当前位置:首页>文档>黄金卷07-赢在高考·黄金8卷备战2024年高考数学模拟卷(江苏专用)(参考答案)_2.2025数学总复习_2024年新高考资料_4.2024高考模拟预测试卷

黄金卷07-赢在高考·黄金8卷备战2024年高考数学模拟卷(江苏专用)(参考答案)_2.2025数学总复习_2024年新高考资料_4.2024高考模拟预测试卷

  • 2026-04-24 21:11:31 2026-03-29 07:11:02

文档预览

黄金卷07-赢在高考·黄金8卷备战2024年高考数学模拟卷(江苏专用)(参考答案)_2.2025数学总复习_2024年新高考资料_4.2024高考模拟预测试卷
黄金卷07-赢在高考·黄金8卷备战2024年高考数学模拟卷(江苏专用)(参考答案)_2.2025数学总复习_2024年新高考资料_4.2024高考模拟预测试卷
黄金卷07-赢在高考·黄金8卷备战2024年高考数学模拟卷(江苏专用)(参考答案)_2.2025数学总复习_2024年新高考资料_4.2024高考模拟预测试卷
黄金卷07-赢在高考·黄金8卷备战2024年高考数学模拟卷(江苏专用)(参考答案)_2.2025数学总复习_2024年新高考资料_4.2024高考模拟预测试卷
黄金卷07-赢在高考·黄金8卷备战2024年高考数学模拟卷(江苏专用)(参考答案)_2.2025数学总复习_2024年新高考资料_4.2024高考模拟预测试卷
黄金卷07-赢在高考·黄金8卷备战2024年高考数学模拟卷(江苏专用)(参考答案)_2.2025数学总复习_2024年新高考资料_4.2024高考模拟预测试卷
黄金卷07-赢在高考·黄金8卷备战2024年高考数学模拟卷(江苏专用)(参考答案)_2.2025数学总复习_2024年新高考资料_4.2024高考模拟预测试卷
黄金卷07-赢在高考·黄金8卷备战2024年高考数学模拟卷(江苏专用)(参考答案)_2.2025数学总复习_2024年新高考资料_4.2024高考模拟预测试卷
黄金卷07-赢在高考·黄金8卷备战2024年高考数学模拟卷(江苏专用)(参考答案)_2.2025数学总复习_2024年新高考资料_4.2024高考模拟预测试卷
黄金卷07-赢在高考·黄金8卷备战2024年高考数学模拟卷(江苏专用)(参考答案)_2.2025数学总复习_2024年新高考资料_4.2024高考模拟预测试卷
黄金卷07-赢在高考·黄金8卷备战2024年高考数学模拟卷(江苏专用)(参考答案)_2.2025数学总复习_2024年新高考资料_4.2024高考模拟预测试卷

文档信息

文档格式
docx
文档大小
0.342 MB
文档页数
7 页
上传时间
2026-03-29 07:11:02

文档内容

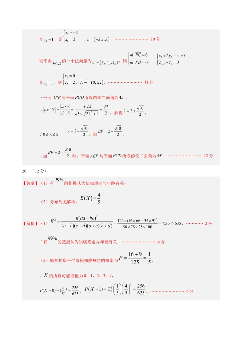
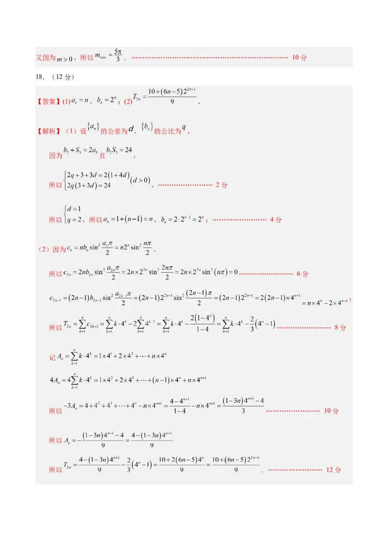
【赢在高考·黄金8卷】备战2024年高考数学模拟卷(江苏专用) 黄金卷07·参考答案 (考试时间:120分钟 试卷满分:150分) 一、单项选择题:本题共8小题,每小题5分,共40分,在每小题给出的四个选项中,只有一项是符合要 求的。 1 2 3 4 5 6 7 8 C D A C C D A D 二、多项选择题:本题共4小题,每小题5分,共20分,在每小题给出的四个选项中,有多项符合题目的 要求,全部选对的得5分,部分选对的得2分,有选错的得0分。 9 10 11 12 BCD AD BCD BD 三、填空题:本题共4小题,每小题5分,共20分。 13. 14. 15. 16. 四、解答题:本题共6小题,共70分,解答应写出必要的文字说明、证明过程及验算步骤。 17.(10分) 【解析】(1)因为 ,…………………………………………… 2分 当 即 时,f (x)取得最小值-2, ……………… 4分 所以f (x)的最小值为-2,此时x的取值集合为 . ……………… 5分 (2)设 的图象向右平移 个单位后得到函数 ,则 , 因为 为偶函数,所以 ,即 , 所以 恒成立,所以 , ……………………… 8分 所以 , ………………………………………………………………… 9分又因为 ,所以 .…………………………………………………………… 10分 18.(12分) 【答案】(1) , ;(2) . 【解析】(1)设 的公差为 , 的公比为 , 因为 且 , 所以 ,…………………… 2分 所以 ,所以 , ;…………………… 4分 (2)因为 , 所以 …………………… 6分 ; 所以 …………………… 8分 记 所以 …………………… 10分 所以 所以 .…………………… 12分19.(12分) 【答案】(2) 【解析】(1) 平面 , 平面 , ,…………………… 2分 为矩形, , 又 , 平面 , 平面 ,…………………… 4分 平面 , , , 为线段 的中点, ,…………………… 5分 又 , 平面 , 平面 ,又 平面 , 所以平面 平面 .…………………… 6分 (2)以A为坐标原点, , , 分别为 轴, 轴, 轴,建立如图所示的空间直角坐标系 , 则 , , , , , , , , ,…………………… 8分 设 , , 设平面 的一个法向量为 , 则 , ,令 ,则 , ,…………………… 10分 设平面 的一个法向量为 ,则 , , 令 ,则 , ,…………………… 11分 平面 与平面 所成的锐二面角为 , ,解得 , , ,即 , 当 时,平面 与平面 所成的锐二面角为 .…………………… 12分 20.(12分) 【答案】(1)有 的把握认为知晓规定与年龄有关; (2)分布列见解析, 【解析】(1) ,………… 2分 有 的把握认为知晓规定与年龄有关.…………………… 4分 (2)随机抽取一位市民知晓规定的概率为 , 的所有可能取值为0,1,2,3,4, , ,…………………… 6分, ,…………………… 8分 , 的分布列为: 0 1 2 3 4 X P …………………… 10分 , .……………………12分 21.(12分) 【答案】(1) (2)8 【解析】(1)因为抛物线 的焦点是 , 所以 , 解得 ,…………………… 2分 所以抛物线的方程为 ;…………………… 4分 (2)设 , ,因为四边形FAPB是矩形, 所以 ,且 , 即 , ,且 .…………………… 6分 所以 , ,且 .…………………… 8分 所以 .解得 , , 由抛物线的定义得: ,…………………… 10分所以矩形 的面积为: . 所以矩形 的面积为8.…………………… 12分 22.(12分) 【答案】(1) ; (2) . 【解析】(1) ,…………………… 2分 由复合函数的单调性原理得 在 上单调递增, 由 得 ,即 .…………………… 4分 (2) 对 恒成立 令 , , , 在 上单调递减, ,…………………… 6分 若 ,即 时, 在 上恒成立, 则 在 上单调递减, 符合题意. 若 ,即 时,……………………8分 (i)若 ,则 , 在 上单调递增, 这与题设矛盾,舍去. …………………… 10分(ii)若 ,则存在 使 ,且当 时, 单调递增, 此时 这与题设也矛盾,舍去. 综上:实数 的取值范围为 .…………………… 12分