当前位置:首页>文档>第42练直线与椭圆(精练:基础+重难点)一轮复习讲义2024年高考数学高频考点题型归纳与方法总结(新高考通用)原卷版_2.2025数学总复习_2024年新高考资料_1.2024一轮复习

第42练直线与椭圆(精练:基础+重难点)一轮复习讲义2024年高考数学高频考点题型归纳与方法总结(新高考通用)原卷版_2.2025数学总复习_2024年新高考资料_1.2024一轮复习

  • 2026-04-09 05:01:33 2026-03-25 18:27:58

文档预览

第42练直线与椭圆(精练:基础+重难点)一轮复习讲义2024年高考数学高频考点题型归纳与方法总结(新高考通用)原卷版_2.2025数学总复习_2024年新高考资料_1.2024一轮复习
第42练直线与椭圆(精练:基础+重难点)一轮复习讲义2024年高考数学高频考点题型归纳与方法总结(新高考通用)原卷版_2.2025数学总复习_2024年新高考资料_1.2024一轮复习
第42练直线与椭圆(精练:基础+重难点)一轮复习讲义2024年高考数学高频考点题型归纳与方法总结(新高考通用)原卷版_2.2025数学总复习_2024年新高考资料_1.2024一轮复习
第42练直线与椭圆(精练:基础+重难点)一轮复习讲义2024年高考数学高频考点题型归纳与方法总结(新高考通用)原卷版_2.2025数学总复习_2024年新高考资料_1.2024一轮复习
第42练直线与椭圆(精练:基础+重难点)一轮复习讲义2024年高考数学高频考点题型归纳与方法总结(新高考通用)原卷版_2.2025数学总复习_2024年新高考资料_1.2024一轮复习
第42练直线与椭圆(精练:基础+重难点)一轮复习讲义2024年高考数学高频考点题型归纳与方法总结(新高考通用)原卷版_2.2025数学总复习_2024年新高考资料_1.2024一轮复习
第42练直线与椭圆(精练:基础+重难点)一轮复习讲义2024年高考数学高频考点题型归纳与方法总结(新高考通用)原卷版_2.2025数学总复习_2024年新高考资料_1.2024一轮复习
第42练直线与椭圆(精练:基础+重难点)一轮复习讲义2024年高考数学高频考点题型归纳与方法总结(新高考通用)原卷版_2.2025数学总复习_2024年新高考资料_1.2024一轮复习
第42练直线与椭圆(精练:基础+重难点)一轮复习讲义2024年高考数学高频考点题型归纳与方法总结(新高考通用)原卷版_2.2025数学总复习_2024年新高考资料_1.2024一轮复习
第42练直线与椭圆(精练:基础+重难点)一轮复习讲义2024年高考数学高频考点题型归纳与方法总结(新高考通用)原卷版_2.2025数学总复习_2024年新高考资料_1.2024一轮复习
第42练直线与椭圆(精练:基础+重难点)一轮复习讲义2024年高考数学高频考点题型归纳与方法总结(新高考通用)原卷版_2.2025数学总复习_2024年新高考资料_1.2024一轮复习
第42练直线与椭圆(精练:基础+重难点)一轮复习讲义2024年高考数学高频考点题型归纳与方法总结(新高考通用)原卷版_2.2025数学总复习_2024年新高考资料_1.2024一轮复习
第42练直线与椭圆(精练:基础+重难点)一轮复习讲义2024年高考数学高频考点题型归纳与方法总结(新高考通用)原卷版_2.2025数学总复习_2024年新高考资料_1.2024一轮复习
第42练直线与椭圆(精练:基础+重难点)一轮复习讲义2024年高考数学高频考点题型归纳与方法总结(新高考通用)原卷版_2.2025数学总复习_2024年新高考资料_1.2024一轮复习
第42练直线与椭圆(精练:基础+重难点)一轮复习讲义2024年高考数学高频考点题型归纳与方法总结(新高考通用)原卷版_2.2025数学总复习_2024年新高考资料_1.2024一轮复习
第42练直线与椭圆(精练:基础+重难点)一轮复习讲义2024年高考数学高频考点题型归纳与方法总结(新高考通用)原卷版_2.2025数学总复习_2024年新高考资料_1.2024一轮复习
第42练直线与椭圆(精练:基础+重难点)一轮复习讲义2024年高考数学高频考点题型归纳与方法总结(新高考通用)原卷版_2.2025数学总复习_2024年新高考资料_1.2024一轮复习
第42练直线与椭圆(精练:基础+重难点)一轮复习讲义2024年高考数学高频考点题型归纳与方法总结(新高考通用)原卷版_2.2025数学总复习_2024年新高考资料_1.2024一轮复习
第42练直线与椭圆(精练:基础+重难点)一轮复习讲义2024年高考数学高频考点题型归纳与方法总结(新高考通用)原卷版_2.2025数学总复习_2024年新高考资料_1.2024一轮复习
第42练直线与椭圆(精练:基础+重难点)一轮复习讲义2024年高考数学高频考点题型归纳与方法总结(新高考通用)原卷版_2.2025数学总复习_2024年新高考资料_1.2024一轮复习
第42练直线与椭圆(精练:基础+重难点)一轮复习讲义2024年高考数学高频考点题型归纳与方法总结(新高考通用)原卷版_2.2025数学总复习_2024年新高考资料_1.2024一轮复习
第42练直线与椭圆(精练:基础+重难点)一轮复习讲义2024年高考数学高频考点题型归纳与方法总结(新高考通用)原卷版_2.2025数学总复习_2024年新高考资料_1.2024一轮复习
第42练直线与椭圆(精练:基础+重难点)一轮复习讲义2024年高考数学高频考点题型归纳与方法总结(新高考通用)原卷版_2.2025数学总复习_2024年新高考资料_1.2024一轮复习
第42练直线与椭圆(精练:基础+重难点)一轮复习讲义2024年高考数学高频考点题型归纳与方法总结(新高考通用)原卷版_2.2025数学总复习_2024年新高考资料_1.2024一轮复习
第42练直线与椭圆(精练:基础+重难点)一轮复习讲义2024年高考数学高频考点题型归纳与方法总结(新高考通用)原卷版_2.2025数学总复习_2024年新高考资料_1.2024一轮复习
第42练直线与椭圆(精练:基础+重难点)一轮复习讲义2024年高考数学高频考点题型归纳与方法总结(新高考通用)原卷版_2.2025数学总复习_2024年新高考资料_1.2024一轮复习
第42练直线与椭圆(精练:基础+重难点)一轮复习讲义2024年高考数学高频考点题型归纳与方法总结(新高考通用)原卷版_2.2025数学总复习_2024年新高考资料_1.2024一轮复习
第42练直线与椭圆(精练:基础+重难点)一轮复习讲义2024年高考数学高频考点题型归纳与方法总结(新高考通用)原卷版_2.2025数学总复习_2024年新高考资料_1.2024一轮复习
第42练直线与椭圆(精练:基础+重难点)一轮复习讲义2024年高考数学高频考点题型归纳与方法总结(新高考通用)原卷版_2.2025数学总复习_2024年新高考资料_1.2024一轮复习

文档信息

文档格式
docx
文档大小
1.663 MB
文档页数
29 页
上传时间
2026-03-25 18:27:58

文档内容

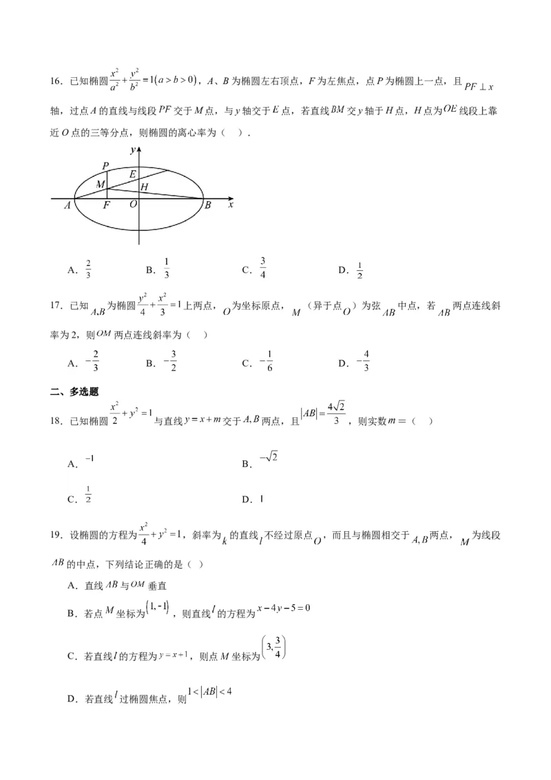
【一轮复习讲义】2024年高考数学高频考点题型归纳与方法总结(新高考通用) 第 42 练 直线与椭圆(精练) 刷真题 明导向 一、单选题 1.(2023·全国·统考高考真题)已知椭圆 的左、右焦点分别为 , ,直线 与C 交于A,B两点,若 面积是 面积的2倍,则 ( ). A. B. C. D. 二、填空题 2.(2022·全国·统考高考真题)已知直线l与椭圆 在第一象限交于A,B两点,l与x轴,y轴分 别交于M,N两点,且 ,则l的方程为 . 3.(2021·全国·高考真题)已知 为椭圆C: 的两个焦点,P,Q为C上关于坐标原点对称 的两点,且 ,则四边形 的面积为 . 三、解答题 4.(2023·北京·统考高考真题)已知椭圆 的离心率为 ,A、C分别是E的上、 下顶点,B,D分别是 的左、右顶点, . (1)求 的方程; (2)设 为第一象限内E上的动点,直线 与直线 交于点 ,直线 与直线 交于点 .求证: . 5.(2023·全国·统考高考真题)已知椭圆 的离心率是 ,点 在 上.(1)求 的方程; (2)过点 的直线交 于 两点,直线 与 轴的交点分别为 ,证明:线段 的中点为 定点. 6.(2023·天津·统考高考真题)设椭圆 的左右顶点分别为 ,右焦点为 ,已知 . (1)求椭圆方程及其离心率; (2)已知点 是椭圆上一动点(不与端点重合),直线 交 轴于点 ,若三角形 的面积是三角形 面积的二倍,求直线 的方程. 7.(2022·天津·统考高考真题)椭圆 的右焦点为F、右顶点为A,上顶点为B,且满 足 . (1)求椭圆的离心率 ; (2)直线l与椭圆有唯一公共点M,与y轴相交于N(N异于M).记O为坐标原点,若 ,且 的面积为 ,求椭圆的标准方程. 8.(2022·北京·统考高考真题)已知椭圆 的一个顶点为 ,焦距为 . (1)求椭圆E的方程; (2)过点 作斜率为k的直线与椭圆E交于不同的两点B,C,直线AB,AC分别与x轴交于点M,N, 当 时,求k的值.9.(2021·天津·统考高考真题)已知椭圆 的右焦点为 ,上顶点为 ,离心率为 , 且 . (1)求椭圆的方程; (2)直线 与椭圆有唯一的公共点 ,与 轴的正半轴交于点 ,过 与 垂直的直线交 轴于点 . 若 ,求直线 的方程. 10.(2021·北京·统考高考真题)已知椭圆 一个顶点 ,以椭圆 的四个顶 点为顶点的四边形面积为 . (1)求椭圆E的方程; (2)过点P(0,-3)的直线l斜率为k的直线与椭圆E交于不同的两点B,C,直线AB,AC分别与直线交 交于点M,N,当|PM|+|PN|≤15时,求k的取值范围. 【A组 在基础中考查功底】 一、单选题 1.过椭圆 的右焦点且与椭圆长轴垂直的直线与椭圆相交于 两点,则 等于( ) A.4 B.2 C.1 D.4 2.直线 与椭圆 的公共点的个数是( ) A.0 B.1 C.2 D.无数个 3.直线 与椭圆 只有一个交点,则 的值为( )A. B. C. D. 4.椭圆 与直线 的位置关系是( ) A.相离 B.相交 C.相切 D.无法确定 5.已知斜率为 的直线 与椭圆 交于 两点,线段 的中点为 ,直线 ( 为 坐标原点)的斜率为 ,则 ( ) A. B. C. D. 6.已知椭圆E: 与直线 相交于A,B两点,O是坐标原点,如果 是等边三 角形,那么椭圆E的离心率等于( ) A. B. C. D. 7.已知直线 交椭圆 于 两点,若点 为 两点的中点,则直线 的斜率为 ( ) A. B. C. D. 8.已知直线 与椭圆 交于A,B两点,线段 的中点为 ,则椭 圆C的离心率是( ) A. B. C. D. 9.若直线 与焦点在x轴上的椭圆 总有公共点,则n的取值范围是( ) A. B. C. D.10.已知直线 过椭圆C; 的一个焦点,与C交于A,B两点,与 平行的 直线 与C交于M,N两点,若AB的中点为P,MN的中点为Q,且PQ的斜率为 ,则C的方程为( ) A. B. C. D. 11.已知椭圆C: ,过点 的直线l与椭圆C交于A,B两点,若点P恰为弦AB的中点, 则直线l的斜率是( ) A. B. C. D. 12.已知椭圆 的左、右顶点分别是 是坐标原点, 在椭圆 上,且 ,则 的面积是( ) A. B.4 C. D.8 13.已知直线y=kx-1与焦点在x轴上的椭圆C: 总有公共点,则椭圆C的离心率取值范围 是( ) A. B. C. D. 14.过椭圆 的左焦点作直线和椭圆交于A、B两点,且 ,则这样直线的条数为( ) A.0 B.1 C.2 D.3 15.已知椭圆 ( )的一条弦所在的直线方程是 ,弦的中点坐标是 ,则椭圆的离心率是( ) A. B. C. D.16.已知椭圆 ,A、B为椭圆左右顶点,F为左焦点,点P为椭圆上一点,且 轴,过点A的直线与线段 交于M点,与y轴交于 点,若直线 交y轴于H点,H点为 线段上靠 近O点的三等分点,则椭圆的离心率为( ). A. B. C. D. 17.已知 为椭圆 上两点, 为坐标原点, (异于点 )为弦 中点,若 两点连线斜 率为2,则 两点连线斜率为( ) A. B. C. D. 二、多选题 18.已知椭圆 与直线 交于 两点,且 ,则实数 =( ) A. B. C. D. 19.设椭圆的方程为 ,斜率为 的直线 不经过原点 ,而且与椭圆相交于 两点, 为线段 的中点,下列结论正确的是( ) A.直线 与 垂直 B.若点 坐标为 ,则直线 的方程为 C.若直线 的方程为 ,则点 坐标为 D.若直线 过椭圆焦点,则20.已知椭圆 的离心率为 ,直线 与椭圆 交于 , 两点,直线 与直 线 的交点恰好为线段 的中点,则( ) A. B. C.直线 的斜率为1 D.直线 的斜率为4 21.已知椭圆 : 内一点 ,直线 与椭圆 交于 , 两点,且 为线段 的中点,则 下列结论正确的是( ) A.椭圆的焦点坐标为 、 B.椭圆 的长轴长为 C.椭圆的离心率 D.直线 的方程为 22.已知 为坐标原点,椭圆 的中心为原点,焦点在坐标轴上,点 , 均在椭圆 上,则 ( ) A.椭圆 的离心率为 B.椭圆 的短轴长为 C.直线 与椭圆 相交 D.若点 在椭圆 上, 中点坐标为 ,则直线 的方程为 23.已知椭圆 为 的左焦点,直线 与 交于 两点(点 在第一象限),直线 与椭圆 的另一个交点为 ,则( ) A. B.当 时, 的面积为 C. D. 的周长的最大值为 三、填空题24.已知椭圆 ,过左焦点 作倾斜角为 的直线交椭圆于 、 两点,则弦 的长为 . 25.若椭圆的中心在原点,一个焦点为 ,直线 与椭圆相交所得弦的中点的纵坐标为1,则这 个椭圆的方程为 . 26.已知椭圆 的焦距为6,短轴为长轴的 ,直线l与椭圆交于A,B两点,弦AB 的中点为 ,则直线l的方程为 . 27.已知AB是椭圆 一条弦,且弦AB与直线 垂直,P是AB的中点,O为椭圆的 中心,则直线OP斜率是 . 28.已知椭圆T: 的长轴长是短轴长的2倍,过左焦点F作倾斜角为45°的直线交T于 A,B两点,若 ,则椭圆T的方程为 . 29.已知椭圆 , ,过点 且斜率为 的直线与C相交于A,B两点, 若直线 平分线段 ,则C的离心率等于 . 30.已知椭圆 ,过点 的直线交椭圆 于 、 两点,若 为 的中点,则直线 的方程为 31.已知O为坐标原点,直线 与椭圆 交于A,B两点,P为 的中点, 直线 的斜率为 ,若 ,则椭圆的离心率的取值范围为 . 四、解答题 32.已知椭圆 及直线 . (1)当直线与椭圆有公共点时,求实数 的取值范围; (2)求直线被椭圆截得的最长弦的长度.33.已知椭圆 的离心率为 ,其左焦点为 .直线 交椭圆 于不同的两点 . (1)求椭圆 的方程; (2)求 的面积. 34.已知椭圆 的焦距为4,且离心率为 . (1)求椭圆C的方程; (2)若直线 与椭圆C交于不同的两点M,N,且线段MN的中点P在圆 上,求m的值. 35.设椭圆 的离心率 ,过点 . (1)求椭圆 的方程; (2)求椭圆 被直线 截得的弦长. (3)直线 与椭圆交于 两点,当 时,求 值.(O为坐标原点) 36.已知椭圆 的右焦点 ,长半轴长与短半轴长的比值为2. (1)求椭圆 的标准方程; (2)设 为椭圆 的上顶点,直线 与椭圆 相交于不同的两点 , ,若 ,求 直线 的方程. 37.已知椭圆 右焦点为 ,离心率 . (1)求椭圆E的方程; (2)过焦点F且倾斜角为锐角的直线l与圆 相切,与椭圆E相交于M、N两点,求椭圆的弦MN的长度. 38.已知椭圆 : 的上顶点到焦点的距离为2,离心率为 . (1)求 , 的值; (2)若 是椭圆 长轴上的一个动点,过点 作斜率为1的直线 交椭圆于A,B两点,求 面积的最大 值. 39.已知椭圆 的长轴长是短轴长的 倍,且右焦点为 . (1)求椭圆 的标准方程; (2)直线 交椭圆 于 , 两点,若线段 中点的横坐标为 .求直线 的方程. 40.已知椭圆 的左焦点 ,右顶点 . (1)求 的方程 (2)设 为 上一点(异于左、右顶点), 为线段 的中点, 为坐标原点,直线 与直线 交于点 ,求证: . 41.点 是曲线 上任一点,已知曲线 在点 处的切线方程为 . 如图,点P是椭圆 上的动点,过点P作椭圆C的切线l交圆 于点A、B,过A、B 作圆O的切线交于点M.(1)求点M的轨迹方程; (2)求 面积的最大值. 42.已知点 、 分别是椭圆C: )的左、右焦点,点P在椭圆C上,当∠PF 1 F 2 = 时, 面积达到最大,且最大值为 . (1)求椭圆C的标准方程; (2)设直线l: 与椭圆C交于A、B两点,求 面积的最大值. 43.已知椭圆 ,左焦点为 ,点 在椭圆上. (1)求椭圆 的标准方程. (2)若直线 和椭圆交于 两点,设点 为线段 的中点, 为坐标原点,求线段 长度的取值范围. 44.设O为原点,已知椭圆 的右顶点为A,上顶点为B,左焦点为F, ,离 心率为 . (1)求椭圆的方程; (2)设直线 与椭圆交于第三象限中的点T,求点T的纵坐标; (3)设过点A且斜率为k的直线l与椭圆交于点P(P不是椭圆的顶点),点Q与点P关于x轴对称,若,求k的值. 45.已知椭圆 : 的离心率为 ,且短轴长等于双曲线: 的实轴长. (1)求椭圆 的标准方程; (2)若 , 为椭圆 上关于原点 对称的两点,在圆 : 上存在点 ,使得 为等边三角 形,求直线 的方程.. 46.已知椭圆 经过点 且焦距为4,点 分别为椭圆 的左右顶点,点 在 椭圆 上. (1)求椭圆 的方程; (2)设直线 的斜率分别为 ,求 的值; (3) 是椭圆 上的两点,且 不在坐标轴上,满足 , ,问 的面积是否是定值?如果是,请求出 的面积;如果不是,请你说明理由. 47.已知点 在椭圆 上,且长轴长为4. (1)求椭圆 的标准方程; (2)过点 的直线 与椭圆 相交于 、 两点,点 关于 轴的对称点为 ,直线 与 轴相交于点 ,求点 的坐标. 48.已知椭圆 ,离心率 ,过点 . (1)求 的方程; (2)直线 过点 ,交椭圆与 两点,记 ,证明 .49.已知椭圆 的离心率为 ,长轴长为 . (1)求椭圆C的方程; (2)过椭圆C的右焦点F的直线l与椭圆C相交于A、B两点,若以AB为直径的圆过坐标原点O,求直线l 的方程. 50.已知椭圆 经过点 ,且离心率为 . (1)求椭圆E的方程; (2)若经过点 ,且斜率为k的直线与椭圆E交于不同的两点P,Q(均异于点A),证明:直线AP与 AQ的斜率之和为定值. 51.设椭圆 的左、右焦点分别为 是椭圆上的一点, ,原点 到直 线 的距离为 . (1)求椭圆 的离心率; (2)平面上点B满足 ,过 与 平行的直线交 于 两点,若 ,求椭圆 的 方程. 【B组 在综合中考查能力】 一、单选题 1.已知椭圆 ,直线 与椭圆交于 两点, 分别为椭圆的左、右两个焦点, 直线 与椭圆交于另一个点 ,则直线 与 的斜率乘积为( ) A. B. C. D.2.椭圆 内有一点 ,则以 为中点的弦所在直线的斜率为( ) A. B. C. D. 3.若椭圆 的弦 的中点为 ,则弦 的长为( ) A. B. C. D. 4.已知椭圆 的一条弦所在的直线方程是 ,弦的中点坐标是 ,则 椭圆的离心率是( ) A. B. C. D. 5.已知椭圆 ,过椭圆的左顶点A作直线 ,与椭圆和 轴分别交于点 和点 ,过 原点且平行于 的直线与椭圆交于点 ,则( ) A. , , 始终成等比数列 B. , , 始终成等比数列 C. , , 始终成等比数列 D. , , 始终成等比数列 6.已知椭圆 ,斜率为 的直线与椭圆 交于 两点, 在 轴左侧,且 点 在 轴上方,点 关于坐标原点 对称的点为 ,且 ,则该椭圆的离心率为( ) A. B. C. D.7.已知 是椭圆 的左焦点,过 作斜率为 的直线交椭圆 于 , 两点,若 线段MN的长等于椭圆 短轴长的 ,则椭圆 的离心率为( ) A. B. C. D. 8.A,B是椭圆 上两点,线段AB的中点在直线 上,则直线AB与y轴的交点的纵坐标的 取值范围是( ). A. B. C. D. 9.已知椭圆: ( ),O为坐标原点,A、B、C是椭圆上三个点,满足 且 的面积为 ,则椭圆的离心率为( ) A. B. C. D. 10.已知椭圆方程为 , 为椭圆内一点,以 为中点的弦与椭圆交于点 , 与 轴交于点 ,线段 的中垂线与 轴交于点 ,当 面积最小时,椭圆的离心率为( ) A. B. C. D. 二、多选题 11.已知椭圆 的右焦点为 ,直线 与椭圆交于 、 两点,则( ) A. 的周长为20 B. 的面积为C.线段 中点的横坐标为 D.线段 的长度为 12.在平面直角坐标系 中,已知直线 : ,椭圆 : ,则下列说 法正确的有( ) A. 恒过点 B.若 恒过 的焦点,则 C.对任意实数 , 与 总有两个互异公共点,则 D.若 ,则一定存在实数 ,使得 与 有且只有一个公共点 13.已知椭圆 的右焦点为 ,过点 的直线交椭圆 于 两点.若 的中 点坐标为 ,则( ) A.直线 的方程为 B. C.椭圆的标准方程为 D.椭圆的离心率为 14.已知直线 与椭圆 交于 、 两点,点 为椭圆 的左、右焦点,则下列说 法正确的有( ) A.椭圆 的离心率为 B.椭圆 上存在点 ,使得 C.当 时, ,使得 D.当 , , 三、填空题 15.已知椭圆 的右顶点为A,上顶点为B,则椭圆上的一动点M到直线AB距离的最大值为 .16.已知直线 与椭圆 在第二象限交于 两点,且 与 轴、 轴分别交于 两点,若 , ,则 的方程为 . 17.已知椭圆C: 的左、右焦点分别为 , ,过 的直线l交椭圆C于A,B两点.若 的 内切圆的半径为 ,则直线l的方程为 . 18.已知直线 与圆 相切,且交椭圆 于 两点,若 , 则 . 19.已知点 是椭圆C: 上的一点, 是椭圆的左、右焦点,且 ,则椭圆C的方程是.若圆 的切线与椭圆C相交于M点,则 的最大值是 . 20.设椭圆中心在坐标原点, 是它的两个顶点,直线 与线段AB相交于点D, 与椭圆相交于E,F两点.若 ,则实数k的值为 . 21.已知椭圆C: ,圆O: ,直线l与圆O相切于第一象限的点A,与椭圆C交于 P,Q两点,与x轴正半轴交于点B.若 ,则直线l的方程为 . 四、解答题 22.已知椭圆M: ,圆N: ,直线l过椭圆M右焦点F且倾斜角为 . (1)求直线l方程及椭圆M的焦距. (2)直线l交椭圆M于A、B两点,直线l交圆N于C、D两点,求 .23.已知抛物线 的焦点为椭圆 的右焦点,且椭圆 过点 . (1)求椭圆 的标准方程; (2)若与直线 为坐标原点)平行的直线交椭圆 于 两点,且 ,求直线 的方程. 24.已知椭圆与双曲线 的焦点相同,且它们的离心率之和等于 . (1)求椭圆方程; (2)过椭圆内一点 作一条弦 ,使该弦被点 平分,求弦 所在直线方程. 25.已知椭圆 的左、右焦点分别为 , ,离心率为 ,点M在椭圆上,且满足 轴, . (1)求椭圆的方程; (2)若直线 交椭圆于A,B两点,以线段 为直径的圆过 ,求k的值. 26.已知点 为椭圆 上任意一点,过点 的直线 交椭圆 于 两点,射 线 交椭圆 于点 . (1)求 的值;(2)求 面积的最大值. 27.已知椭圆 的离心率为 ,点 在椭圆上. (1)求椭圆的标准方程; (2)若椭圆过原点 的弦 相互垂直,求四边形 面积的最大值. 28.设椭圆 的上顶点为 ,左焦点为 ,已知椭圆的离心率 , . (1)求椭圆方程; (2)设过点 且斜率为 的直线 与椭圆交于点 ( 异于点 ),与直线 交于点 ,点 关于 轴 的对称点为 ,直线 与 轴交于点 ,若 的面积为 ,求直线 的方程. 29.已知椭圆 左右焦点分别为 ,离心率为 .斜率为 的直线 (不 过原点)交椭圆于两点 ,当直线 过 时, 周长为8. (1)求椭圆 的方程; (2)设 斜率分别为 ,且 依次成等比数列,求 的值,并求当 面积为 时,直 线 的方程. 30.在平面直角坐标系 中,过椭圆M: 的右焦点的直线 交M于A, B两点,P为AB的中点,且OP的斜率为 .(1)求椭圆M的方程; (2)C,D为M上两点,若四边形ACBD的对角线 ,求四边形 面积的最大值. 31.已知 是椭圆 上一点, 、 为 的左、右焦点, , , . (1)求 的方程; (2)过 的直线 交椭圆于 两点,若四边形 的面积为 ,求 的方程. 32.已知椭圆 的右焦点为 ,上顶点为 , ,离心率为 . (1)求椭圆 的标准方程; (2)若直线 与椭圆 相交于 两点,且点 ,当 的面积最大时,求直线 的方程. 33.已知椭圆 的左、右顶点是双曲线 的顶点, 的焦点到 的渐 近线的距离为 .直线 与 相交于A,B两点, . (1)求证: (2)若直线l与 相交于P,Q两点,求 的取值范围. 34.椭圆 的两焦点为 , ,且椭圆过点 . (1)求椭圆的方程; (2) 是坐标原点, 是椭圆上两点, 是平行四边形,求以 为直径的圆的方程.35.已知椭圆 : 的长轴长为 ,且短轴长是长轴长的一半. (1)求 的方程; (2)已知直线 : 与椭圆 相交于两点 , ,求线段 的长度; (3)经过点 作直线 ,交椭圆于 、 两点 如果 恰好是线段 的中点,求直线 的方程. 36.椭圆E的方程为 ,短轴长为2,若斜率为 的直线与椭圆E交于 两点,且线 段 的中点为 . (1)求椭圆E的方程; (2)若直线l: 与圆 相切,且与椭圆E交于M,N两点,且 ,求直线l 的方程. 37.已知椭圆 过点P(-1,-1),c为椭圆的半焦距,且c= b.过点P作两条 互相垂直的直线l,l 与椭圆C分别交于另两点M,N. 1 2 (1)求椭圆C的方程; (2)若直线l 的斜率为-1,求 PMN的面积; 1 (3)若线段MN的中点在x轴上△,求直线MN的方程. 38.已知抛物线 : 的焦点为 为 上的动点, 垂直于动直线 ,垂足为 ,当 为等边三角形时,其面积为 . (1)求 的方程; (2)设 为原点,过点 的直线 与 相切,且与椭圆 交于 两点,直线 与 交于点 , 试问:是否存在 ,使得 ?若存在,求 的值;若不存在,请说明理由.39.已知椭圆 : 的长轴长为4,短轴长与焦距相等. (1)求椭圆 的标准方程和离心率; (2)已知直线 与椭圆 有两个不同的交点 , , ,是否存在实数 ,使得 是以 为底边的等腰三角形?若存在,求出直线的方程;若不存在,说明理由. 40.已知椭圆 的离心率为e,且过点 和 . (1)求椭圆C的方程; (2)若椭圆C上有两个不同点A,B关于直线 对称,求 . 【C组 在创新中考查思维】 一、单选题 1.考虑这样的等腰三角形:它的三个顶点都在椭圆 : 上,且其中恰有两个顶点为 的顶点. 这样的等腰三角形的个数为( ) A.8 B.12 C.16 D.20 2.已知交于点 的直线 , 相互垂直,且均与椭圆 相切,若 为 的上顶点,则 的取 值范围为( ) A. B. C. D. 3.已知椭圆 的左焦点为 ,离心率为 .过点 作直线 与椭圆 交于 , 两 点,与直线 交于点 ,若 恰好是 的中点,则直线l的斜率为( )A. B. C. D. 4.已知椭圆 右顶点为 ,上顶点为 ,该椭圆上一点 与 的连线的斜率 , 的中点为 ,记 的斜率为 ,且满足 ,若 分别是 轴、 轴负半轴上 的动点,且四边形 的面积为2,则三角形 面积的最大值是( ) A. B. C. D. 5.椭圆 的右焦点为 ,上顶点为 ,若存在直线 与椭圆交于不同两点 , 重心为 ,直线 的斜率取值范围是( ) A. B. C. D. 6.已知焦点在 轴上的椭圆 的内接平行四边形的一组对边分别经过其两个焦点(如图 所示),当这个平行四边形为矩形时,其面积最大,则 的取值范围是( ) A. B. C. D. 7.已知椭圆 左右焦点分别为 ,上顶点为A,离心率为 ,过 且为线段 的垂线 交 于 两点,则 周长为( ) A. B. C. D. 8.已知圆 ,椭圆 ,过C上任意一点P作圆C的切线l,交 于A,B两点,过A,B分别作椭圆 的切线,两切线交于点Q,则 (O为坐标原点)的最大值为( ) A.16 B.8 C.4 D.2 二、多选题 9.已知直线 与椭圆 交于 两点,点 为椭圆 的下焦点,则下列结论正确的 是( ) A.当 时, ,使得 B.当 时, , C.当 时, ,使得 D.当 时, , 10.已知 、 分别为椭圆 : 的左、右焦点,不过原点 且斜率为1的直线与椭圆 交于 、 两点,则下列结论正确的有( ) A.椭圆 的离心率为 B.椭圆 的长轴长为 C.若点 是线段 的中点,则 的斜率为 D. 的面积最大值为 11.直线 , 与椭圆 共有四个交点,它们逆时针方向依次为 , 则( ) A. B.当 时,四边形 为正方形C.四边形 面积的最大值为 D.若四边形 为菱形,则 12.在平面直角坐标系 中,已知椭圆 ,圆 ,直线: (k,b为常数,且 ).点 ,( ) A.若点Q在 上运动,则 的最大值为 B.若l与 都相切,则这样的l共有4条,且其中一条的方程是 C.若过P点作 的切线,则切线唯一且方程为 D.若 ,l与 都相交且截得的弦长相等,则 三、填空题 13.已知直线l与椭圆 在第二象限交于A,B两点,直线l与x轴、y轴分别交于C,D两点, 且 ,则直线l的方程为 . 14.已知椭圆 , , ,斜率为 的直线与C交于P,Q两点,若直线 与 的斜率之积为 ,且 为钝角,则k的取值范围为 . 15.已知直线 与椭圆 在第二象限交于A,B两点, 与x轴,y轴分别交于M,N两点,且 , ,则直线 在y轴上的截距为 . 16.椭圆 : 的左,右焦点分别为 , ,上顶点为 ,离心率为 ,直线将 分成面积相等的两部分,则 的取值范围是 . 四、解答题 17.已知 为椭圆 上任一点, , 为椭圆的焦点, ,离心率为 . (1)求椭圆的方程; (2)若直线 : 与椭圆的两交点为A, ,线段 的中点 在直线 上, 为坐标原 点,当 的面积等于 时,求直线 的方程. 18.已知 , 为椭圆C: 的左、右顶点,且椭圆C过点 . (1)求C的方程; (2)过左焦点F的直线l交椭圆C于D,E两点(其中点D在x轴上方),求 的取值范围. 19.已知椭圆C: 的焦距为 ,且椭圆经过点 . (1)求椭圆C的方程; (2)设直线l交C于P,Q两点,直线AP,AQ的斜率之和为 ,求l的斜率. 20.已知椭圆 ,过点 作圆 的切线交椭圆C于A、B两点. (1)求椭圆C的焦点坐标和离心率;(2)将 表示成m的函数,并求 的最大值. 21.已知椭圆 与直线 有唯一的公共点 ,过点 且与 垂直的直线 交 轴, 轴于 两点. (1)求 满足的关系式; (2)当点 运动时,求点 的轨迹 的方程; (3)若轨迹 与直线 交于 两点, 为坐标原点,求 面积的最大值. 22.已知椭圆 的左右焦点分别为 , ,且 的坐标为 ,点 在椭圆上. (1)求 的周长; (2)斜率为 的直线与圆 相切于第一象限,交椭圆于A,B两点,求 的周长. 23.已知椭圆 的一个焦点为 ,且过点 . (1)求椭圆 的方程; (2)直线 与椭圆 交于 两点,求 面积的最大值及此时直线 的方程. 24.椭圆 , , , , 四点中恰有三点在椭圆 上. (1)求椭圆 的标准方程; (2)椭圆 上两点 、 ,若直线 过点 ,且 ,线段 的中点为 ,求直线 的 斜率的取值范围.25.已知椭圆 的左焦点为 ,短轴长为 .过右焦点 的直线l交椭圆C于 A,B两点,直线 , 分别交直线 于点M,N. (1)求椭圆C的方程; (2)设线段AB中点为Q,当点M,N位于x轴异侧时,求Q到直线 的距离的取值范围. 26.已知直线l过点P(1,0),与椭圆C: 交于A,B两点,且直线l不与椭圆C的 对称轴垂直. (1)若直线l的斜率为1,M( ,- )为线段AB的中点,求 的值; (2)若 ,点Q(16,0),当l变化时,直线AQ,BQ的斜率总是互为相反数,求C的方程. 27.已知椭圆C: 经过点 ,O为坐标原点,若直线l与椭圆C交于A,B 两点,线段AB的中点为M,直线l与直线OM的斜率乘积为 . (1)求椭圆C的标准方程; (2)若四边形OAPB为平行四边形,求四边形OAPB的面积. 28.椭圆 : 的右焦点是 ,且经过点 ;直线 与椭圆 交于 , 两点,以 为直径的圆过原点.(1)求椭圆 的方程; (2)若过原点的直线 与椭圆 交于 , 两点,且 ,求四边形 面积的范围.