当前位置:首页>文档>专题18抛物线中的参数及范围问题(解析版)_2.2025数学总复习_2024年新高考资料_3.2024专项复习_2024年新高考数学之圆锥曲线专项重难点突破练(新高考专用)

专题18抛物线中的参数及范围问题(解析版)_2.2025数学总复习_2024年新高考资料_3.2024专项复习_2024年新高考数学之圆锥曲线专项重难点突破练(新高考专用)

  • 2026-04-02 12:25:56 2026-03-16 12:16:39

文档预览

专题18抛物线中的参数及范围问题(解析版)_2.2025数学总复习_2024年新高考资料_3.2024专项复习_2024年新高考数学之圆锥曲线专项重难点突破练(新高考专用)
专题18抛物线中的参数及范围问题(解析版)_2.2025数学总复习_2024年新高考资料_3.2024专项复习_2024年新高考数学之圆锥曲线专项重难点突破练(新高考专用)
专题18抛物线中的参数及范围问题(解析版)_2.2025数学总复习_2024年新高考资料_3.2024专项复习_2024年新高考数学之圆锥曲线专项重难点突破练(新高考专用)
专题18抛物线中的参数及范围问题(解析版)_2.2025数学总复习_2024年新高考资料_3.2024专项复习_2024年新高考数学之圆锥曲线专项重难点突破练(新高考专用)
专题18抛物线中的参数及范围问题(解析版)_2.2025数学总复习_2024年新高考资料_3.2024专项复习_2024年新高考数学之圆锥曲线专项重难点突破练(新高考专用)
专题18抛物线中的参数及范围问题(解析版)_2.2025数学总复习_2024年新高考资料_3.2024专项复习_2024年新高考数学之圆锥曲线专项重难点突破练(新高考专用)
专题18抛物线中的参数及范围问题(解析版)_2.2025数学总复习_2024年新高考资料_3.2024专项复习_2024年新高考数学之圆锥曲线专项重难点突破练(新高考专用)
专题18抛物线中的参数及范围问题(解析版)_2.2025数学总复习_2024年新高考资料_3.2024专项复习_2024年新高考数学之圆锥曲线专项重难点突破练(新高考专用)
专题18抛物线中的参数及范围问题(解析版)_2.2025数学总复习_2024年新高考资料_3.2024专项复习_2024年新高考数学之圆锥曲线专项重难点突破练(新高考专用)
专题18抛物线中的参数及范围问题(解析版)_2.2025数学总复习_2024年新高考资料_3.2024专项复习_2024年新高考数学之圆锥曲线专项重难点突破练(新高考专用)
专题18抛物线中的参数及范围问题(解析版)_2.2025数学总复习_2024年新高考资料_3.2024专项复习_2024年新高考数学之圆锥曲线专项重难点突破练(新高考专用)
专题18抛物线中的参数及范围问题(解析版)_2.2025数学总复习_2024年新高考资料_3.2024专项复习_2024年新高考数学之圆锥曲线专项重难点突破练(新高考专用)
专题18抛物线中的参数及范围问题(解析版)_2.2025数学总复习_2024年新高考资料_3.2024专项复习_2024年新高考数学之圆锥曲线专项重难点突破练(新高考专用)
专题18抛物线中的参数及范围问题(解析版)_2.2025数学总复习_2024年新高考资料_3.2024专项复习_2024年新高考数学之圆锥曲线专项重难点突破练(新高考专用)
专题18抛物线中的参数及范围问题(解析版)_2.2025数学总复习_2024年新高考资料_3.2024专项复习_2024年新高考数学之圆锥曲线专项重难点突破练(新高考专用)
专题18抛物线中的参数及范围问题(解析版)_2.2025数学总复习_2024年新高考资料_3.2024专项复习_2024年新高考数学之圆锥曲线专项重难点突破练(新高考专用)
专题18抛物线中的参数及范围问题(解析版)_2.2025数学总复习_2024年新高考资料_3.2024专项复习_2024年新高考数学之圆锥曲线专项重难点突破练(新高考专用)
专题18抛物线中的参数及范围问题(解析版)_2.2025数学总复习_2024年新高考资料_3.2024专项复习_2024年新高考数学之圆锥曲线专项重难点突破练(新高考专用)
专题18抛物线中的参数及范围问题(解析版)_2.2025数学总复习_2024年新高考资料_3.2024专项复习_2024年新高考数学之圆锥曲线专项重难点突破练(新高考专用)
专题18抛物线中的参数及范围问题(解析版)_2.2025数学总复习_2024年新高考资料_3.2024专项复习_2024年新高考数学之圆锥曲线专项重难点突破练(新高考专用)
专题18抛物线中的参数及范围问题(解析版)_2.2025数学总复习_2024年新高考资料_3.2024专项复习_2024年新高考数学之圆锥曲线专项重难点突破练(新高考专用)
专题18抛物线中的参数及范围问题(解析版)_2.2025数学总复习_2024年新高考资料_3.2024专项复习_2024年新高考数学之圆锥曲线专项重难点突破练(新高考专用)

文档信息

文档格式
docx
文档大小
1.516 MB
文档页数
22 页
上传时间
2026-03-16 12:16:39

文档内容

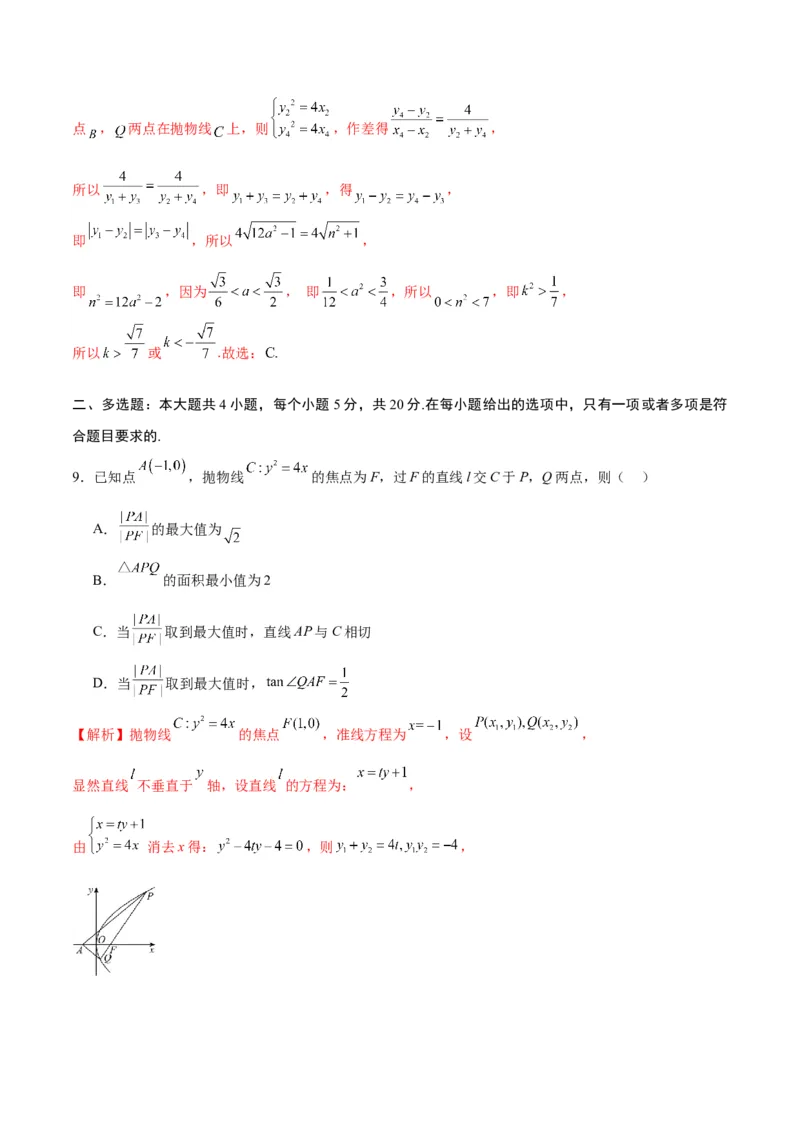
专题18 抛物线中的参数及范围问题 限时:120分钟 满分:150分 一、单选题:本大题共8小题,每个小题5分,共40分.在每小题给出的选项中,只有一项是符合题目要 求的. 1.已知 为抛物线 上一点, 为焦点,过 作 的准线的垂线,垂足为 ,若 的周 长不小于30,则点 的纵坐标的取值范围是( ) A. B. C. D. 【解析】如图,设点 的坐标为 ,准线 与 轴的交点为A, 则 , 所以 的周长为 .得 ,令 ,则 , 有 ,即 ,解得 (舍去)或 , 所以 ,由 解得 .故选:A. 2.已知 为抛物线 的焦点,过 的直线 与抛物线交于 , 两点,若在 轴负半轴上存在一点 ,使得 为锐角,则 的取值范围为( ) A. B. C. D. 【解析】由题意知 ,设直线 的方程为 ,由 ,得 .设 , , 则 , ,所以 , . 因为 为锐角,所以 恒成立,即 , 整理得 ,所以 , 而 ,所以 对于任意 恒成立,所以 . 由 ,解得 ,所以 的取值范围为 .故选:A. 3.若抛物线 上存在不同的两点关于直线 对称,则实数p的取值范围是( ) A. B. C. D. 【解析】设抛物线 上存在不同的两点 关于直线 对称, 设 所在的直线方程为 , 联立方程组 ,整理得 ,其中 , 设 ,则 ,则 , 又因为 的中点在直线 ,可得 ,即 , 将 代入 ,可得 ,解得 , 所以实数 的取值范围为 .故选:B. 4.已知抛物线 的焦点 与双曲线 的右焦点重合,斜率为 的直线 与 的两个交 点为 , .若 ,则 的取值范围是( )A. B. C. D. 【解析】双曲线的标准方程是 ,其右焦点是 .所以 , ,抛物线 是 , 设直线方程为 , ,由 消去 ,化简整理得 , 因此 ,由 得, , . 因为 ,所以 ,即 .,即 , 解得 .代入 得到, , 或 .故选:A. 5.在平面直角坐标系 中,若抛物线 的准线与圆 相切于点 ,直线 与 抛物线 切于点 ,点 在圆 上,则 的取值范围为( ) A. B. C. D. 【解析】抛物线 的准线方程为 , 圆 的圆心为 ,半径为 ,直线 与圆 相切,则 ,因为 ,解得 ,所以,抛物线 的方程为 , 故抛物线 的准线与圆 相切于点 , 若直线 与 轴重合,则直线 与抛物线 不相切,不合乎题意, 设直线 的方程为 ,联立 可得 , 则 ,解得 ,不妨设点 在第一象限,则 ,则有 ,解得 , 此时 ,即点 ,所以, , 因为点 在圆 上,设点 ,则 , 所以, .故选:C. 6.已知抛物线 的焦点为 ,过 的直线 交 于点 ,分别在点 处作 的两条切线,两 条切线交于点 ,则 的取值范围是( ) A. B. C. D. 【解析】显然直线 的斜率存在,因此设直线 的方程为 , , 由 得 ,因此 ,故 . 因为 ,所以过 与 相切的直线方程分别为: 、 , 因此由 得 ,即 ,所以 . 因为 ,所以 ,因此 , 所以 的取值范围是 .故选:C. 7.已知点 在抛物线 上,且抛物线上存在不同的两点 , ,使得直线 , 的斜率 , 满足 ,若线段 的中点为 , 为坐标原点,则直线 的斜率的取值范围 是( ) A. B. C. D. 【解析】因为点 在抛物线 上, 所以 ,所以 ,所以抛物线方程为 . 设 ,则 ,直线 的方程为 , 结合抛物线的方程 ,得 ,由 ,得 , 设 , ,则 ,即 , , 同理可得 , , ,于是 ,因此 . 因为 且 ,所以 且 ,故 且 ,所以直线 的斜率的取值范围是 .故选:C 8.已如抛物线 的焦点是 ,点 是其准线上一个动点,其中 .过点 且斜率为 的直线 与抛物线 交于A, 两点,过点 的直线 交抛物线 于 , 两点.若 , 则直线 的斜率 的取值范围为( ) A. B. C. D. 【解析】由点 在准线上知, , ,所以抛物线 的方程为 . 依题意可设直线 的方程为 ,设直线 的方程为 ,斜率 , , .由 消去 ,得 , 所以由 知,判别式 , , , 则 .由 ,消去 ,得 , 所以判别式 , , , 所以 因为 ,所以 , 结合点A, 在抛物线 上,则 ,作差得 ,点 , 两点在抛物线 上,则 ,作差得 , 所以 ,即 ,得 , 即 ,所以 , 即 ,因为 , 即 ,所以 ,即 , 所以 或 .故选: 二、多选题:本大题共4小题,每个小题5分,共20分.在每小题给出的选项中,只有一项或者多项是符 合题目要求的. 9.已知点 ,抛物线 的焦点为F,过F的直线l交C于P,Q两点,则( ) A. 的最大值为 B. 的面积最小值为2 C.当 取到最大值时,直线AP与C相切 D.当 取到最大值时, 【解析】抛物线 的焦点 ,准线方程为 ,设 , 显然直线 不垂直于 轴,设直线 的方程为: , 由 消去x得: ,则 ,对于A,显然 , , 当且仅当 时取等号,A正确; 对于B, 的面积 , 当且仅当 时取等号,B错误; 对于C,由选项A知,当 最大时,点 ,此时直线 方程为 , 由 消去x得: , ,直线AP与C相切,C正确; 对于D,由选项C知,当 最大时, 轴,显然 , 即 , ,D错误. 故选:AC 10.已知 是抛物线 内一动点,直线 过点 且与抛物线 相交于 两点,则下列说法正 确的是( ) A. 时, 的最小值为 B. 的取值范围是 C.当点 是弦 的中点时,直线 的斜率为 D.当点 是弦 的中点时, 轴上存在一定点 ,都有 【解析】抛物线 的焦点 ,准线方程为 , 对于A,当 时,点 与 重合,设直线 的方程为 , , 由 消去x并整理得 ,则 , ,当且仅当 时取等号,所以当 时, 的最小值为 ,A正确; 对于B,显然点 在直线 上,由选项A知,当 时,可得 , 由点 在抛物线 内,知 ,所以 的取值范围是 ,B正确; 对于C,当点 是弦 的中点时,设 , ,若 ,直线 的斜率不存在, 若 ,则直线 的斜率 ,C错误; 对于D,由选项C知,当 时,线段 的中垂线斜率为 ,方程为 , 即 ,此直线过定点 ,当 时,线段 的中垂线为 ,过点 , 所以线段 的中垂线恒过定点 ,即当点 是弦 的中点时, 轴上存在一定点 ,都有 ,D正确. 故选:ABD 11.已知抛物线C: 的焦点为F,P,Q为C上两点,则下列说法正确的是( ) A.若 ,则 的最小值为4 B.若 ,记 ,则C.过点 与C只有一个公共点的直线有且仅有两条 D.以PQ为直径的圆与C的准线相切,则直线PQ过F 【解析】 如图所示,设PQ的中点为B,过P、Q、B分别作 的垂线,垂足为D、E、A, 对于A,由题意可知,抛物线C: 的焦点为 ,准线为 . 在抛物线上方, ,即最小值为M到准线 的距离4,当M,P,A三点共线时等号成立,故 A正确; 对于B,由 ,设过N与抛物线相切的直线与抛物线切于点 , 则 ,此时切线斜率为 ,即抛物线上任一点P, 都有 ,故 ,所以B正确; 对于C,由于点 在C的下方,设过 与抛物线相切的直线切于点 ,由上可得 或 ,又知当 时该直线与抛物线只一个交点,故过点 与C只有一个公 共点的直线有三条,所以C不正确; 对于D,由梯形中位线性质及抛物线定义知 ,所以直线PQ过F,故D 正确.故选:ABD. 12.设 是抛物线 : 上的两点, 是坐标原点,下列结论成立的是( ) A.若直线 过抛物线的焦点 ,则 的最小值为1 B.有且只有两条直线过点 且与抛物线 只有一个公共点 C.若 ,则 为定值 D.若 ,则 【解析】根据题意,抛物线的焦点 坐标为 , 设 . A:若直线 经过点 ,显然其斜率存在,故设直线 为: , 联立抛物线方程可得: , 则 ,则 故 ,当且仅当 时取得最小值,故A正确. B:当直线 的斜率不存在时,即 时,显然与抛物线交于一点; 当直线 的斜率存在时,不妨设其方程为 ,联立抛物线方程 可得: ,令 ,可得 或 , 即直线 ,也与抛物线只有一个交点. 综上所述,满足过点 且与抛物线交于一点的直线有 条,故B错误; C:若 ,显然 为定值,故C正确; D:若 ,则 ,即 ,又 即 ,又 两点与 点不能重合,即 ,则 . ,当且仅当 ,且 时取得最小值,故D正确. 综上所述,正确的选项是:ACD. 三、填空题:本大题共4小题,每小题5分,共20分.把答案填在答题卡中的横线上. 13.已知 是抛物线 上一点, 是抛物线的焦点,若点 满足 ,则 的 取值范围是 . 【解析】由题可知,抛物线 的焦点坐标 ,且 , 由于 是抛物线 上一点,则 , , , , 且 ,解得: , 所以 的取值范围是 . 14.已知斜率为 的直线 与抛物线 交于 轴上方不同的两点 、 ,记直线 、 的 斜率分别为 、 ,则 的取值范围是 . 【解析】设点 、 ,由题意可知 , 且 , 所以, ,则 , 所以,,因此, 的取值范围是 . 15.已知抛物线 方程为 , 为其焦点,过点 的直线 与抛物线 交于 、 两点,且抛物线在 、 两点处的切线分别交 轴于 、 两点,则 的取值范围为 . 【解析】若直线 轴,则直线 为 轴,此时直线 与抛物线 只有一个交点,不合乎题意. 所以,直线 的斜率存在,易知点 ,设直线 的方程为 ,设点 、 , 联立 可得 , ,由韦达定理可得 , , 对函数 求导得 ,所以,直线 的方程为 ,即 , 令 ,可得 ,即点 ,同理可得点 , ,同理可得 , 因此, , 当且仅当 时,等号成立,故 的取值范围是 . 16.如图,已知抛物线 ,点 为抛物线上一动点,以C为圆心的圆过定点 ,且 与x轴交于M,N两点(M点在N点的左侧),则 的取值范围是 .【解析】由题意, 的方程 . 把 和 代入整理得 ,即 . 设 、 的横坐标分别为 、 ,则 , .所以 , 令 ,则 因为 ,所以 ,当 时, 所以 ,所以 四、解答题:本大题共6小题,共70分.解答应写出必要的文字说明、证明过程或演算步骤. 17.已知抛物线 的顶点在原点,焦点在直线 上. (1)求抛物线 的标准方程; (2)过点 的直线m与焦点在x轴上的抛物线 交于A,B两点,若原点O在以线段AB为直径的圆外, 求实数a的取值范围. 【解析】(1)当 时, ,此时焦点为 , 即此时抛物线焦点在 轴,开口向下,顶点在原点,则抛物线方程为 ; 当 时, ,此时焦点为 , 即此时抛物线焦点在 轴,开口向右,顶点在原点,则抛物线方程为 ; (2)设过点 直线m的方程为 ,设直线m与抛物线的交点分别为 联立方程 消去 得 ,即 , ; AB的中点为 ; ; 则以线段AB为直径的圆的方程为 若原点O在以线段AB为直径的圆外,则 化简得 , 即 或 . 18.已知抛物线 焦点为F,点 在抛物线上, . (1)求抛物线方程; (2)过焦点F直线l与抛物线交于MN两点,若MN最小值为4,且 是钝角,求直线斜率范围. 【解析】(1)由题意可得: ,解得 或 , 故抛物线方程为 或 . (2)抛物线 的焦点 ,设 , 联立方程 ,消去x得 , 则 , 可得 ,解得 , 此时 ,则 , 若直线 过点 ,则 ,解得 ,若 是钝角,则 ,且 三点不共线, ∵ , 则 , 解得 或 ,注意到 ,故直线斜率范围为 . 19.设点 在抛物线 上, 的焦点为 . 、 为过 的两条倾斜角互补的直线,且 、 与 的另一交点分别为 、 .已知直线 的斜率为 . (1)求直线 的斜率; (2)记 、 与 轴的交点分别为 、 .设 和 分别为 和 的面积,当 时,求 的取值范围. 【解析】(1)设点 、 、 ,则 , ,同理可得 , , 因为直线 、 的倾斜角互补,则 , 所以, ,因为 ,则 ,所以, , 所以, ,即点 ,易知点 ,所以,直线 的斜率为 . (2)设直线 的方程为 ,联立 可得 , 则 且 ,可得 且 , 由韦达定理可得 ,可得 ,整理可得 ,解得 , 所以, ,此时, ,同理可得 , 所以, . 20.已知点 和点 之间的距离为2,抛物线 经过点N,过点M的 直线l与抛物线C有两个不同的交点A,B,点E,F分别在直线 , 上,且 , (O为坐标原点). (1)求直线l的倾斜角的取值范围; (2)求 的值. 【解析】(1) , , , , 将 代入 ,解得 , 抛物线C的方程为 , 直线l过点 ,且与抛物线C有两个不同的交点, 直线l的斜率存在且不为0,设直线l的方程为 ,由 得, , 且 ,即 , 且 , , , , , 点E,F均在y轴上, , 均与y轴相交, 直线l不过点 , , k的取值范围为 且 且 , 直线l的倾斜角的取值范围为 ; (2)设 , M,A,B三点共线, , , , , , ,由(1)知, , 且 , 直线 的方程为 , 令 得 ,同理可得, , .21.已知 是抛物线 的焦点,过点 的直线交抛物线 于 、 两点,且 . (1)求抛物线 的方程; (2)若 为坐标原点,过点 作 轴的垂线交直线 于点 ,过点 作直线 的垂线与抛物线 的另一 交点为 , 的中点为 ,求 的取值范围. 【解析】(1)抛物线 的焦点为 , 若直线 与 轴重合,则直线 与抛物线 只有一个公共点,不合乎题意, 设直线 的方程为 ,设点 、 , 联立 可得 , , 由韦达定理可得 , , ,解得 , 所以,抛物线 的方程为 . (2)设点 、 ,则 ,由(1)可得 , , 又因为直线 的方程为 ,将 代入直线 的方程可得 ,可得 ,即点 , 所以, ,因为 ,则 , 所以,直线 的方程为 , 联立 可得 ,则 , 故 ,则 , 由 的中点为 ,可得 , 故 、 、 三点共线,则 . 又由 ,知 , 故 . 故 的取值范围为 . 22.已知抛物线 的焦点为F,点M是抛物线的准线 上的动点.(1)求p的值和抛物线的焦点坐标; (2)设直线l与抛物线相交于A、B两点,且 ,求直线l在x轴上截距b的取值范围. 【解析】(1)因为抛物线的准线是 ,所以抛物线的焦点坐标 ,所以 ; (2)因为点M是抛物线的准线 上的动点,设 . (ⅰ)若直线l的斜率不存在,则 .由 得 , 因为 ,所以 ,即 ,所以 , 因为 ,所以 ;因为 ,所以 , 即 ,所以 , 所以 因为 ,所以 ①. (ⅱ)若直线l的斜率存在,设为k,则 .设 . 由 得 ,所以 , 且 ,所以 (*), 因为 ,所以 ,即 ,所以 , 所以 ,得 ,因为 ,所以 , 即 ,所以 , 所以 ,则 , 所以 ,得 ,所以 ②, 代入(*)得, ,所以 ③, 由②得 ,所以 ④, 所以 ,所以 ,⑤ 由④,⑤知 , 综合(ⅰ)(ⅱ)知直线l在x轴上截距b的取值范围是 .