当前位置:首页>文档>第23练平面向量基本定理和坐标表示(精练:基础+重难点)一轮复习讲义2024年高考数学高频考点题型归纳与方法总结(新高考通用)原卷版_2.2025数学总复习_2024年新高考资料

第23练平面向量基本定理和坐标表示(精练:基础+重难点)一轮复习讲义2024年高考数学高频考点题型归纳与方法总结(新高考通用)原卷版_2.2025数学总复习_2024年新高考资料

  • 2026-03-29 08:47:16 2026-03-25 09:51:40

文档预览

第23练平面向量基本定理和坐标表示(精练:基础+重难点)一轮复习讲义2024年高考数学高频考点题型归纳与方法总结(新高考通用)原卷版_2.2025数学总复习_2024年新高考资料
第23练平面向量基本定理和坐标表示(精练:基础+重难点)一轮复习讲义2024年高考数学高频考点题型归纳与方法总结(新高考通用)原卷版_2.2025数学总复习_2024年新高考资料
第23练平面向量基本定理和坐标表示(精练:基础+重难点)一轮复习讲义2024年高考数学高频考点题型归纳与方法总结(新高考通用)原卷版_2.2025数学总复习_2024年新高考资料
第23练平面向量基本定理和坐标表示(精练:基础+重难点)一轮复习讲义2024年高考数学高频考点题型归纳与方法总结(新高考通用)原卷版_2.2025数学总复习_2024年新高考资料
第23练平面向量基本定理和坐标表示(精练:基础+重难点)一轮复习讲义2024年高考数学高频考点题型归纳与方法总结(新高考通用)原卷版_2.2025数学总复习_2024年新高考资料
第23练平面向量基本定理和坐标表示(精练:基础+重难点)一轮复习讲义2024年高考数学高频考点题型归纳与方法总结(新高考通用)原卷版_2.2025数学总复习_2024年新高考资料
第23练平面向量基本定理和坐标表示(精练:基础+重难点)一轮复习讲义2024年高考数学高频考点题型归纳与方法总结(新高考通用)原卷版_2.2025数学总复习_2024年新高考资料
第23练平面向量基本定理和坐标表示(精练:基础+重难点)一轮复习讲义2024年高考数学高频考点题型归纳与方法总结(新高考通用)原卷版_2.2025数学总复习_2024年新高考资料
第23练平面向量基本定理和坐标表示(精练:基础+重难点)一轮复习讲义2024年高考数学高频考点题型归纳与方法总结(新高考通用)原卷版_2.2025数学总复习_2024年新高考资料
第23练平面向量基本定理和坐标表示(精练:基础+重难点)一轮复习讲义2024年高考数学高频考点题型归纳与方法总结(新高考通用)原卷版_2.2025数学总复习_2024年新高考资料
第23练平面向量基本定理和坐标表示(精练:基础+重难点)一轮复习讲义2024年高考数学高频考点题型归纳与方法总结(新高考通用)原卷版_2.2025数学总复习_2024年新高考资料
第23练平面向量基本定理和坐标表示(精练:基础+重难点)一轮复习讲义2024年高考数学高频考点题型归纳与方法总结(新高考通用)原卷版_2.2025数学总复习_2024年新高考资料
第23练平面向量基本定理和坐标表示(精练:基础+重难点)一轮复习讲义2024年高考数学高频考点题型归纳与方法总结(新高考通用)原卷版_2.2025数学总复习_2024年新高考资料

文档信息

文档格式
docx
文档大小
1.032 MB
文档页数
13 页
上传时间
2026-03-25 09:51:40

文档内容

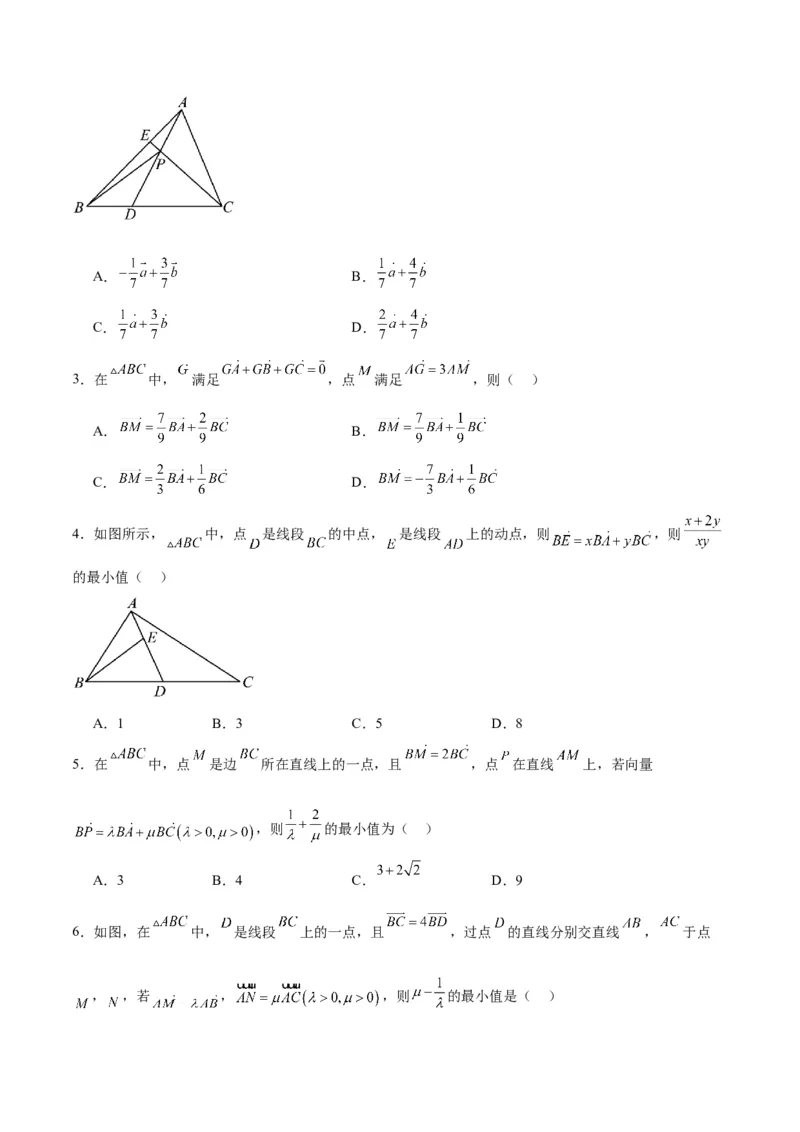
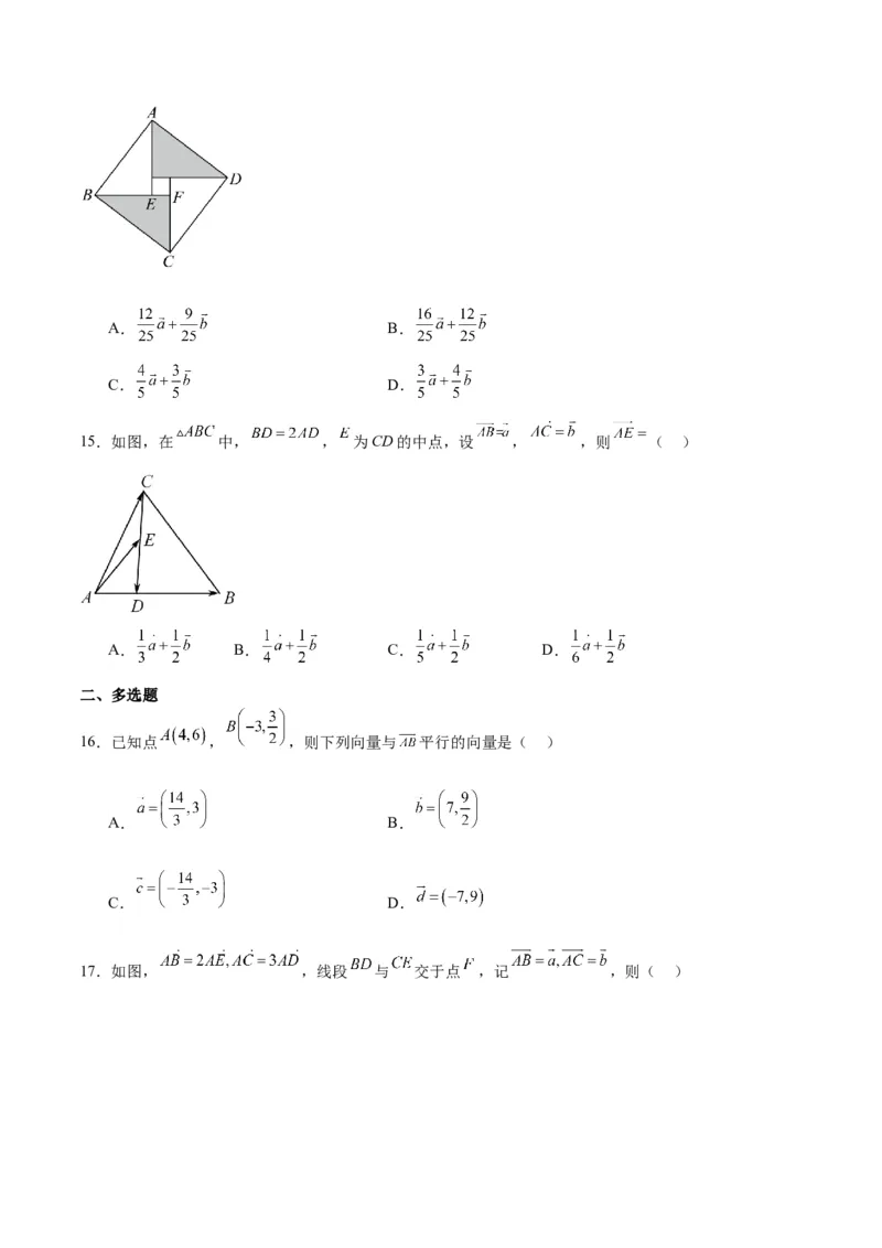
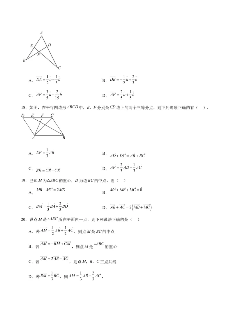
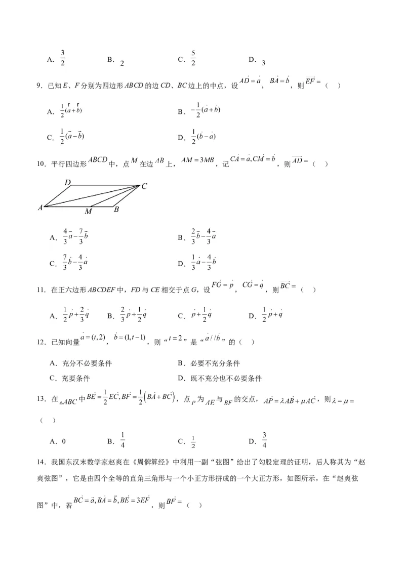
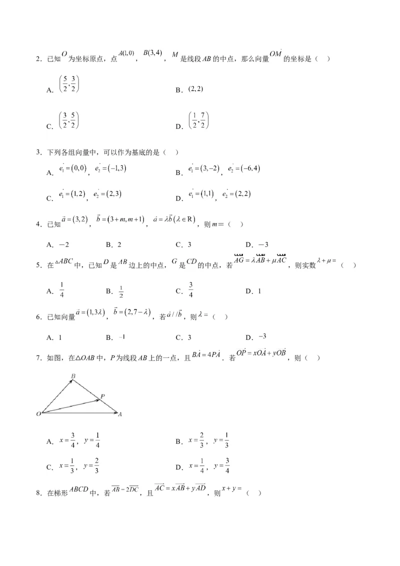
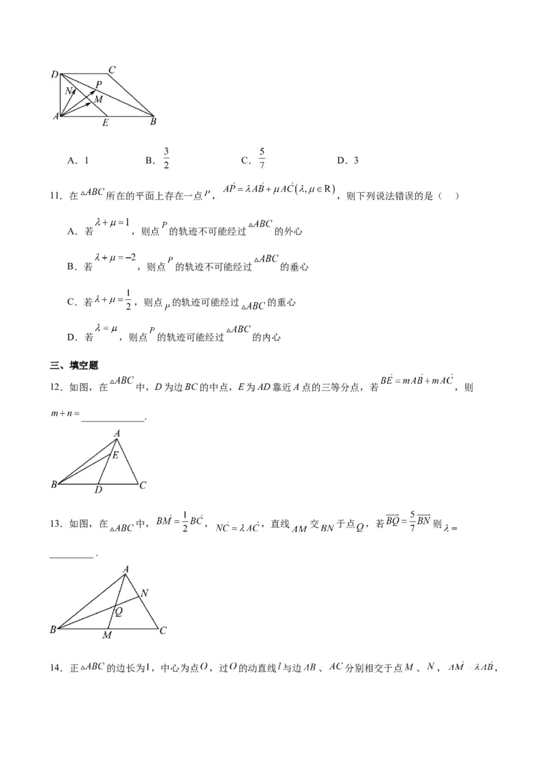
【一轮复习讲义】2024年高考数学高频考点题型归纳与方法总结(新高考通用) 第 23 练 平面向量基本定理和坐标表示(精练) 刷真题 明导向 一、单选题 1.(2022·全国·统考高考真题)在 中,点D在边AB上, .记 ,则 ( ) A. B. C. D. 2.(2020·山东·统考高考真题)已知平行四边形 ,点 , 分别是 , 的中点(如图所示), 设 , ,则 等于( ) A. B. C. D. 二、双空题 3.(2022·天津·统考高考真题)在 中, ,D是AC中点, ,试用 表示 为___________,若 ,则 的最大值为____________ 【A组 在基础中考查功底】 一、单选题 1.已知点 ,向量 ,则向量 等于( ) A. B. C. D.2.已知 为坐标原点,点 , , 是线段AB的中点,那么向量 的坐标是( ) A. B. C. D. 3.下列各组向量中,可以作为基底的是( ) A. , B. , C. , D. , 4.已知 , , ,则m=( ) A.-2 B.2 C.3 D.-3 5.在 中,已知 是 边上的中点, 是 的中点,若 ,则实数 ( ) A. B. C. D.1 6.已知向量 , ,若 ,则 ( ) A.1 B. C.3 D. 7.如图,在 OAB中,P为线段AB上的一点,且 .若 ,则( ) △ A. , B. , C. , D. , 8.在梯形 中,若 ,且 ,则 ( )A. B. C. D. 9.已知E、F分别为四边形ABCD的边CD、BC边上的中点,设 , ,则 ( ) A. B. C. D. 10.平行四边形 中,点 在边 上, ,记 ,则 ( ) A. B. C. D. 11.在正六边形ABCDEF中,FD与CE相交于点G,设 , ,则 ( ) A. B. C. D. 12.已知向量 , ,则“ ”是“ ”的( ) A.充分不必要条件 B.必要不充分条件 C.充要条件 D.既不充分也不必要条件 13.在 中 ,点 为 与 的交点, ,则 ( ) A.0 B. C. D. 14.我国东汉末数学家赵爽在《周髀算经》中利用一副“弦图”给出了勾股定理的证明,后人称其为“赵 爽弦图”,它是由四个全等的直角三角形与一个小正方形拼成的一个大正方形,如图所示,在“赵爽弦 图”中,若 ,则 ( )A. B. C. D. 15.如图,在 中, , 为CD的中点,设 , ,则 ( ) A. B. C. D. 二、多选题 16.已知点 , ,则下列向量与 平行的向量是( ) A. B. C. D. 17.如图, ,线段 与 交于点 ,记 ,则( )A. B. C. D. 18.如图,在平行四边形 中,E、F分别是 边上的两个三等分点,则下列选项正确的有( ). A. B. C. D. 19.已知M为 ABC的重心,D为边BC的中点,则( ) △ A. B. C. D. 20.设点M是 所在平面内一点,则下列说法正确的是( ) A.若 ,则点M是BC的中点 B.若 ,则点M是 的重心 C.若 ,则点M,B,C三点共线 D.若 ,则 ,三、填空题 21.已知 , , 与 平行,则实数 的值为______. 22.已知点 ,若向量 ,则点 的坐标是__________. 23.已知 ,三点 、 、 共线,则 ______. 24.如图,在 中,D是AB的中点,E是BC延长线上一点,且 ,用向量 、 表示 . _________________ 25.已知向量 , , ,若 、 、 三点共线,则 __________. 26.已知在平行四边形ABCD中,点E满足 , ,则实数 ______. 27.在 中,点 满足: , ,若 ,则 =_________. 28.已知 的面积为24,点D,E分别在边BC,AC上,且满足 , ,连接AD,BE 交于点 ,则 的面积为________. 29.若 ,点D在第一象限且 ,则实数 的取值范围是____________. 四、解答题 30.如图,在 中, 是 的中点, 是线段 上靠近点 的三等分点,设 .(1)用向量 与 表示向量 ; (2)若 ,求证: 三点共线. 31.如图,在平行四边形ABCD中,E,F分别为边CD,AD的中点,连接AE,BF交于点G.若 ,求 的值. 【B组 在综合中考查能力】 一、单选题 1.正方形ABCD中,E,F分别是边AD,DC的中点,BE与AF交于点G.则( ) A. B. C. D. 2.如图,在 中,点 , 分别在边 和边 上, , 分别为 和 的三等分点,点 靠近 点 ,点 靠近点 , 交 于点 ,设 , ,则 ( )A. B. C. D. 3.在 中, 满足 ,点 满足 ,则( ) A. B. C. D. 4.如图所示, 中,点 是线段 的中点, 是线段 上的动点,则 ,则 的最小值( ) A.1 B.3 C.5 D.8 5.在 中,点 是边 所在直线上的一点,且 ,点 在直线 上,若向量 ,则 的最小值为( ) A.3 B.4 C. D.9 6.如图,在 中, 是线段 上的一点,且 ,过点 的直线分别交直线 , 于点 , ,若 , ,则 的最小值是( )A. B. C. D. 7.在正六边形 中,点 是 内(包括边界)的一个动点,设 , 则 的取值范围是( ) A. B. C. D. 二、多选题 8.向量 , , ,若A,B,C三点共线,则k的值可能为( ) A.2 B.-2 C.11 D.-11 9.下列说法中正确的有( ) A.已知 是平面内两个非零向量,对于实数 , , 一定在该平面内 B.已知 , 是平面内的一组基底,若实数 , 使 ,则 C.已知 是平面内两个非零向量,若实数 , , , 使 ,则 , D.已知 , 是平面内的一组基底,对平面内任一向量 ,使 的实数 , 有且只有一 对 10.在直角梯形 中, 为 中点, 分别为线段 的两个三等分点,点 为线段 上任意一点,若 ,则 的值可能是( )A.1 B. C. D.3 11.在 所在的平面上存在一点 , ,则下列说法错误的是( ) A.若 ,则点 的轨迹不可能经过 的外心 B.若 ,则点 的轨迹不可能经过 的垂心 C.若 ,则点 的轨迹可能经过 的重心 D.若 ,则点 的轨迹可能经过 的内心 三、填空题 12.如图,在 中,D为边BC的中点,E为AD靠近A点的三等分点,若 ,则 _____________. 13.如图,在 中, , ,直线 交 于点 ,若 则 _________ . 14.正 的边长为 ,中心为点 ,过 的动直线 与边 、 分别相交于点 、 , ,, , ,给出下列四个结论: ① ; ②若 ,则 ; ③ 不是定值,与直线 的位置有关; ④ 的最小值为 . 其中所有正确结论的序号是______. 15.如图, 中, 为 边的中点, 为线段 上的任意一点(不含 , ),且 ,(x, ),若 恒成立,则实数a的最大值为_______. 四、解答题 16.如图所示,在 中,点 是BC的中点,点 在边AC上,且 , 与BN相交于 点 ,求证: . 【C组 在创新中考查思维】 一、单选题 1.在 中, , , ,点 在该三角形的内切圆上运动,若 ( , 为实数),则 的最小值为( )A. B. C. D. 2.如图,点C是半径为1的扇形圆弧 上一点,且 ,若 ,则 的最大 值是( ) A.1 B. C. D.4 3.在直角梯形ABCD中 , ,点E为BC边上一点,且 ,则 的取值范围是( ) A. B. C. D. 二、多选题 4.在给出的下列命题中,正确的是( ) A.已知点 在 所在的平面内,满足 ,则点 是 的外心 B.已知平面向量 , , 满足 , ,则 为等腰直角 三角形 C.已知平面向量 , , 满足 ,且 ,则 是等 边三角形 D.在矩形ABCD中, , ,动点 在以点 为圆心且与BD相切的圆上.若 ,则 的最大值为1. 三、填空题 5.已知平面向量 , , ,满足 , , 且 ,若对每一个确定的向量 ,记 的最小值为 ,则当 变化时,实数 的最大值为__________. 6.赵爽是我国古代数学家,大约在公元222年,他为《周髀算经》一书作序时,介绍了“勾股圆方图”, 亦称“赵爽弦图”(以弦为边长得到的正方形由4个全等的直角三角形再加上中间的一个小正方形组成) 类比“赵爽弦图”,可构造如图所示的图形,它是由3个全等的三角形与中间一个小等边三角形拼成的一 个较大的等边三角形,设 ,若 ,则 的值为______. 四、解答题 7.已知 中, , , ,Q是边AB(含端点)上的动点. (1)若 ,O点为AP与CQ的交点,请用 , 表示 ; (2)若点Q使得 ,求 的取值范围及 的最大值.