当前位置:首页>文档>黄金卷04(参考答案)-赢在高考·黄金8卷备战2024年高考地理模拟卷(湖南专用)_9.2025地理总复习_2024年新高考资料_4.2024高考模拟预测试卷

黄金卷04(参考答案)-赢在高考·黄金8卷备战2024年高考地理模拟卷(湖南专用)_9.2025地理总复习_2024年新高考资料_4.2024高考模拟预测试卷

  • 2026-04-03 07:41:02 2026-03-15 00:16:31

文档预览

黄金卷04(参考答案)-赢在高考·黄金8卷备战2024年高考地理模拟卷(湖南专用)_9.2025地理总复习_2024年新高考资料_4.2024高考模拟预测试卷
黄金卷04(参考答案)-赢在高考·黄金8卷备战2024年高考地理模拟卷(湖南专用)_9.2025地理总复习_2024年新高考资料_4.2024高考模拟预测试卷

文档信息

文档格式
docx
文档大小
0.032 MB
文档页数
2 页
上传时间
2026-03-15 00:16:31

文档内容

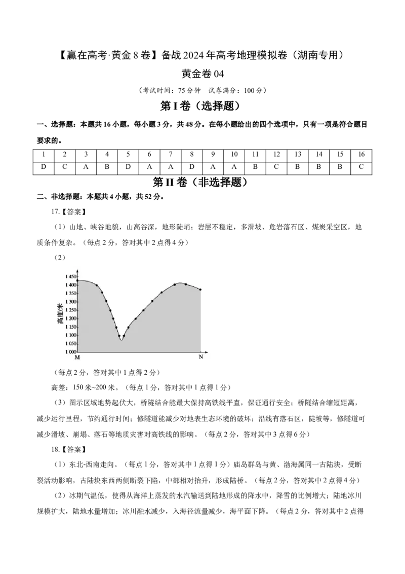
【赢在高考·黄金8卷】备战2024年高考地理模拟卷(湖南专用) 黄金卷04 (考试时间:75分钟 试卷满分:100分) 第 I 卷(选择题) 一、选择题:本题共16小题,每小题3分,共48分。在每小题给出的四个选项中,只有一项是符合题目 要求的。 1 2 3 4 5 6 7 8 9 10 11 12 13 14 15 16 D C A B D A A D A A B C B B B C 第 II 卷(非选择题) 二、非选择题:本题共4小题,共52分。 17.【答案】 (1)山地、峡谷地貌,山高谷深,地形陡峭;岩层不稳定,多滑坡、危岩落石区、煤炭采空区,地 质条件复杂。(每点2分,答对其中2点得4分) (2) (每点2分,答对其中1点得2分) 高差:150米~200米。(每点1分,答对其中1点得1分) (3)图示区域地势起伏大,桥隧结合能最大保持高铁线平直,保证通行安全;桥隧结合缩短距离, 减少运行里程,节约通行时间;修隧道能减少对地表生态环境的破坏;沿线有落石区,陡坡等,修隧道可 减少滑坡、崩塌、落石等地质灾害对高铁线的影响。(每点2分,答对其中3点得6分) 18.【答案】 (1)东北-西南走向。(每点1分,答对其中1点得1分)庙岛群岛与黄、渤海属同一古陆块,受断 裂活动影响,古陆块东西两侧断裂下陷,中部相对抬升,形成陆桥。(每点2分,答对其中2点得4分) (2)冰期气温低,使得从海洋上蒸发的水汽输送到陆地形成的降水中,降雪的比例增大;陆地冰川 规模扩大,陆地水量增加;冰川融水减少,入海径流量减少,海平面下降。(每点2分,答对其中2点得4分) (3)气候温暖时期,海平面上升,渤海浮游生物大量繁殖,周边河流携带泥沙入海并沉积;冰期, 海平面大幅下降,渤海海床裸露,强劲的冬季风将泥沙及浮游生物遗体搬运到庙岛群岛上沉积;渤海湾是 庙岛群岛主要沙源地,与黄土高原相比,庙岛群岛离沙源地更近,导致沉积物颗粒更粗且富含浮游生物化 石。(每点2分,答对其中3点得6分) 19.【答案】 (1)加大技术投入,提高资源的利用率;调整产业结构,适当提高轻工业和新兴产业的比重;延长 产业链,发展煤炭深加工。(每点2分,答对其中2点得4分) (2)土壤富含矿物质;当地降水少、光照强、昼夜温差大。(气候和土壤各1分,每点1分,答对其 中2点得2分) (3)加强黄花种植的科研投入,提高黄花品质,加强品牌优势;加大黄花产业化应用的研发,开发 新产品;拓展旅游、文化市场;实现经营多元化。(每点2分,答对其中2点得4分) 20.【答案】 (1)时间:6-7月份(汛期前)。(每点2分,答对其中1点得2分) 理由:黄河汛期来临前,小浪底水库释放大量水,利于水库下游冲沙;降低库区水位,库底泥沙出露, 利用上游水库泄洪完成库区排沙;黄河汛期来临前腾出库容,提高蓄洪削峰能力。(每点2分,答对其中 2点得4分) (2)有效减缓了黄河下游河床的抬升,下游河道防洪能力提升;下游防凌汛压力减小;湿地面积明 显增加;改善海水入侵状况,遏制了海岸线蚀退;湿地生态环境改善,生物多样性增加。(每点2分,答 对其中2点得4分) (3)航道疏浚任务繁重,维护成本高;黄河总体流量较少,下游水位季节变化大;部分河段河道游 荡多变,河势变化剧烈;黄河下游存在多处阻碍通航的建筑物。(每点2分,答对其中2点得4分)