:分别将 , 代入 , 得 , 114关注公众号:陆陆高分冲刺 ~领取:最新版“小中高考-总复习”、最新试卷下载 解得 . 函数表达式为 ; (2)解:连接 , , . 当 时, ,即点 ,当 时, ,即点 . , , , , , 在 中, . , , . , . . 平分 . (3)解:设 ,则 , . 当 时, . 115关注公众号:陆陆高分冲刺 ~领取:最新版“小中高考-总复习”、最新试卷下载 令 , 解得 , . , , 点 在 的上方(如图1). 设 , 故 , 其对称轴为 ,且 . ①当 时,即 . 由图2可知: 当 时, 取得最大值 . 解得 或 (舍去). ②当 时,得 , 116关注公众号:陆陆高分冲刺 ~领取:最新版“小中高考-总复习”、最新试卷下载 由图3可知: 当 时, 取得最大值 . 解得 (舍去). 综上所述, 的值为 . 【点睛】本题考查抛物线与角度的综合问题,抛物线与x轴的交点,二次函数的解析式及最值等问题,关 键是利用二次函数的性质求最值. 【变式5-2】(2024·海南·中考真题)如图1,抛物线 经过点A(−4,0)、 ,交y轴于 点 ,点P是抛物线上一动点. (1)求该抛物线的函数表达式; (2)当点P的坐标为 时,求四边形 的面积; (3)当 时,求点P的坐标; (4)过点A、O、C的圆交抛物线于点E、F,如图2.连接 ,判断 的形状,并说明理由. 【答案】(1) 117关注公众号:陆陆高分冲刺 ~领取:最新版“小中高考-总复习”、最新试卷下载 (2)16 (3) 或 (4) 是等边三角形,理由见解析 【分析】(1)利用待定系数法求解即可; (2)过点P作 于T,根据 列式求解即可; (3)取 ,连接 ,易证明 ,则线段 与抛物线的交点 即为所求;求出 直线 的解析式为 ,联立 ,解得 或 (舍去),则 ;如图 所示,取 ,连接 ,同理可得 ,则直线 与抛物线的交点 即为所求; 同理可得 ;则符合题意的点P的坐标为 或 ; (4)由90度的圆周角所对的弦是直径得到 为过 三点的圆的直径,如图所示,取 中点 R,连接 ,则 , ;设 与抛物线交于 ,联立 得 ,解得 ,则 , 由勾股定理可得 ,则 是等边三角形. 【详解】(1)解:将点 代入 , 得 解得 ∴抛物线解析式为 ; 118关注公众号:陆陆高分冲刺 ~领取:最新版“小中高考-总复习”、最新试卷下载 (2)解:如图所示,过点P作 于T, ∵ ,A(−4,0), , ∴ , ∴ , ∴ ; (3)解:如图所示,取 ,连接 , ∵A(−4,0)、 , , ∴ , ∴ , ∴线段 与抛物线的交点 即为所求; 设直线 的解析式为 , ∴ , ∴ , 119关注公众号:陆陆高分冲刺 ~领取:最新版“小中高考-总复习”、最新试卷下载 ∴直线 的解析式为 , 联立 ,解得 或 (舍去), ∴ ; 如图所示,取 ,连接 , 同理可得 , ∴直线 与抛物线的交点 即为所求; 同理可知直线 的解析式为 , 联立 ,解得 或 (舍去), ∴ ; 综上所述,符合题意的点P的坐标为 或 ; (4)解: 是等边三角形,理由如下: ∵ 三点共圆,且 , ∴ 为过 三点的圆的直径, 如图所示,取 中点R,连接 , 120关注公众号:陆陆高分冲刺 ~领取:最新版“小中高考-总复习”、最新试卷下载 ∵ , ∴ , ∴ ; 设 与抛物线交于 , 联立 得 , ∴ , 解得 , 在 中,当 时, 当 时, ∴ , ∴ , , , ∴ , ∴ 是等边三角形. 121关注公众号:陆陆高分冲刺 ~领取:最新版“小中高考-总复习”、最新试卷下载 【点睛】本题主要考查了二次函数综合,一次函数与几何综合,勾股定理,圆的相关知识,解题的关键在 于正确作出辅助线并利用数形结合的思想求解. 【变式5-3】(2024·广东深圳·模拟预测)如图,抛物线与x轴交于A、B两点,与y轴交于点C, ,顶点为D (1)求二次函数的解析式; (2)P为直线 上方抛物线上一点,求 面积最大值及P点坐标; (3)P为第四象限抛物线上一点,且 ,求出点P的坐标; 【答案】(1) (2) 最大值为 , (3) 【分析】(1)先求得 ,设二次函数解析式为 ,再利用待定系 数法求解即可; (2)先求出直线 的解析式为: ,设 ,则 ,求出 122关注公众号:陆陆高分冲刺 ~领取:最新版“小中高考-总复习”、最新试卷下载 ,最后根据二次函数的性质即可得到答案; (3)过点C作 ,取一点E使 ,过点C作 轴,作 ,先证 明 ,可得 ,从而求出 ,由P为以 为直径的圆与抛物线的交点 的中点F,可得 ,设 可求得 ,再 求解即可. 【详解】(1) , , 设二次函数解析式为 , 将 代入得: , 故二次函数解析式为 ; (2)如图,连接 ,过点P作 , 设直线 的解析式为: , 将 , 代入直线 的解析式得: , 123关注公众号:陆陆高分冲刺 ~领取:最新版“小中高考-总复习”、最新试卷下载 解得 , 直线 的解析式为: , 设 ,则 , , , 由此可得,当 , 最大为 , 当 时, , ; (3)如图,过点C作 ,取一点E使 ,过点C作 轴,作 , , , , , , , , 124关注公众号:陆陆高分冲刺 ~领取:最新版“小中高考-总复习”、最新试卷下载 , P为以 为直径的圆与抛物线的交点 的中点F, , , 设 解得: , 将 代入 得: , 【点睛】本题主要考查了待定系数法求一次函数的解析式、二次函数的图象与性质、圆周角定理,相似三 角形的判定与性质,熟练掌握二次函数的图象与性质、圆周角定理,相似三角形的判定与性质,添加适当 的辅助线,是解题的关键. 【变式5-4】(2024·山东烟台·中考真题)如图,抛物线 与 轴交于 , 两点,与 轴交 于点 , , ,对称轴为直线 ,将抛物线 绕点 旋转 后得到新抛物线 ,抛 物线 与 轴交于点 ,顶点为 ,对称轴为直线 . 125关注公众号:陆陆高分冲刺 ~领取:最新版“小中高考-总复习”、最新试卷下载 (1)分别求抛物线 和 的表达式; (2)如图 ,点 的坐标为 ,动点 在直线 上,过点 作 轴与直线 交于点 ,连接 , .求 的最小值; (3)如图 ,点 的坐标为 ,动点 在抛物线 上,试探究是否存在点 ,使 ?若 存在,请直接写出所有符合条件的点 的坐标;若不存在,请说明理由. 【答案】(1) , (2) (3)存在, 或 【分析】(1)先求出点A、B、C坐标,再用待定系数法求出抛物线 的表达式,求出其顶点坐标,由旋 转可知抛物线 的二次项系数 为原来的相反数,顶点坐标与抛物线 的顶点坐标关于原点对称,即可求 解; (2)将点F向右平移2个单位至 ,则 , ,过点D作直线 的对称点为 ,连接 ,则四边形 为平行四边形,则 , ,因此 ,即可求解; (3)当点P在直线 右侧抛物线上时,可得 ,作H关于直线 的对称点 ,则点 在直线 上, 126关注公众号:陆陆高分冲刺 ~领取:最新版“小中高考-总复习”、最新试卷下载 可求直线 的表达式为 ,联立 , 解得: 或 (舍),故 ;当点 P在直线 左侧抛物线上时,延长 交y轴于点N,作 的垂直平分线交 于点Q,交y轴于点M,过 点E作 轴于点K,则 ,可得 ,可证明出 ,由 ,得 ,设 ,则 , ,在 和 中, 由勾股定理得 ,解得: 或 (舍),所以 ,可求直线 表 达式为: ,联立 ,解得: 或 (舍),故 . 【详解】(1)解:设对称轴与x轴交于点G, 由题意得 , ∵对称轴为直线 , ∴ , ∴ , ∴ , 将A、B、C分别代入 , 127关注公众号:陆陆高分冲刺 ~领取:最新版“小中高考-总复习”、最新试卷下载 得: , 解得: , ∴ , ∴ ,顶点为 ∵抛物线 绕点 旋转 后得到新抛物线 , ∴抛物线 的 ,顶点为 , ∴ 的表达式为: ,即 (2)解:将点F向右平移2个单位至 ,则 , ,过点D作直线 的对称点为 ,连接 , ∴ , ∵ , ∴直线 为直线 , ∵ 轴, 128关注公众号:陆陆高分冲刺 ~领取:最新版“小中高考-总复习”、最新试卷下载 ∴ , 对于抛物线 ,令 ,则 , ∴ , ∵点D与点 关于直线 对称, ∴点 , ∵ 轴, , ∴四边形 为平行四边形, ∴ , ∴ , 当点 三点共线时,取得最小值, 而 , ∴ 的最小值为 ; (3)解:当点P在直线 右侧抛物线上时,如图: ∵抛物线 , ∴ ∵ 轴, 129关注公众号:陆陆高分冲刺 ~领取:最新版“小中高考-总复习”、最新试卷下载 ∴ , ∵ , ∴ , ∴ , 作H关于直线 的对称点 ,则点 在直线 上, ∵点 的坐标为 ,直线 : , ∴ , 设直线 的表达式为:y=kx+b(k≠0), 代入 , , 得: , 解得: , ∴直线 的表达式为 , 联立 ,得: , 解得: 或 (舍), ∴ ; ②当点P在直线 左侧抛物线上时,延长 交y轴于点N,作 的垂直平分线交 于点Q,交y轴于 点M,过点E作 轴于点K,则 ,如图: 130关注公众号:陆陆高分冲刺 ~领取:最新版“小中高考-总复习”、最新试卷下载 ∵ 垂直平分 , ∴ , ∴ , ∴ , ∵ ∴ , ∴ , 由点 得: , ∵ , ∴ , ∴ , ∴ , 设 , ∴ , , 在 和 中,由勾股定理得 , ∴ , 解得: 或 (舍) 131关注公众号:陆陆高分冲刺 ~领取:最新版“小中高考-总复习”、最新试卷下载 ∴ , ∴ , ∴ , 设直线 表达式为: , 代入点N,E, 得: , 解得: ∴直线 表达式为: , 联立 , 得: , 整理得: 解得: 或 (舍), ∴ , 综上所述, 或 . 【点睛】本题是一道二次函数与角度有关的综合题,考查了待定系数法求函数解析式,三角形三边关系求 最值,平行四边形的判定与性质,中心对称图形的性质,勾股定理,相似三角形的判定与性质,熟练掌握 知识点,正确添加辅助线是解决本题的关键. 【中考模拟即学即练】 1.(2024·湖北武汉·模拟预测)如图,已知抛物线 与x轴交于点A,B(点A在点B的左 132关注公众号:陆陆高分冲刺 ~领取:最新版“小中高考-总复习”、最新试卷下载 边),与y轴负半轴交于点C,且 ,直线 经过B,C两点. (1)求抛物线的解析式; (2)如图1,点D在抛物线上,满足 ,求点D的坐标; (3)如图2,设抛物线的顶点为T,直线 与抛物线交于点E,F(点E在点F左侧),G为 的 中点,求 的值. 【答案】(1) ; (2) 或 ; (3) . 【分析】(1)把C(0,−3)代入 得 ,求出 ,用待定系数法可得抛物线的解析式为 ; (2)求出 , , ,分两种情况:①当D在 下方时,设 延长线交 x轴于K,证明 ,有 ,得 , ,即可求得直线 解析式为 , 133关注公众号:陆陆高分冲刺 ~领取:最新版“小中高考-总复习”、最新试卷下载 联立 可解得 ;②当 在 上方时,设 交x轴于W,过B作 轴交直 线 于T,证明 ,可得 ,求出 , ,知 ,故直线 的解析式为 ,联立 ,解得 ; (3)求出抛物线顶点T坐标 ,联立 得 ,设 , , 则 , , , ,由G为 的中点,知 ,故 ;根据两点间距离公式可得 ,即可得 的值为 . 【详解】(1)解:∵ ,C在y轴负半轴, ∴C(0,−3), 把C(0,−3)代入 得 , ∴ , 令 得 , ∴ , 把 ,C(0,−3)代入 得: , 134关注公众号:陆陆高分冲刺 ~领取:最新版“小中高考-总复习”、最新试卷下载 解得 , ∴抛物线的解析式为 ; (2)解:在 中,令 得 , 解得 或 , ∴ , , ∵ ,C(0,−3), ∴ , ∴ , ∵ , ∴ , ①当D在 下方时,设 延长线交x轴于K,如下图, 此时 , ∴ ,即 , ∴ , ∵ , ∴ , ∴ ,即 , 135关注公众号:陆陆高分冲刺 ~领取:最新版“小中高考-总复习”、最新试卷下载 ∴ , , 由C(0,−3), 得直线 解析式为 , 联立 , 解得 或 , ∴ ; ②当 在 上方时,设 交x轴于W,过B作 轴交直线 于T,如上图, 此时 , , 又 , ∴ , ∴ , 在 中,令 得 , ∴ , , ∴ , , ∴ , 由 ,C(0,−3)得直线CW的解析式为 , 联立 , 解得 或 , ∴ ; 136关注公众号:陆陆高分冲刺 ~领取:最新版“小中高考-总复习”、最新试卷下载 综上所述,D的坐标为 或 ; (3)解:由 知抛物线顶点T坐标为 , 联立 得 , 设 , ,则 , , , , ∴ , ∵G为 的中点, ∴ , ∴ ; ∵ , ∴ , ∴ , ∴ , ∴ 的值为 . 【点睛】本题考查二次函数综合应用,涉及待定系数法,三角形全等的判定与性质,相似三角形判定与性 质,根与系数的关系,两点间距离公式等知识,解题的关键是用含字母的代数式表示相关点坐标和相关线 段的长度. 2.(2024·重庆渝北·模拟预测)如图, 直线 与x,y轴分别交于点A,B,抛物线 137关注公众号:陆陆高分冲刺 ~领取:最新版“小中高考-总复习”、最新试卷下载 经过A, B两点,与x轴的另外一个交点为C,点P是直线 上方抛物线上的一动点, 过点P作y轴的平行线交直线 于点 D. (1)求抛物线的表达式; (2)求 的最大值及此时点P的坐标; (3)在点P运动过程中,连接 ,当 的中点恰好落在y轴上时,连接 ,在抛物线 上是否存在点Q,使得 ,如果存在,请写出所有符合条件的点Q的坐标;如果不存在,请 说明理由. 【答案】(1) (2) 的最大值为 , (3)存在,所有符合条件的点Q的坐标为 或 【分析】(1)当 时, ,即 ;当 时, ,可求 ,即 ,将 , 代入 得, ,可求 ,进而可得抛物线的表达式; (2)由(1)可知, ,勾股定理得, ,如图1,作 轴于 , 138关注公众号:陆陆高分冲刺 ~领取:最新版“小中高考-总复习”、最新试卷下载 设 ,则 , , , ,证明 ,则 ,即 ,可求 ,则 ,由 ,可知当 时, 的 值最大,进而可求最大值以及点 的坐标; (3)令 ,可求 或 ,则 ,由 的中点恰好落在y轴上,可得 ,可求 ,即 ;如图2,作 ,交抛物线于 ,则 ,待定系 数法求 的解析式为 ,联立 ,计算求解即可;如图2,在 上取点 , 连接 ,交抛物线于 ,使 ,则 , ,设 ,则 , ,则 ,可求 ,则 ,同理,直线 的解析式为 ,联立 ,计算求解即可. 139关注公众号:陆陆高分冲刺 ~领取:最新版“小中高考-总复习”、最新试卷下载 【详解】(1)解:当 时, ,即 ; 当 时, , 解得, , ∴ , 将 , 代入 得, , 解得, , ∴抛物线的表达式为 ; (2)解:由(1)可知, , 勾股定理得, , 如图1,作 轴于 ,设 ,则 , , , , ∵ , , ∴ , ∴ ,即 , 140关注公众号:陆陆高分冲刺 ~领取:最新版“小中高考-总复习”、最新试卷下载 解得, , ∴ , ∵ , ∴当 时, 的值最大,最大值为 , ; (3)解:令 , 解得, 或 , ∴ , ∵ 的中点恰好落在y轴上, ∴ , 解得, , ∴ ; 如图2,作 ,交抛物线于 , ∴ , 设 的解析式为 , 将 代入 得, , 141关注公众号:陆陆高分冲刺 ~领取:最新版“小中高考-总复习”、最新试卷下载 解得, , ∴ 的解析式为 , 联立 , 解得, 或 , ∴ ; 如图2,在 上取点 ,连接 ,交抛物线于 ,使 , ∴ , ∴ , 设 ,则 , , ∴ , 解得, , ∴ , 同理,直线 的解析式为 , 联立 , 解得, 或 , 142关注公众号:陆陆高分冲刺 ~领取:最新版“小中高考-总复习”、最新试卷下载 ∴ ; 综上所述,存在,所有符合条件的点Q的坐标为 或 . 【点睛】本题考查了一次函数与二次函数的交点,一次函数解析式,二次函数解析式,二次函数与线段综 合,二次函数与角度综合,勾股定理,等角对等边,相似三角形的判定与性质等知识.熟练掌握一次函数 与二次函数的交点,一次函数解析式,二次函数解析式,二次函数与线段综合,二次函数与角度综合,勾 股定理,等角对等边,相似三角形的判定与性质是解题的关键. 3.(2024·安徽合肥·模拟预测)已知抛物线 ,函数值y和自变量x的部分对应取值如 下表所示,在m,n,p这三个实数中,有两个是正数,且没有负数: x … 0 1 … y … 4 m n 4 p … (1)求抛物线的表达式; (2)该抛物线与x轴交于A,B两点(点A在点B左侧),与y轴交于点C,D为抛物线上一点. ①若点D在第二象限,过点D作x轴的垂线,垂足为E,设DE交 于点F,当 取得最大值时, 求点D的坐标; ②是否存在点D,使得 ?若存在,请求出点D的坐标,若不存在,请说明理由. 【答案】(1)抛物线的表达式为 (2)①点 的坐标为 ;②点 的坐标为 或 【分析】(1)用待定系数法求解即可; (2)①求出直线 的表达式,设点 的横坐标为 ,表示出 , ,则 , ,即可求解; ②如图,过点 作 轴,垂足为 ,设 ,则 ,当 143关注公众号:陆陆高分冲刺 ~领取:最新版“小中高考-总复习”、最新试卷下载 时, ,由 可得 .分为(I)当点 在 轴上方 时,(II)当点 在 轴下方时,分别求解即可. 【详解】(1)解:由题意可知,抛物线经过点 , ∴抛物线的对称轴为直线 , ∵ , ∴ , ∵ 这三个实数中,有两个是正数,且没有负数, ∴ , ∴抛物线经过 ,代入可得 , ∵ , , 将 代入到 中, 解得 , ∴抛物线的表达式为 ; (2)解:①根据解析式可得 , 将 代入 ,得 或 , , 设直线 的表达式为 , 将 代入, 得 ,解得 , ∴直线 的表达式为 , 设点 的横坐标为 , 144关注公众号:陆陆高分冲刺 ~领取:最新版“小中高考-总复习”、最新试卷下载 ∵抛物线的表达式为 , ∴ , ∵ 轴, ∴ , ∴ , ∴ , ∵ , ∴当 时, 取得最大值,最大值为 , 此时点 的坐标为 ; ②存在点 ,使得 . 如图,过点 作 轴,垂足为 ,设 , 根据题意可得 是锐角,故点D在点A右侧, , ∵ , ∴ , , ∴当 时, , 145关注公众号:陆陆高分冲刺 ~领取:最新版“小中高考-总复习”、最新试卷下载 由 可得 . (I)当点 在 轴上方时, , 整理得 , 解得 (舍去); (II)当点 在 轴下方时, ,整理得 , 解得 (舍去), ∴点 的坐标为 或 . 【点睛】本题考查了待定系数法求函数解析式,二次函数图象上点的坐标特征,勾股定理,解一元二次方 程,解直角三角形等知识点,以及分类讨论的数学思想,分类讨论是解答本题的关键.本题难度较大,属 中考压轴题. 4.(2024·内蒙古呼伦贝尔·模拟预测)如图,已知抛物线 与x轴交于A、B两点,与y轴交 于点C,并且经过 , 两点. (1)求抛物线的解析式; (2)点D为直线 下方抛物线上的一动点,直线 交线段 于点E,请求出 的最大值; (3)探究:在抛物线上是否存在点M,使得 ?若存在,求出点M的坐标;若不存在,说明 146关注公众号:陆陆高分冲刺 ~领取:最新版“小中高考-总复习”、最新试卷下载 理由. 【答案】(1) (2) (3)存在,M坐标为 或 【分析】(1)由抛物线 经过 , 两点,知对称轴为直线 ,可 得 ,即可求出b的值,从而得到抛物线的解析式; (2)过D作 轴交 于F,过B作 轴交 于G,在 中,得 ,直线 解析式为 ,即可知 ,设 ,则 ,从而表示出 ,由 ,得 , 可得当 时, 取最大值 ; (3)作 关于y轴的对称点 ,连接 ,在 上取点K,使 ,作直线 交 抛物线于M,根据 关于y轴对称, ,可知M是满足条件的点,设 , 由 得 ,直线 解析式为 ,解 ,即可得 ; 147关注公众号:陆陆高分冲刺 ~领取:最新版“小中高考-总复习”、最新试卷下载 由对称性可知,若 为 关于x轴的对称点,则直线 与抛物线交点 也满足 ,此时直线 解析式为 ,同理可得 . 【详解】(1)解:∵抛物线 经过 , 两点, ∴抛物线 的对称轴为直线 , ∴ , ∴ , ∴抛物线的解析式为 ; (2)过D作 轴交 于F,过B作 轴交 于G,如图: 在 中,令 得 ,令 得 或 , , 由 得直线 解析式为 , 在 中,令 得 , ∴ , 148关注公众号:陆陆高分冲刺 ~领取:最新版“小中高考-总复习”、最新试卷下载 设 ,则 , ∴ , ∵ 轴, 轴, ∴ , ∴ , ∴ , ∴ , ∵ , ∴当 时, 取最大值 ; 答: 的最大值为 ; (3)存在,理由如下: 作 关于y轴的对称点 ,连接 ,在 上取点K,使 ,作直线 交抛物线 于M,如图: ∵ 关于y轴对称, ∴ , ∴ , ∵ , , ∴ , 149关注公众号:陆陆高分冲刺 ~领取:最新版“小中高考-总复习”、最新试卷下载 ∴ , ∴M是满足条件的点, 由 得直线 解析式为 , 设 , ∵ , ∴ , 解得 或 , ∴ , 由 , 得直线 解析式为 , 解 , 得 或 , ∴ ; 由对称性可知,若 为 关于x轴的对称点,则直线 与抛物线交点 也满足 , 此时直线 解析式为 , 由 150关注公众号:陆陆高分冲刺 ~领取:最新版“小中高考-总复习”、最新试卷下载 得 或 , ∴ ; 综上所述,M坐标为 或 . 【点睛】本题考查了二次函数的综合应用,涉及待定系数法求解析式、相似三角形的判定与性质、等腰三 角形等知识,解题的关键是作辅助线,构造相似三角形、等腰三角形解决问题. 5.(2024·湖南·模拟预测)定义:若抛物线 沿 轴向右平移 个单位长度得到抛物线 ,那么我们称抛 物线 是 的“友好抛物线”, 称为“友好值”.如图,抛物线 与 轴交于 两点,抛物线 是 的“友好抛物线”,“友好值”为2,抛物线 与 轴交于 两点,与 轴交于点 ,作直线 ,点 是抛物线 上一动点. (1)抛物线 的表达式为_________; (2)若点 在第四象限,过点 作 轴于点 ,交 于点 ,当 时,求 的长; (3)是否存在点 ,使得 ?若存在,请求出点 的坐标;若不存在,请说明理由. 【答案】(1) 151关注公众号:陆陆高分冲刺 ~领取:最新版“小中高考-总复习”、最新试卷下载 (2) (3)存在,点 的坐标为 或 【分析】(1)用待定系数法求出抛物线 的解析式,然后根据“友好值”为2即可求出抛物线 的解析 式; (2)先求出 ,用待定系数法求出直线 的表达式 ,设 ,则 ,则 ,然后根据 列式即可 求解; (3)分点M在直线 上方和点M在直线 下方两种情况求解即可. 【详解】(1)解:把 代入 ,得 , 解得 , ∴抛物线 的解析式为 , ∵“友好值”为2, ∴抛物线 的解析式为 . 故答案为: ; (2)解:抛物线 的表达式为 , ∴ . 设直线 的表达式为 , 将点 ,C的坐标代入, 152关注公众号:陆陆高分冲刺 ~领取:最新版“小中高考-总复习”、最新试卷下载 得 , 解得 , ∴.直线 的表达式为 . 设 ,则 , ∴ ∵ ∴ 解得 或 (舍去), ∴当 时, , ∴点M的坐标为 , ∴ ; (3)解:当点M在直线 上方时,设直线 交x轴于点D, ∵ , ∴ , ∴ 是等腰直角三角形, ∴ , ∵ , ∴ , 153关注公众号:陆陆高分冲刺 ~领取:最新版“小中高考-总复习”、最新试卷下载 ∴ , ∴点D的坐标为 , 设直线 的解析式为 , 将 代入,可得 , ∴直线 的解析式为 , 令 , 解得 (舍去), , 当 时, , ∴ ; 当点M在直线 下方时,设直线 交x轴于点E, ∵ , ∴ , ∴ , ∴点E的坐标为 , 154关注公众号:陆陆高分冲刺 ~领取:最新版“小中高考-总复习”、最新试卷下载 设直线 的解析式为 , 将 代入,可得 , ∴直线 的解析式为 , 令 , 解得 (舍去), , 当 时, , ∴ ; 综上可知,当 时,点 的坐标为 或 【点睛】本题考查了待定系数法求二次函数和一次函数函数解析式,二次函数的图象与性质,二次函数的 平移,二次函数与几何综合,以及解直角三角形等知识,数形结合是解答本题的关键. 6.(2024·江苏苏州·一模)如图1,在平面直角坐标系中,O为坐标原点,拋物线 与轴交于 点 、 两点,与 轴交于点 ,连接 . (1)求抛物线的解析式; (2)点Q为抛物线上的一点(不与点A重合),当 的面积等于 面积的2倍时,求此时点Q的坐 标; 155关注公众号:陆陆高分冲刺 ~领取:最新版“小中高考-总复习”、最新试卷下载 (3)如图2,点 在 轴下方的抛物线上,点 为抛物线的顶点.过点 作 轴于点 ,连接 交 于点 ,连接 , ,探究抛物线上是否存在点 ,使 ,若存在,请直接写出点 的坐标;若不存在,请说明理由. 【答案】(1) (2) (3)存在点 ,使 的坐标为 )或 【分析】(1)用待定系数法即可求得抛物线的解析式; (2)设 ,求出 ,直线 函数表达式为 ,知 ,分为当点Q在直线 下方时和点Q在直线 上方时,分别求解即可. (3)过A作 轴交 延长线于 ,过 作 于 ,过 作 轴于 ,过 作 于 ,分两种情况:当 在 上方时,求出顶点 ,可得 ,故 ,有 ,而 ,即可得 ,从而证明 ,得 ,得 ,故 ,即可得 是等腰直角三角形,证明 ,有 ,设 ,则 156关注公众号:陆陆高分冲刺 ~领取:最新版“小中高考-总复习”、最新试卷下载 ,解得 ,得直线 函数表达式为 ,联法 ,可得 ; 当 在 下方时,同理可得 . 【详解】(1)解:把 代入 得: , 解得: , ∴抛物线的解析式为 ; (2)解:设 ,过点Q作 轴,交 于点 , 在 中,令 得 , 解得: 或 , , ∵ , , 157关注公众号:陆陆高分冲刺 ~领取:最新版“小中高考-总复习”、最新试卷下载 ∴ , ∴ ; ∵ , ∴设直线 的函数表达式为 ,代入B得 ,解得: , ∴直线 的函数表达式为 , , , 当点Q在直线 下方时: , 即 ,无解; 当点Q在直线 上方时: , 即 ,解得: 或 ; 综上,此时,点Q的坐标为 或 ; (3)解:存在点 ,使 , 理由如下:过A作 轴交 延长线于 ,过 作 于 ,过 作 轴于 ,过 作 于 , 158关注公众号:陆陆高分冲刺 ~领取:最新版“小中高考-总复习”、最新试卷下载 当 在 上方时,如图: , ∴顶点 , ∵ , ∴ , ∴ , ∴ , ∴ , ∵ , ∴ , ∴ , ∴ , ∴ , ∴ , ∵ , ∴ , ∵ , ∴ , ∴ , 159关注公众号:陆陆高分冲刺 ~领取:最新版“小中高考-总复习”、最新试卷下载 ∴ , , , , , , , ∴ 是等腰直角三角形, , , , , 设 , , 解得 , , ∵ 设直线 函数表达式为 ,则 , 解得 , 160关注公众号:陆陆高分冲刺 ~领取:最新版“小中高考-总复习”、最新试卷下载 故直线 函数表达式为 , 联立 , 解得 或 , ; 当 在 下方时,同理可得 , 可得 函数表达式为 , 联立 , 解得 或 , , 综上所述, 的坐标为 或 . 【点睛】本题考查二次函数综合应用,涉及全等三角形判定与性质,等腰直角三角形性质及应用,待定系 数法等知识,解题的关键是用含字母的式子表示相关点坐标和相关线段的长度. 7.(2024·广东清远·模拟预测)综合探究 如图,在 中 , ,经过点C的直线 交x轴正半轴于点B(4,0),一抛物线经 过点A、B、C,顶点为D,对称轴交x轴于点E. 161关注公众号:陆陆高分冲刺 ~领取:最新版“小中高考-总复习”、最新试卷下载 (1)求抛物线及直线 的函数表达式; (2)若点G是在第一象限内抛物线上的一动点,求使 面积达到最大时点G的坐标,并求出此时面积的 最大值; (3)若点P是抛物线上对称轴右侧一点,点Q是直线 上一点,试探究是否存在以点E为直角顶点的 ,满足 .若存在,求出点P的坐标;若不存在,请说明理由. 【答案】(1) , (2)最大值为4,点G坐标为 (3)存在,点P的坐标为 或 【分析】(1)求出C点坐标,再用待定系数法求二次函数和一次函数解析式即可; (2)过点G作 轴,交直线 于点F,,设点G坐标为 ,点F坐标为 , 用e表示出的面积为 ,得出当 时, 面积取得最大值,最大值为4,求出 点 的坐标即可; (3)分别过点P、Q作x轴的垂线,垂足分别为N、M,,证 ,利用对应边成比例可以解 题. 【详解】(1)解:设抛物线的表达式为 , ∵ , , ∴点A的坐标为 ,点C的坐标为(0,4), 又∵点B的坐标为 , ∴将点A、B、C的坐标代入抛物线表达式得: 162关注公众号:陆陆高分冲刺 ~领取:最新版“小中高考-总复习”、最新试卷下载 ,解得 , ∴抛物线的表达式为 . 将点B、C的坐标代入直线 得: ,解得 , ∴直线BC的表达式为 . (2)解:如图,过点G作 轴,交直线 于点F, 设点G坐标为 ,点F坐标为 , 则 , 故 , ∴当 时, 面积取得最大值,最大值为4,此时点G坐标为 . (3)解:存在. ∵抛物线 的对称轴为直线 , ∴点E的坐标为(1,0). 设点P的坐标为 、点Q的坐标为 , 则 , , , , 163关注公众号:陆陆高分冲刺 ~领取:最新版“小中高考-总复习”、最新试卷下载 ①当点Q在点P的左侧时,如图,分别过点P、Q作x轴的垂线,垂足分别为N、M, ∴ , 由题意得: , ∴ , ∵ , ∴ , ∴ , 又∵ , ∴ , ∴ ,解得 (舍去负值), 当 时, , ∴点P的坐标为 . ②当点Q在点P的右侧时,如图,分别过点P、Q作抛物线对称轴的垂线,垂足分别为N、M, 则 , , , , 同理可得: ∽ ,∴ , ∴ ,解得 (舍去负值), 164关注公众号:陆陆高分冲刺 ~领取:最新版“小中高考-总复习”、最新试卷下载 ∴当 时, , ∴点P的坐标为 , 综上所述,点P的坐标为 或 【点睛】本题主要考查了二次函数的综合,包括解直角三角形、直角三角形存在性问题,相似三角形的判 定与性质,解题关键是熟练运用二次函数知识,设出点的坐标,利用相似三角形的判定与性质表示出其他 点的坐标,列出方程. 8.(2024·重庆·中考真题)如图,在平面直角坐标系中,抛物线 经过点 ,与 轴交于点 ,与 轴交于 两点( 在 的左侧),连接 . (1)求抛物线的表达式; (2)点 是射线 上方抛物线上的一动点,过点 作 轴,垂足为 ,交 于点 .点 是线段 上一动点, 轴,垂足为 ,点 为线段 的中点,连接 .当线段 长度取得最大 值时,求 的最小值; (3)将该抛物线沿射线 方向平移,使得新抛物线经过(2)中线段 长度取得最大值时的点 ,且与直 线 相交于另一点 .点 为新抛物线上的一个动点,当 时,直接写出所有符合条件的 点 的坐标. 【答案】(1) ; (2) 的最小值为 ; 165关注公众号:陆陆高分冲刺 ~领取:最新版“小中高考-总复习”、最新试卷下载 (3)符合条件的点 的坐标为 或 . 【分析】(1)利用正切函数求得 ,得到 ,再利用待定系数法即可求解; (2)求得A(−4,0),利用待定系数法求得直线 的解析式,设 ,求得 最大,点 ,再证明四边形 是平行四边形,得到 ,推出当 共线时, 取最小值, 即 取最小值,据此求解即可; (3)求得 ,再利用平移的性质得到新抛物线的解析式 ,再分两种情况讨论,计算 即可求解. 【详解】(1)解:令 ,则 , ∴ , ∴ , ∵ , ∴ , ∴ , ∴ , 将 和 代入 得 , 解得 , ∴抛物线的表达式为 ; (2)解:令 ,则 , 解得 或 , 166关注公众号:陆陆高分冲刺 ~领取:最新版“小中高考-总复习”、最新试卷下载 ∴A(−4,0), 设直线 的解析式为 , 代入A(−4,0),得 , 解得 , ∴直线 的解析式为 , 设 ( ),则 , ∴ , ∵ , ∴当 时, 最大,此时 , ∴ , , , ∴ , , 连接 , ∴四边形 是平行四边形, ∴ , ∴ , ∴当 共线时, 取最小值,即 取最小值, ∵点 为线段 的中点, ∴ , ∴ , 167关注公众号:陆陆高分冲刺 ~领取:最新版“小中高考-总复习”、最新试卷下载 ∴ 的最小值为 ; (3)解:由(2)得点 的横坐标为 ,代入 ,得 , ∴ , ∴新抛物线由 向左平移2个单位,向下平移2个单位得到, ∴ , 过点 作 交抛物线 于点 , ∴ , 同理求得直线 的解析式为 , ∵ , ∴直线 的解析式为 , 联立得 , 解得 , , 当 时, , ∴ , 作 关于直线 的对称线得 交抛物线 于点 , ∴ , 设 交 轴于点 , 由旋转的性质得到 , 过点 作 轴,作 轴于点 ,作 于点 , 168关注公众号:陆陆高分冲刺 ~领取:最新版“小中高考-总复习”、最新试卷下载 当 时, , 解得 , ∴ ∵A(−4,0), , ∴ , ∴ , ∵ 轴, ∴ , ∴ , ∵ , ∴ , ∴ , , ∴ , 同理直线 的解析式为 , 联立 , 解得 或 , 169关注公众号:陆陆高分冲刺 ~领取:最新版“小中高考-总复习”、最新试卷下载 当 时, , ∴ , 综上,符合条件的点 的坐标为 或 . 【点睛】本题是二次函数综合问题,考查二次函数的图象及性质,待定系数法确定函数关系式,熟练掌握 二次函数的图象及性质,轴对称的性质,直角三角形的性质,数形结合是解题的关键. 9.(2024·四川广安·中考真题)如图,抛物线 与 轴交于 , 两点,与 轴交于点 , 点 坐标为 ,点 坐标为 . (1)求此抛物线的函数解析式. (2)点 是直线 上方抛物线上一个动点,过点 作 轴的垂线交直线 于点 ,过点 作 轴的垂线, 垂足为点 ,请探究 是否有最大值?若有最大值,求出最大值及此时 点的坐标;若没有最大值, 请说明理由. (3)点 为该抛物线上的点,当 时,请直接写出所有满足条件的点 的坐标. 【答案】(1) (2) 的最大值为 , 点的坐标为 (3)点 的坐标为 或 【分析】(1)直接利用抛物线的交点式可得抛物线的解析式; 170关注公众号:陆陆高分冲刺 ~领取:最新版“小中高考-总复习”、最新试卷下载 (2)先求解 ,及直线 为 ,设 ,可得 ,再建立二 次函数求解即可; (3)如图,以 为对角线作正方形 ,可得 , 与抛物线的另一个交点 即为 ,如图,过 作 轴的平行线交 轴于 ,过 作 于 ,则 ,设 , 则 ,求解 ,进一步求解直线 为: ,直线 为 ,再求 解函数的交点坐标即可. 【详解】(1)解:∵抛物线 与 轴交于 , 两点,与 轴交于点 ,点 坐标为 ,点 坐标为 . ∴ ; (2)解:当 时, , ∴ , 设直线 为 , ∴ ,解得: , ∴直线 为 , 设 , ∴ , ∴ ; 171关注公众号:陆陆高分冲刺 ~领取:最新版“小中高考-总复习”、最新试卷下载 当 时,有最大值 ; 此时 ; (3)解:如图,以 为对角线作正方形 , ∴ , ∴ 与抛物线的另一个交点即为 , 如图,过 作 轴的平行线交 轴于 ,过 作 于 ,则 , ∴ , ∴ , ∴ , ∵ , ∴ , ∴ , , 设 ,则 , ∴ , ∴ , 由 可得: ∴ , 172关注公众号:陆陆高分冲刺 ~领取:最新版“小中高考-总复习”、最新试卷下载 解得: , ∴ , 设 为: , ∴ ,解得: , ∴直线 为: , ∴ , 解得: 或 , ∴ , ∵ , , ,正方形 , ∴ , 同理可得:直线 为 , ∴ , 解得: 或 , ∴ , 综上:点 的坐标为 或 . 【点睛】本题考查的是利用待定系数法求解抛物线的解析式,抛物线的性质,正方形的性质,作出合适的 173关注公众号:陆陆高分冲刺 ~领取:最新版“小中高考-总复习”、最新试卷下载 辅助线是解本题的关键. 10.(2024·湖北·中考真题)如图1,二次函数 交 轴于 和 ,交 轴于 . (1)求 的值. (2) 为函数图象上一点,满足 ,求 点的横坐标. (3)如图2,将二次函数沿水平方向平移,新的图象记为 与 轴交于点 ,记 ,记 顶点横坐标 为 . ①求 与 的函数解析式. ②记 与 轴围成的图象为 与 重合部分(不计边界)记为 ,若 随 增加而增加,且 内恰 有2个横坐标与纵坐标均为整数的点,直接写出 的取值范围. 【答案】(1) ; (2) 或 ; (3)① ;② 的取值范围为 或 . 【分析】(1)利用待定系数法求解即可; (2)先求得 , ,作 轴于点 ,设 ,分当 点在 轴上方和 点在 轴下方时,两种情况讨论,利用相似三角形的判定和性质,列式求解即可; (3)①利用平移的性质得图象 的解析式为 ,得到图象 与 轴交于点 的坐标 ,据此列式计算即可求解; 174关注公众号:陆陆高分冲刺 ~领取:最新版“小中高考-总复习”、最新试卷下载 ②先求得 或 , 中含(0,1),(0,2), 三个整数点(不含边界),再分三种情况讨论, 分别列不等式组,求解即可. 【详解】(1)解:∵二次函数 交 轴于 , ∴ , 解得 ; (2)解:∵ , ∴ , 令 ,则 , 解得 或 , 令 ,则 , ∴ , , , 作 轴于点 , 设 , 当 点在 轴上方时,如图, ∵ , ∴ , ∴ ,即 , 解得 或 (舍去); 当 点在 轴下方时,如图, 175关注公众号:陆陆高分冲刺 ~领取:最新版“小中高考-总复习”、最新试卷下载 ∵ , ∴ , ∴ ,即 , 解得 或 (舍去); ∴ 或 ; (3)解:①∵将二次函数沿水平方向平移, ∴纵坐标不变是4, ∴图象 的解析式为 , ∴ , ∴ , 由题意知:C、D不重合,则 , ∴ ; ②由①得 , 则函数图象如图, 176关注公众号:陆陆高分冲刺 ~领取:最新版“小中高考-总复习”、最新试卷下载 ∵ 随 增加而增加, ∴ 或 , 中含(0,1),(0,2), 三个整数点(不含边界), 当 内恰有2个整数点(0,1),(0,2)时, 当 时, ,当 时, , ∴ , ∴ , 或 , ∴ ; ∵ 或 , ∴ ; 当 内恰有2个整数点(0,1), 时, 177关注公众号:陆陆高分冲刺 ~领取:最新版“小中高考-总复习”、最新试卷下载 当 时, ,当 时, , ∴ , ∴ 或 , , ∴ ; ∵ 或 , ∴ ; 当 内恰有2个整数点(0,2), 时, 此情况不存在,舍去, 综上, 的取值范围为 或 . 【点睛】本题主要考查了用待定系数法求二次函数的表达式及二次函数与线段的交点问题,也考查了二次 函数与不等式,相似三角形的判定和性质.熟练掌握二次函数图象的性质及数形结合法是解题的关键. 11.(2024·四川资阳·中考真题)已知平面直角坐标系中,O为坐标原点,抛物线 与x轴 交于A,B两点,与y轴的正半轴交于C点,且B(4,0), . 178关注公众号:陆陆高分冲刺 ~领取:最新版“小中高考-总复习”、最新试卷下载 (1)求抛物线的解析式; (2)如图1,点P是抛物线在第一象限内的一点,连接 ,过点P作 轴于点D,交 于点K. 记 , 的面积分别为 , ,求 的最大值; (3)如图2,连接 ,点E为线段 的中点,过点E作 交x轴于点F.抛物线上是否存在点Q, 使 ?若存在,求出点Q的坐标;若不存在,说明理由. 【答案】(1) (2) (3)存在, 或 【分析】(1)先求 点坐标,待定系数法求出函数解析式即可; (2)求出 的解析式,设 ,则: ,将 转化为二次函数 求最值即可; (3)易得 垂直平分 ,设 ,勾股定理求出 点坐标,三线合一结合同角的余角相等,推出 ,分别作点 关于 轴和直线 的对称点 ,直线 , 与抛物线的交点 即为所求,进行求解即可. 【详解】(1)解:∵B(4,0), ∴ , 179关注公众号:陆陆高分冲刺 ~领取:最新版“小中高考-总复习”、最新试卷下载 ∵ , ∴ , ∴ , 把B(4,0), ,代入函数解析式得: ∴ ,解得: ; ∴ ; (2)∵B(4,0), , ∴设直线 的解析式为: ,把B(4,0),代入,得: , ∴ , 设 ,则: , ∴ , , , ∴ , ∴ , ∴当 时, 的最大值为 ; (3)存在: 令 , 180关注公众号:陆陆高分冲刺 ~领取:最新版“小中高考-总复习”、最新试卷下载 解得: , ∴A(−2,0), ∵ ,点 为 的中点, ∴ , ∵ , , ∴ , ∴ , 设 ,则: , 在 中,由勾股定理,得: , ∴ , ∴ , , ∵ , , ∴ , ∴ , ①取点 关于 轴的对称点 ,连接 ,交抛物线与点 ,则: , , 设 的解析式为: , 则: ,解得: , ∴ , 联立 ,解得: (舍去)或 , 181关注公众号:陆陆高分冲刺 ~领取:最新版“小中高考-总复习”、最新试卷下载 ∴ ; ②取 关于 的对称点 ,连接 交 于点 ,连接 交抛物线于点 , 则: , , ∵ , ∴ , ∵ , ∴ , ∴ , ∴ , 过点 作 轴,则: , , ∴ , ∴ , ∴ , 设直线 的解析式为: , 则: ,解得: , ∴ , 联立 ,解得: (舍去)或 , 182关注公众号:陆陆高分冲刺 ~领取:最新版“小中高考-总复习”、最新试卷下载 ∴ ; 综上: 或 . 【点睛】本题考查二次函数的综合应用,涉及待定系数法求函数解析式,中垂线的判定和性质,等积法求 线段的长,坐标与轴对称,勾股定理,解直角三角形,等知识点,综合性强,难度大,计算量大,属于中 考压轴题,正确的求出函数解析式,利用数形结合和分类讨论的思想,进行求解,是解题的关键. 183