当前位置:首页>文档>第二十章数据的分析(知识归纳+12题型突破)(学生版)_初中数学_八年级数学下册(人教版)_知识点汇总-U105_2024版

第二十章数据的分析(知识归纳+12题型突破)(学生版)_初中数学_八年级数学下册(人教版)_知识点汇总-U105_2024版

  • 2026-04-01 12:06:40 2026-03-29 00:29:41

文档预览

第二十章数据的分析(知识归纳+12题型突破)(学生版)_初中数学_八年级数学下册(人教版)_知识点汇总-U105_2024版
第二十章数据的分析(知识归纳+12题型突破)(学生版)_初中数学_八年级数学下册(人教版)_知识点汇总-U105_2024版
第二十章数据的分析(知识归纳+12题型突破)(学生版)_初中数学_八年级数学下册(人教版)_知识点汇总-U105_2024版
第二十章数据的分析(知识归纳+12题型突破)(学生版)_初中数学_八年级数学下册(人教版)_知识点汇总-U105_2024版
第二十章数据的分析(知识归纳+12题型突破)(学生版)_初中数学_八年级数学下册(人教版)_知识点汇总-U105_2024版
第二十章数据的分析(知识归纳+12题型突破)(学生版)_初中数学_八年级数学下册(人教版)_知识点汇总-U105_2024版
第二十章数据的分析(知识归纳+12题型突破)(学生版)_初中数学_八年级数学下册(人教版)_知识点汇总-U105_2024版
第二十章数据的分析(知识归纳+12题型突破)(学生版)_初中数学_八年级数学下册(人教版)_知识点汇总-U105_2024版
第二十章数据的分析(知识归纳+12题型突破)(学生版)_初中数学_八年级数学下册(人教版)_知识点汇总-U105_2024版
第二十章数据的分析(知识归纳+12题型突破)(学生版)_初中数学_八年级数学下册(人教版)_知识点汇总-U105_2024版
第二十章数据的分析(知识归纳+12题型突破)(学生版)_初中数学_八年级数学下册(人教版)_知识点汇总-U105_2024版
第二十章数据的分析(知识归纳+12题型突破)(学生版)_初中数学_八年级数学下册(人教版)_知识点汇总-U105_2024版
第二十章数据的分析(知识归纳+12题型突破)(学生版)_初中数学_八年级数学下册(人教版)_知识点汇总-U105_2024版
第二十章数据的分析(知识归纳+12题型突破)(学生版)_初中数学_八年级数学下册(人教版)_知识点汇总-U105_2024版
第二十章数据的分析(知识归纳+12题型突破)(学生版)_初中数学_八年级数学下册(人教版)_知识点汇总-U105_2024版
第二十章数据的分析(知识归纳+12题型突破)(学生版)_初中数学_八年级数学下册(人教版)_知识点汇总-U105_2024版
第二十章数据的分析(知识归纳+12题型突破)(学生版)_初中数学_八年级数学下册(人教版)_知识点汇总-U105_2024版
第二十章数据的分析(知识归纳+12题型突破)(学生版)_初中数学_八年级数学下册(人教版)_知识点汇总-U105_2024版

文档信息

文档格式
docx
文档大小
2.483 MB
文档页数
14 页
上传时间
2026-03-29 00:29:41

文档内容

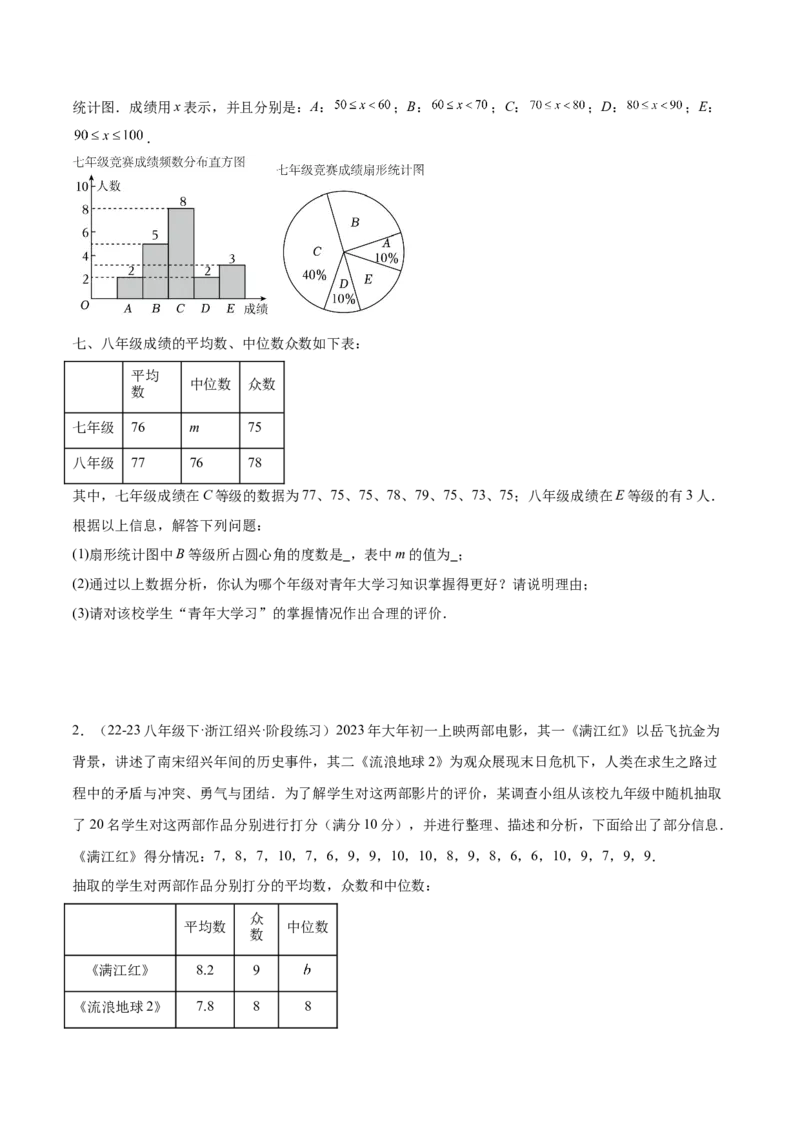
第二十章 数据的分析(知识归纳+12 题型突破) 1.了解加权平均数的意义和求法,会求实际问题中一组数据的平均数,体会用样本平均数估计总体平均数 的思想. 2.了解中位数和众数的意义,掌握它们的求法.进一步理解平均数、中位数和众数所代表的不同的数据特 征. 3.了解极差和方差的意义和求法,体会它们刻画数据波动的不同特征.体会用样本方差估计总体方差的思 想,掌握分析数据的思想和方法. 4.从事收集、整理、描述和分析数据得出结论的统计活动,经历数据处理的基本过程,体验统计与生活的 联系,感受统计在生活和生产中的作用,养成用数据说话的习惯和实事求是的科学态度. 知识一 算术平均数和加权平均数 一般地,对于 个数 ,我们把 叫做这 个数的算术平均数,简称平 均数,记作 .计算公式为 . 特别说明:平均数表示一组数据的“平均水平”,反映了一组数据的集中趋势. (1)当一组数据较大时,并且这些数据都在某一常数 附近上、下波动时,一般选用简化计算公式 .其中 为新数据的平均数, 为取定的接近这组数据的平均数的较“整”的数. (2)平均数的大小与一组数据里的每个数据均有关系,其中任一数据的变动都会相应引起平均数的变动. 所以平均数容易受到个别特殊值的影响. 若 个数 的权分别是 ,则 叫做这 个数的加权平均 数. 特别说明:(1)相同数据 的个数 叫做权, 越大,表示 的个数越多,“权”就越重. 数据的权能够反映数据的相对“重要程度”. (2)加权平均数实际上是算术平均数的另一种表现形式,是平均数的简便运算. 知识二 中位数和众数 1.中位数的概念:将一组数据按照由小到大(或由大到小)的顺序排列,如果数据的个数是奇数,则处于 中间位置的数称为这组数据的中位数;如果数据的个数是偶数,则中间两个数据的平均数称为这组数据的 中位数. 特别说明:(1)一组数据的中位数是唯一的;一组数据的中位数不一定出现在这组数据中. (2)由一组数据的中位数可以知道中位数以上和以下数据各占一半. 2.众数的概念:一组数据中出现次数最多的数据称为这组数据的众数. 特别说明:(1)一组数据的众数一定出现在这组数据中;一组数据的众数可能不止一个;如果所有数据 出现的次数都一样,那么这组数据就没有众数. (2)众数是一组数据中出现次数最多的数据而不是数据出现的次数. 知识三 平均数、中位数与众数的联系与区别 联系:平均数、众数、中位数都是用来描述数据集中趋势的量,其中以平均数最为重要. 区别:平均数的大小与每一个数据都有关,任何一个数的波动都会引起平均数的波动,当一组数据中有个 别数据太高或太低,用平均数来描述整体趋势则不合适,用中位数或众数则较合适.中位数与数据排列位 置有关,个别数据的波动对中位数没影响;众数主要研究各数据出现的频数,当一组数据中不少数据多次 重复出现时,可用众数来描述. 知识四 极差、方差和标准差 用一组数据中的最大值减去最小值所得的差来反映这组数据的变化范围,用这种方法得到的差称为极差, 极差=最大值-最小值. 特别说明:极差是最简单的一种度量数据波动情况的量,它受极端值的影响较大.一组数据极差越小,这 组数据就越稳定. 方差是反映一组数据的整体波动大小的特征的量.方差 的计算公式是: 1 S2 = [(x −¯x) 2 +(x −¯x) 2 +...+(x −¯x) 2] n 1 2 n 特别说明:(1)方差反映的是一组数据偏离平均值的情况.方差越大,数据的波动越大;方差越小,数据 的波动越小. (2)一组数据的每一个数都加上(或减去)同一个常数,所得的一组新数据的方差不变. (3)一组数据的每一个数据都变为原来的 倍,则所得的一组新数据的方差变为原来的 倍.方差的算术平方根叫做这组数据的标准差,用符号 表示,即: ;标 准差的数量单位与原数据一致. 知识五 极差、方差和标准差的联系与区别 联系:极差与方差、标准差都是表示一组数据离散程度的特征数. 区别:极差表示一组数据波动范围的大小,它受极端数据的影响较大;方差反映了一组数据与其平均值的 离散程度的大小.方差越大,稳定性也越小;反之,则稳定性越好.所以一般情况下只求一组数据的波动 范围时用极差,在考虑到这组数据的稳定性时用方差. 知识六 用样本估计总体 在考察总体的平均水平或方差时,往往都是通过抽取样本,用样本的平均水平或方差近似估计得到总体的 平均水平或方差. 特别说明:(1)如果总体数量太多,或者从总体中抽取个体的试验带有破坏性,都应该抽取样本.取样必 须具有尽可能大的代表性. (2)用样本估计总体时,样本容量越大,样本对总体的估计也越精确.样本容量的确定既要考虑问题本身 的需要,又要考虑实现的可能性所付出的代价. 【题型一 求一组数据的平均数】 例题:(2024上·江苏·九年级统考期末)学校利用劳动课采摘白萝卜,从中抽取了5个白萝卜,测得萝卜 长(单位: )为26,20,25,22,22,则这组数据的平均数是 . 【变式训练】 1.(2023上·陕西榆林·八年级校考阶段练习)为了提高大家的环境保护意识,某小区在假期开展了废旧电 池回收的志愿者活动,该小区有10名中学生参加了此项活动,他们回收的旧电池数量如下表:根据表中的 数据,这10名中学生收集废旧电池的平均数为 节. 电池数量(节) 2 5 6 8 10 人数 1 4 2 2 1 2.(2023上·湖南永州·七年级统考期末)在“书香进校园”读书活动中,某同学根据该小组阅读课外书的 数量,绘制了8~12月份的折线统计图,该小组平均每月阅读课外书为 本.【题型二 已知平均数求未知数据的值】 例题:(2024上·江苏泰州·九年级统考期末)有一组数据如下:1,4,a,6,9,它们的平均数是5,则a 的值为 . 【变式训练】 1.(2023上·山东威海·八年级校联考期中)下表是某班20名学生的一次数学测验的成绩分配表: 成绩 50 60 70 80 90 (分) 人数 2 3 2 (人) 根据上表,若成绩的平均数是72,计算: , . 2.(2023下·安徽合肥·八年级校考期末)已知一组数据0,2, ,3,5的平均数是 ,则这组数据的平 均数为 . 【题型三 利用已知的平均数求相关数据的平均数】 例题:(2023上·内蒙古包头·八年级校考阶段练习)已知一组数据a、b、c的平均数为5,那么数据 、 、 的平均数是 . 【变式训练】 1.(2023下·浙江杭州·八年级校联考期中)已知一组数据 , , , 的平均数是3,则数据 , , , 的平均数是 . 2.(2024上·山东烟台·八年级统考期末)已知: , , , , 的平均数是 , , , , ,的平均数是 ,则 , , , , 的平均数是 . 【题型四 求加权平均数】 例题:(2023上·山东青岛·八年级统考期末)随着冬季的来临,流感进入高发期.某学校为有效预防流感, 购买了A,B,C,D四种艾条进行消毒,它们的单价分别是30元,25元,20元,15元.若购买四种艾条 的数量与购买总数量的比如图所示,则该校购买艾条的平均单价是 元. 【变式训练】 1.(2023上·山东青岛·八年级统考期末)为进一步增强文化自信,肩负起传承发展中华优秀传统文化的历 史责任,某校举行了“诵读国学经典传承中华文明”演讲比赛.演讲得分按“演讲内容”占 ,“语言 表达”占 ,“形象风度”占 ,“整体效果”占 进行计算,小颖这四项的得分依次为85, 88,92,90,则她的最后得分是 分. 2.(2023上·江苏镇江·九年级统考期末)学校从德、智、体、美、劳五方面对学生进行评定,分别按 2∶3∶2∶2∶1确定最终成绩.小明同学本学期五方面得分如图所示,则小明的最终得分为 分. 【题型五 运用加权平均数做决策】 例题:(2023上·山东菏泽·八年级统考期末)某公司对应聘候选人小明和小张进行了面试和笔试,他们各 项的成绩(百分制)如下表:测试(百分制) 候选 人 面试 笔试 小明 86 90 小张 92 83 (1)如果公司认为面试和笔试成绩同等重要,从他们的成绩看,谁将被录取? (2)如果公司认为,面试的成绩应该比笔试成绩更重要,并分别赋予它们6和4的权,谁将被录取? 【变式训练】 1.(2023上·河南郑州·八年级统考期末)某校进行广播操比赛,比赛打分包括以下几项:服装统一、进退 场有序、动作规范、动作整齐(每项100分).其中甲乙两个班级的各项成绩如下表: 甲班的成绩 项目 乙班的成绩(分) (分) 服装统一 95 90 进退场有序 90 85 动作规范 85 b 动作整齐 90 95 平均分 a 90 (1)表中a的值为___________;b的值为___________. (2)若服装统一、进退场有序、动作规范、动作整齐四项得分按 的权重比例,请分别计算两个班级的广播操比赛成绩; (3)你认为上面四项中,哪一项最重要? 请你按照自己的想法设计一个评分方案.按照你的方案,哪个班的 广播操比赛成绩最高? 2.(2024上·山东枣庄·八年级统考期末)自双减以来,同学们的课后延时服务活动丰富多彩,某学校在新 的学期举办“篮球特色热爱篮核选拔班”,大量球的同学踊跃报名,但由于名额有限,所以需要考,考核的最终评价成绩由篮球知识、身体素质、篮球技能三项构成,下表是对甲、乙两名同学的成绩记录. 成绩/分 篮球知 身体素质 篮球技能 识 甲 93 94 89 乙 88 90 95 (1)如果根据三项成绩的平均分确定最终评价成绩,计算说明谁将获胜; (2)根据实际需要,将篮球知识、身体素质、篮球技能三项成绩按 的比例确定最终评价成绩,计算说 明谁将获胜; (3)如果你是“篮球特色班”的老师,请你制定一项标准来确定获胜人选,并说明制定该标准的理由. 【题型六 求中位数、众数】 例题:(2024上·山东济南·八年级统考期末)为了了解某小区居民的用水情况, 随机抽查了该小区 户 家庭的月用水量,结果如下: 月用水量(t) 户 数 2 3 2 2 1 则这 户家庭月用水量的众数是 ; 中位数是 . 【变式训练】 1.(2024上·陕西西安·八年级统考期末)将一组数据按照从小到大的顺序排列为:1,3,4,x,6,8,若 中位数为5,则这组数据的众数为 . 2.(2023上·山东青岛·八年级校考阶段练习)某校从八年级随机抽取若干名学生进行体能测试,成绩记为 1分、2分、3分、4分这4个等级,并根据调查结果绘制成如下条形统计图和扇形统计图,则学生成绩的 中位数是 ,众数是 .3.(2023上·山东泰安·八年级统考期中)2023年9月25日,杭州亚运会男子10米气步枪个人决赛,我国 18岁小将盛李豪打破世界纪录夺金.如图是盛李豪10次的射击成绩.这10次射击成绩的众数、中位数、 平均数分别为 (按顺序填). 【题型七 利用中位数求未知数据的值】 例题:(23-24八年级下·广东深圳·开学考试)一组由小到大排列的数据为 ,0,4,x,6,16,其中位数 为5,则众数是( ) A.5 B.6 C. D.5.5 【变式训练】 1.(23-24八年级上·江西九江·期末)一组数据有5个自然数:4,5,5,x,y,这组数据的中位数为4, 唯一的众数是5,那么,所有满足条件的x、y中, 的最大值是 . 2.(23-24八年级上·福建漳州·阶段练习)一组数据按从小到大的顺序排列为 这组数据的中位 数是5,那么这组数据的众数为 .【题型八 利用众数求未知数据的值】 例题:(22-23八年级上·山东东营·期末)一组数据 , , , , 的众数是 ,则这组数据的中位数是 . 【变式训练】 1.(23-24八年级上·陕西渭南·期末)已知一组数据:3,4,3,x,5,6,若这组数据的众数是3和6,则 x的值为 . 2.(23-24九年级上·广东广州·阶段练习)一组数据1, ,5,7有唯一众数,且中位数是6,则平均数是 . 【题型九 运用中位数、众数做决策】 例题:(2024年安徽省名校联考中考一模数学试题)A、B、C三个电冰箱厂家在广告中都声称,他们的电 冰箱在正常情况下的使用寿命都是8年,经质量检测部门对这三家销售的产品的使用寿命进行跟踪调查, 统计结果如下:(单位:年) 甲厂:4,5,5,5,5,7,9, , , ;乙厂:6,6,8,8,8,9, , , ,15;丙厂:4, 4,4,6,7,9, , , , ; 根据以上数据,绘制了下面不完整的表格: 平均数 众数 中位数 甲厂 8 5 6 乙厂 a 丙厂 4 b 根据以上信息解答下列问题: (1)表格中 ______, ______; (2)这三个厂家的销售广告分别利用了哪一种表示集中趋势的特征数? (3)如果这三个家电厂家的电子产品的售价相同,则顾客购买哪一家的电子产品更合适,并说明理由. 【变式训练】 1.(2023·河南新乡·二模)青年大学习是共青团中央为组织引导广大青年深入学习宣传贯彻习近平新时代 中国特色社会主义思想和党的十九大精神持续引向深入组织的青年学习行动.某校举办了相关知识竞赛 (百分制),并分别在七、八年级中各随机抽取20名学生的成绩进行统计、整理与分析,绘制成如图两幅统计图.成绩用x表示,并且分别是:A: ;B: ;C: ;D: ;E: . 七、八年级成绩的平均数、中位数众数如下表: 平均 中位数 众数 数 七年级 76 m 75 八年级 77 76 78 其中,七年级成绩在C等级的数据为77、75、75、78、79、75、73、75;八年级成绩在E等级的有3人. 根据以上信息,解答下列问题: (1)扇形统计图中B等级所占圆心角的度数是 ,表中m的值为 ; (2)通过以上数据分析,你认为哪个年级对青年大学习知识掌握得更好?请说明理由; (3)请对该校学生“青年大学习”的掌握情况作出合理的评价. 2.(22-23八年级下·浙江绍兴·阶段练习)2023年大年初一上映两部电影,其一《满江红》以岳飞抗金为 背景,讲述了南宋绍兴年间的历史事件,其二《流浪地球2》为观众展现末日危机下,人类在求生之路过 程中的矛盾与冲突、勇气与团结.为了解学生对这两部影片的评价,某调查小组从该校九年级中随机抽取 了20名学生对这两部作品分别进行打分(满分10分),并进行整理、描述和分析,下面给出了部分信息. 《满江红》得分情况:7,8,7,10,7,6,9,9,10,10,8,9,8,6,6,10,9,7,9,9. 抽取的学生对两部作品分别打分的平均数,众数和中位数: 众 平均数 中位数 数 《满江红》 8.2 9 《流浪地球2》 7.8 8 8根据以上信息,解答下列问题: (1)直接写出上述图表中的 的值; (2)根据上述数据,你认为该校九年级学生对哪部作品评价更高?请说明理由(写出一条理由即可); (3)若该校九年级1100名学生都对这两部作品进行打分,你认为这两部作品一共可得到多少个满分? 【题型十 求极差】 例题:(2024上·江苏泰州·九年级统考期末)已知一组数据96,89,92,95,98,这组数据的极差是 . 【变式训练】 1.(2024上·广东佛山·八年级统考期末)2023年立冬(11月8日)后某市一周内每天的最高气温如下表: 日期 9日 10日 11日 12日 13日 14日 15日 最高气温(℃) 28 28 24 24 19 18 23 分析表格中的数据可知,这周每天的最高气温的极差是 ℃; 2.(2023上·河南郑州·八年级校考期末)某学习小组共20人,他们的一次数学考试成绩如下表: 分 60 70 79 80 85 90 95 100 数 人 1 1 2 5 2 7 1 1 数 这20人成绩的中位数是 分,众数是 分,极差是 分. 【题型十一 利用方差求未知数据的值】 例题:(23-24八年级上·福建宁德·期末)在对一组样本数据进行分析时,小明列出了计算方差的式子: ,则 .【变式训练】 1.(23-24八年级上·山东菏泽·期末)在方差计算公式 ,若 , 分别表示这组数据的个数和平均数,则 的值为 . 2.(23-24八年级上·河北张家口·期中)小明在计算一组数据的方差时,列出的算式如下: ,分析算式中的信息,则 , . 【题型十二 运用方差做决策】 例题:(2024上·山东淄博·八年级统考期末)某校举办国学知识竞赛,设定满分10分,学生得分均为整数. 在初赛中,甲、乙两组(每组10人)学生成绩如下(单位:分) 甲组:5,6,6,6,6,6,7,9,9,10; 乙组:5,6,6,6,7,7,7,7,9,10. 组 平均数 中位数 众数 方差 别 甲 7 a 6 3.76 组 乙 b 7 c S 2 组 乙 (1)以上成绩统计分析表中 , , ; (2)小明同学说:“这次竞赛我得了7分,在我们小组中属中游略偏上!”观察上面表格判断,小明可能是 组的学生; (3)从平均数和方差看,若从甲、乙两组学生中选择一个成绩较为稳定的小组参加决赛,应选哪个组?并说 明理由. 【变式训练】 1.(2024上·浙江宁波·八年级校考期末)学校想了解初二年级学生对“二十大”知识的了解情况,进行了 “二十大”知识竞赛测试,从801、802两个班中各随机抽取了10名学生的成绩,整理如下:(成绩得分 用x表示,共分成四组:A. ,B. ,C. ,D. )801班10名学生的成绩是:96,80,96,86,99,98,92,100,89,82. 802班10名学生的成绩在C组中的数据是:94,90,92. 通过数据分析,列表如表: 801班、802班抽取的学生竞赛成绩统计表 中位 年级 平均数 众数 方差 数 801班 802班 802班学生成绩扇形统计图 根据以上信息,解答下列问题: (1)直接写出上述 、 、 的值: ______, ______, ______. (2)学校欲选成绩更稳定的班级参加相关活动,根据表格中的数据,学校会选哪一个班级?说明理由. (3)这两个班共100人参加了此次调查活动,估计两班参加此次调查活动成绩优秀( )的学生总人数 是多少? 2.(2023上·山东青岛·八年级统考期末)“惜餐为荣,殄物为耻”,为了解落实“光盘行动”的情况,某 校调研了七、八年级部分班级某一天的餐后垃圾质量.从七、八年级各随机抽取10个班餐后垃圾质量的数 据(单位:kg),进行整理和分析(餐后垃圾质量用x表示,共分为四个等级:A. ;B. ; C. ;D. ),下面给出了部分信息. 七年级10个班餐后垃圾质量: , , , , , , , , , 八年级10个班餐后垃圾质量中B等级包含的所有数据为: , , , , . 七、八年级抽取的班级餐后垃圾质量统计表平均 方 年级 中位数 众数 A等级所占百分比 数 差 七年级 a 八年级 b 八年级抽取的班级餐后垃圾质量扇形统计图 根据以上信息,解答下列问题: (1)直接写出上述表中a,b,m的值; (2)该校八年级共有30个班,估计八年级这一天餐后垃圾质量符合A等级的班级数; (3)根据以上信息,你认为该校七、八年级的“光盘行动”,哪个年级落实得更好?请说明理由(写出一条 理由即可)