当前位置:首页>文档>专题25正方形的性质与判定(原卷版)_中考数学一轮复习word_原卷版

专题25正方形的性质与判定(原卷版)_中考数学一轮复习word_原卷版

  • 2026-04-04 01:55:32 2026-04-04 01:19:51

文档预览

专题25正方形的性质与判定(原卷版)_中考数学一轮复习word_原卷版
专题25正方形的性质与判定(原卷版)_中考数学一轮复习word_原卷版
专题25正方形的性质与判定(原卷版)_中考数学一轮复习word_原卷版
专题25正方形的性质与判定(原卷版)_中考数学一轮复习word_原卷版
专题25正方形的性质与判定(原卷版)_中考数学一轮复习word_原卷版
专题25正方形的性质与判定(原卷版)_中考数学一轮复习word_原卷版
专题25正方形的性质与判定(原卷版)_中考数学一轮复习word_原卷版
专题25正方形的性质与判定(原卷版)_中考数学一轮复习word_原卷版
专题25正方形的性质与判定(原卷版)_中考数学一轮复习word_原卷版
专题25正方形的性质与判定(原卷版)_中考数学一轮复习word_原卷版
专题25正方形的性质与判定(原卷版)_中考数学一轮复习word_原卷版
专题25正方形的性质与判定(原卷版)_中考数学一轮复习word_原卷版
专题25正方形的性质与判定(原卷版)_中考数学一轮复习word_原卷版
专题25正方形的性质与判定(原卷版)_中考数学一轮复习word_原卷版
专题25正方形的性质与判定(原卷版)_中考数学一轮复习word_原卷版
专题25正方形的性质与判定(原卷版)_中考数学一轮复习word_原卷版
专题25正方形的性质与判定(原卷版)_中考数学一轮复习word_原卷版
专题25正方形的性质与判定(原卷版)_中考数学一轮复习word_原卷版
专题25正方形的性质与判定(原卷版)_中考数学一轮复习word_原卷版
专题25正方形的性质与判定(原卷版)_中考数学一轮复习word_原卷版
专题25正方形的性质与判定(原卷版)_中考数学一轮复习word_原卷版
专题25正方形的性质与判定(原卷版)_中考数学一轮复习word_原卷版
专题25正方形的性质与判定(原卷版)_中考数学一轮复习word_原卷版
专题25正方形的性质与判定(原卷版)_中考数学一轮复习word_原卷版
专题25正方形的性质与判定(原卷版)_中考数学一轮复习word_原卷版
专题25正方形的性质与判定(原卷版)_中考数学一轮复习word_原卷版
专题25正方形的性质与判定(原卷版)_中考数学一轮复习word_原卷版
专题25正方形的性质与判定(原卷版)_中考数学一轮复习word_原卷版
专题25正方形的性质与判定(原卷版)_中考数学一轮复习word_原卷版
专题25正方形的性质与判定(原卷版)_中考数学一轮复习word_原卷版
专题25正方形的性质与判定(原卷版)_中考数学一轮复习word_原卷版
专题25正方形的性质与判定(原卷版)_中考数学一轮复习word_原卷版
专题25正方形的性质与判定(原卷版)_中考数学一轮复习word_原卷版
专题25正方形的性质与判定(原卷版)_中考数学一轮复习word_原卷版
专题25正方形的性质与判定(原卷版)_中考数学一轮复习word_原卷版
专题25正方形的性质与判定(原卷版)_中考数学一轮复习word_原卷版
专题25正方形的性质与判定(原卷版)_中考数学一轮复习word_原卷版
专题25正方形的性质与判定(原卷版)_中考数学一轮复习word_原卷版
专题25正方形的性质与判定(原卷版)_中考数学一轮复习word_原卷版
专题25正方形的性质与判定(原卷版)_中考数学一轮复习word_原卷版
专题25正方形的性质与判定(原卷版)_中考数学一轮复习word_原卷版
专题25正方形的性质与判定(原卷版)_中考数学一轮复习word_原卷版
专题25正方形的性质与判定(原卷版)_中考数学一轮复习word_原卷版
专题25正方形的性质与判定(原卷版)_中考数学一轮复习word_原卷版
专题25正方形的性质与判定(原卷版)_中考数学一轮复习word_原卷版
专题25正方形的性质与判定(原卷版)_中考数学一轮复习word_原卷版
专题25正方形的性质与判定(原卷版)_中考数学一轮复习word_原卷版
专题25正方形的性质与判定(原卷版)_中考数学一轮复习word_原卷版
专题25正方形的性质与判定(原卷版)_中考数学一轮复习word_原卷版
专题25正方形的性质与判定(原卷版)_中考数学一轮复习word_原卷版
专题25正方形的性质与判定(原卷版)_中考数学一轮复习word_原卷版
专题25正方形的性质与判定(原卷版)_中考数学一轮复习word_原卷版
专题25正方形的性质与判定(原卷版)_中考数学一轮复习word_原卷版
专题25正方形的性质与判定(原卷版)_中考数学一轮复习word_原卷版
专题25正方形的性质与判定(原卷版)_中考数学一轮复习word_原卷版
专题25正方形的性质与判定(原卷版)_中考数学一轮复习word_原卷版
专题25正方形的性质与判定(原卷版)_中考数学一轮复习word_原卷版
专题25正方形的性质与判定(原卷版)_中考数学一轮复习word_原卷版
专题25正方形的性质与判定(原卷版)_中考数学一轮复习word_原卷版
专题25正方形的性质与判定(原卷版)_中考数学一轮复习word_原卷版
专题25正方形的性质与判定(原卷版)_中考数学一轮复习word_原卷版
专题25正方形的性质与判定(原卷版)_中考数学一轮复习word_原卷版
专题25正方形的性质与判定(原卷版)_中考数学一轮复习word_原卷版
专题25正方形的性质与判定(原卷版)_中考数学一轮复习word_原卷版
专题25正方形的性质与判定(原卷版)_中考数学一轮复习word_原卷版
专题25正方形的性质与判定(原卷版)_中考数学一轮复习word_原卷版
专题25正方形的性质与判定(原卷版)_中考数学一轮复习word_原卷版
专题25正方形的性质与判定(原卷版)_中考数学一轮复习word_原卷版
专题25正方形的性质与判定(原卷版)_中考数学一轮复习word_原卷版
专题25正方形的性质与判定(原卷版)_中考数学一轮复习word_原卷版
专题25正方形的性质与判定(原卷版)_中考数学一轮复习word_原卷版
专题25正方形的性质与判定(原卷版)_中考数学一轮复习word_原卷版
专题25正方形的性质与判定(原卷版)_中考数学一轮复习word_原卷版
专题25正方形的性质与判定(原卷版)_中考数学一轮复习word_原卷版
专题25正方形的性质与判定(原卷版)_中考数学一轮复习word_原卷版

文档信息

文档格式
docx
文档大小
3.077 MB
文档页数
71 页
上传时间
2026-04-04 01:19:51

文档内容

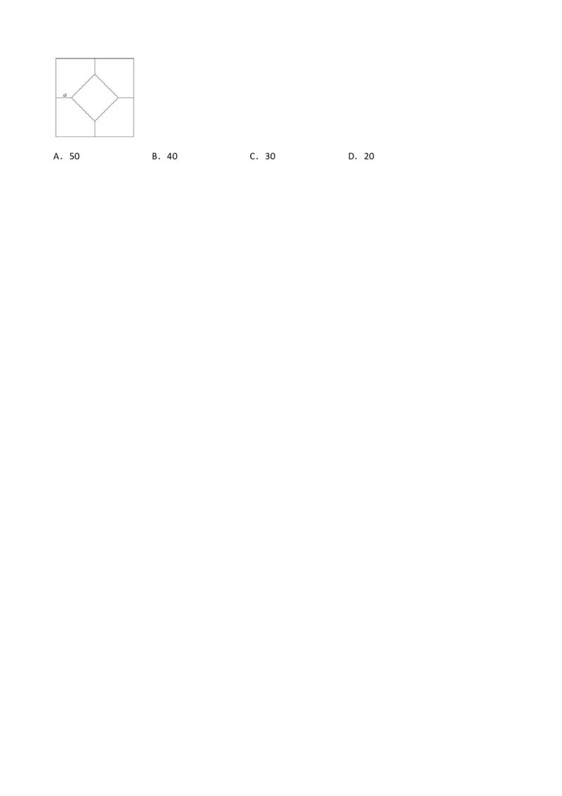
专题 25 正方形的性质与判定 目录 模块一:基础知识....................................................................................................................................................2 考点一:正方形的性质与判定........................................................................................................................2 考点二:四边形之间的区别与联系................................................................................................................2 考点三:梯形的性质与判定............................................................................................................................3 模块二:题型分类....................................................................................................................................................4 考点一:正方形的性质与判定........................................................................................................................4 题型一:根据正方形的性质求角度....................................................4 题型二:根据正方形的性质求线段长..................................................6 题型三:根据正方形的性质求面积....................................................8 题型四:根据正方形的性质求坐标....................................................9 题型五:与正方形有关的折叠问题...................................................12 题型六:求正方形重叠部分面积.....................................................14 题型七:利用正方形的性质证明.....................................................15 题型八:添加一个条件使四边形是正方形.............................................17 题型九:证明四边形是正方形.......................................................18 题型十:根据正方形的性质与判定求角度.............................................20 题型十一:根据正方形的性质与判定求线段长.........................................22 题型十二:根据正方形的性质与判定求面积...........................................23 题型十三:根据正方形的性质与判定证明.............................................25 题型十四:根据正方形的性质与判定解决多结论问题...................................28 题型十五:与正方形有关的规律探究问题.............................................30 题型十六:与正方形有关的动点问题.................................................32 题型十七:正方形与一次函数的综合应用.............................................34 题型十八:正方形与反比例函数的综合应用...........................................36 题型十九:正方形与一次函数、反比例函数综合应用...................................38 题型二十:正方形与二次函数综合应用...............................................40 考点二:四边形之间的区别与联系..............................................................................................................43 题型一:平行四边形、矩形、菱形、正方形之间的关系.................................43 题型二:平行四边形、矩形、菱形、正方形的判定.....................................44 题型三:平行四边形、矩形、菱形、正方形的性质.....................................45 题型四:利用矩形、菱形、正方形的性质与判定求解...................................45 考点三:梯形的性质与判定..........................................................................................................................52 题型一:等腰梯形的性质求解.......................................................52 题型二:等腰梯形的判定求解.......................................................53 题型三:解决梯形问题的常用方法...................................................54专题 25 正方形的性质与判定 模块一:基础知识 考点一: 正方形的性质与判定 1. 正方形的定义:四条边都相等,四个角都是直角的四边形叫做正方形. 2. 2.正方形的性质: (1)正方形具有平行四边形、矩形、菱形的所有性质. (2)正方形的四个角都是直角,四条边都相等. (3)正方形对边平行且相等. (4)正方形的对角线互相垂直平分且相等,每条对角线平分一组对角; (5)正方形的两条对角线把正方形分成四个全等的等腰直角三角形; (6)正方形既是中心对称图形,也是轴对称图形. 3.正方形的判定: (1)平行四边形+一组邻边相等+一个角为直角; (2)矩形+一组邻边相等; (3)矩形+对角线互相垂直; (4)菱形+一个角是直角; (5)菱形+对角线相等. 4.解题技巧 判定一个四边形是正方形通常先证明它是矩形,再证明它有一组邻边相等或对角线互相垂直;或者先证 明它是菱形,再证明它有一个角是直角或对角线相等;还可以先判定四边形是平行四边形,再证明它有 一个角为直角和一组邻边相等. 5.正方形的面积公式: a2=对角线乘积的一半=2S =4S . △ABC △AOB 考点二: 四边形之间的区别与联系 1. 平行四边形、矩形、菱形、正方形之间的关系: 矩形 +一直角 +一组邻边相等 +一直角+一组邻边相等 正方形 平行四边形 +一组邻边相等 +一直角 菱形2. 平行四边形、矩形、菱形、正方形的性质 四边形 边 角 对角线 对称性 平行四边形 对边平行且相等 对角相等 两条对角线互相平分 中心对称 矩形 对边平行且相等 四个角都是直角 两条对角线互相平分且相等 轴对称、中心对称 菱形 对边平行且四条 对角相等 两条对角线互相垂直平分,且每 轴对称、中心对称 边都相等 一条对角线平分一组对角 正方形 对边平行且四条 四个角都是直角 两条对角线互相垂直平分,且每 轴对称、中心对称 边都相等 一条对角线平分一组对角 3 平行四边形、矩形、菱形、正方形的判定 四边形 边 角 对角线 平行四边形 1)两组对边分别平行 两组对角分别相等 两组对角线互相平分 2) 两组对边分别相等 3) 一组对边平行且相等 矩形 1)平行四边形+ 一直角 平行四边形+两条对角线相等 2)四边形+三直角 菱形 1)平行四边形+一组邻边相等 平行四边形+两条对角线互相垂直 2)四边形+四条边都相等 正方形 矩形+一组邻边相等 菱形+一直角 两条对角线互相垂直平分且相等 的四边形 考点三:梯形的性质与判定 1.梯形的定义:一组对边平行而另一组对边不平行的四边形叫梯形. 2.等腰梯形性质: (1)等腰梯形的两底平行,两腰相等; (2)等腰梯形的同一底边上的两个角相等; (3)等腰梯形的两条对角线相等; (4)等腰梯形是轴对称图形(底边的中垂线就是它的对称轴). 3.等腰梯形判定: (1)两腰相等的梯形是等腰梯形; (2)同一底边上的两个角相等的梯形是等腰梯形; (3)对角线相等的梯形是等腰梯形. (4)判定一个四边形是等腰梯形,必须先判定四边形是梯形,再证明同一底边上的两个角相等或两腰相等 或两条对角线相等. 1 4.梯形的面积公式:S= ×(上底+下底)×高 25.解决梯形问题的常用方法(如下图所示): (1)“作高”:使两腰在两个直角三角形中; (2)“平移对角线”:使两条对角线在同一个三角形中. (3)“延长两腰”:构造具有公共角的两个三角形. (4)“等积变形”:连接梯形上底一端点和另一腰中点,并延长交下底的延长线于一点,构成三角形. 并且这个三角形面积与原来的梯形面积相等. (5)平移腰.过上底端点作一腰的平行线,构造一个平行四边形和三角形. (6)过上底中点平移两腰.构造两个平行四边形和一个三角形. 模块二:题型分类 考点一:正方形的性质与判定 题型一:根据正方形的性质求角度 1.如图,正方形ABCD的两条对角线AC,BD相交于点O,点E在BD上,且BE=BC.则∠BEC的度 数为 . 2.一个正方形和一个直角三角形的位置如图所示,若∠1=α,则∠2=( ) A.α−45° B.α−90° C.270°−α D.180°−α3.如图 1,在正方形 ABCD 中,对角线 AC、BD 相交于点 O,E,F 分别为 AO,DO 上的一点,且 EF∥AD,连接AF,DE.若∠FAC=15°,则∠AED的度数为( ) A.80° B.90° C.105° D.115° 4.如图,把含30°的直角三角板PMN放置在正方形ABCD中,∠PMN=30°,直角顶点P在正方形ABCD 的对角线BD上,点M,N分别在AB和CD边上,MN与BD交于点O,且点O为MN的中点,则∠AMP 的度数为( ) A.60° B.65° C.75° D.80° 5.如图,点O是正六边形ABCDEF的中心,以AB为边在正六边形ABCDEF的内部作正方形ABMN, 连接OD,ON,则∠DON= °. 6.如图,点E是正方形ABCD中的一点,连接EB、EC、EA、ED,若△EBC为等边三角形时,则 ∠EAD= .7.如图,正六边形ABCDEF内,以AB为边做正方形ABGH,则∠CBG= . 8.如图,在正方形ABCD中,延长BC至点F,使得CF=CA,连接AF交CD于点E,则∠AED的度数为 . 9.如图,点E、F、G分别是正方形ABCD的边AD、BC、AB上的点,连接DG,EF,GF.且EF=DG, DE=2AG,∠ADG的度数为α,则∠EFG的度数为( ) A.α B.2α C.45°−α D.45°+α 题型二:根据正方形的性质求线段长 1.如下1图,正方形ABCD的边长为8,点E是CD的中点,HG垂直平分AE且分别交AE、BC于点H、G, 则BG= . 2.如上2图,正方形ABCD中,点E、F分别在边BC、CD上,AE=AF,∠EAF=30°,则∠AEB= °;若△AEF的面积等于1,则AB的值是 .3.如图,正方形ABCD的边长为4,点E为AD的中点,连接AC,BE,点M,N分别在BE,AC上,且 1 1 BM= ME,CN= AN,则MN的长为( ) 3 3 3√2 5 A. B. C.2√2 D.3 2 2 4.如图,正方形ABCD的对角线AC,BD交于点O,M是边AD上一点,连接OM,过点O作 ON⊥OM交CD于点N,若四边形MOND的面积是4,则AB的长为( ) A.2 B.2√2 C.4 D.4√2 5.如图,边长分别为2和6的正方形ABCD和CEFG并排放在一起,连接BD并延长交EG于点T,交FG 于点P.则¿=( ) A.√2 B.2√2 C.1 D.2 6.如图,是由四个全等的直角三角形和一个小正方形拼成的一个大正方形,若每个直角三角形的面积为4, 大正方形的面积为25,则小正方形的边长为( ) A.9 B.6 C.1 D.37.已知:正方形ABCD边长为3,E为直线AD上一点,AE=1,连接CE,CE所在直线与AB所在直线交 于点F.则AF= . 题型三:根据正方形的性质求面积 1.一个正方形的边长为2,它的面积为( ) A.2 B.4 C.6 D.8 2.如图,边长为2的正方形ABCD的对角线相交于点O,过点O的直线分别交AD、BC于E、F,则阴影 部分的面积是 . S 3.如图,大正方形中有2个小正方形,这两个小正方形的面积分别是S 和S ,则 1的值是( ) 1 2 S 2 9 8 5 A. B. C.1 D. 8 9 4 4.七巧板是我们祖先的一项创造,被誉为“东方魔板”.在一次数学活动课上,小明用边长为4cm的正方 形纸片制作了如图所示的七巧板,并设计了下列四幅作品—“奔跑者”,其中阴影部分的面积为5cm2的 是( ) A. B. C. D. 5.如图,一块正方形地砖的图案是由4个全等的五边形和1个小正方形组成的,已知小正方形的面积和五 边形的面积相等,并且图中线段a的长度为√10−2,则这块地砖的面积为( )A.50 B.40 C.30 D.206.四边形不具有稳定性.四条边长都确定的四边形,当内角的大小发生变化时,其形状也随之改变.如图, 改变正方形ABCD的内角,使正方形ABCD变为菱形ABC'D',如果∠DAD'=30°,那么菱形 ABC'D'与正方形ABCD的面积之比是( ) 3 √3 √3 A.1 B. C. D. 4 2 4 7.如图,由四个全等的直角三角形与中间的一个小正方形EFGH拼成一个大正方形ABCD,连接AF和 CH,AF=AB.现随机向正方形ABCD内掷一枚小针,则针尖落在阴影区域的概率为 . 题型四:根据正方形的性质求坐标 1.如图.四边形ABCO为正方形,点A的坐标为(1,√3),将正方形绕点O逆时针旋转,每次旋转60°,则 第2023次旋转结束时,点C所到位置的坐标为( ) A.(√3,−1) B.(−1,−√3) C.(−1,√3) D.(√3,1)2.如图,在正方形ABCD中,已知点A(0,3),B(5,3).将正方形ABCD绕点A顺时针旋转角度 α(0<α<180°)后,点B的对应点B'恰好落在坐标轴上,则点C的对应点C'的坐标为( ) A.(7,4)或(5,−2) B.(7,4)或(5,−2)或(−1,−4) C.(5,−2)或(−1,−4) D.(7,4)或(4,7) 3.在学习《图形与坐标》的课堂上,老师让同学们自主编题,梅英同学编的题目是:“已知正方形 ABCD(边长自定),请建立适当的平面直角坐标系,确定正方形ABCD各顶点的坐标”.同桌魏华同 学按题目要求建立了平面直角坐标系并正确的写出了正方形各顶点的坐标.若在魏华同学建立的平面直 角坐标系中,正方形ABCD关于x轴对称,但不关于y轴对称,点A的坐标为(−3,2),则点C的坐标为 ( ) A.(3,−2) B.(2,−3) C.(−3,−2) D.(1,−2) 4.如图,在平面直角坐标系中,四边形OABC是正方形,A点坐标为(0,2),E是线段BC上一点,且 ∠AEB=60°,沿AE折叠后B点落在点F处,那么点F的坐标是 .5.如图,将边长为√3的正方形ABCD绕点B逆时针旋转30°得到正方形A'BC'D',AD与C'D'交于点M, 那么图中点M的坐标为( ) ( √3) (√3 ) A.(√3,1) B.(1,√3) C. √3, D. ,√3 2 2 6.如图,在平面直角坐标系中,正方形ABCD的顶点为A(−2,0),B(2,0).半圆与正方形ABCD组成一 个新的图形,点M为D´C(靠近点D)的三等分点,将此组合图形绕点O顺时针旋转,每次旋转90°,则 第2023次旋转结束时,点M的坐标为( ) A.(2+√3,−1) B.(−2−√3,−1) C.(−4+√3,−1) D.(−4−√3,−1) 7.如图,在平面直角坐标系中,正方形ABCD的顶点A、B分别在x轴、y轴负半轴上,点A的坐标为 1 (−2,0), tan∠DAO= ,求点B的坐标. 2题型五:与正方形有关的折叠问题 1.如下1图,四边形ABCD为正方形,点E是BC的中点,将正方形ABCD沿AE折叠,得到点B的对应 点为点F,延长EF交线段DC于点P,若AB=6,则DP的长度为 . 2.如上2图,在正方形ABCD中,AB=2,将其沿EF翻折,使∠EFC=120°,顶点B恰好落在线段AD 上的点G处,点C的对应点为点H.则线段AE的长为 . 3.如下1图,四边形ABCD为正方形纸片,E是边CB的中点,连接DE,P是边CD上一点,将纸片沿着 DF AP折叠,使点D落在DE上的F点处,则 为 . EF 4.如上2图,四边形ABCD是边长为9的正方形纸片,将其沿MN折叠,使点B落在CD边上的B'处,点 A对应点为A',且S :S =1:4,则AM的长是 . △A'ME △CNB' 5.如图,在正方形ABCD中,G为AD边上一点,将△ABG沿BG翻折到△FBG处,延长GF交CD边于 点E,过点F作FH∥BC分别交BG,AB,CD于点H,P,Q,请完成下列问题: (1)∠EBG= . 1 (2)若FH= BC=8,则BP= . 26.如图,正方形ABCD中,E是边BC的中点,将△ABE沿AE折叠,得到△AFE,延长EF交边CD于 点P. (1)求证:DP=FP; (2)若AB=6,求CP的长. 7.(1)如图1,已知正方形纸片ABCD,将正方形纸片沿过点A的直线折叠,使点B落在正方形ABCD 的内部,点B的对应点为点M,折痕为AE,再将纸片沿过点A的直线折叠,使AD与AM重合,折痕为 AF,则∠EAF= 度; (2)如图2,将正方形纸片沿EF继续折叠,点C的对应点为点N.当点N恰好落在折痕AE上, 则①∠AEF= 度; ②若AB=√3,求线段AP的长; (3)如图3,在矩形ABCD中,AD=nAB,点E、F分别在边BC、CD上,将矩形ABCD沿AE、AF DF 折叠,点B落在M处,点D落在G处,点A、M、G恰好在同一直线上,若BE=1,AB=a,则 = AB (用含a、n的代数式表示结果).题型六:求正方形重叠部分面积 1.如图,两个边长为4的正方形重叠在一起,点O是其中一个正方形的中心,则图中阴影部分的面积为 . 2.在平面上,边长为2的正方形和短边长为1的矩形几何中心重合,如图①,当正方形和矩形都水平放置 时,容易求出重叠面积S=2×1=2. 甲、乙、丙三位同学分别给出了两个图形不同的重叠方式; 甲:矩形绕着几何中心旋转,从图②到图③的过程中,重叠面积S大小不变. 乙:如图④,矩形绕着几何中心继续旋转,矩形的两条长边与正方形的对角线平行时,此时的重叠面积 大于图③的重叠面积. 丙:如图⑤,将图④中的矩形向左上方平移,使矩形的一条长边恰好经过正方形的对角线,此时的重叠 面积是5个图形中最小的. 下列说法正确的是( ) A.甲、乙、丙都对 B.只有乙对 C.只有甲不对 D.甲、乙、丙都不对 3.用四块大正方形地砖和一块小正方形地砖拼成如下1图所示的实线图案,每块大正方形地砖的面积为 a,小正方形地砖的面积为b,依次连接四块大正方形地砖的中心得到正方形 ABCD.则正方形ABCD的面 积为____(用含a,b的代数式表示). 4.如上2图,将边长为1的正方形ABCD绕点A逆时针旋转30°到正方形AEFG的位置,则图中阴影部分 的面积为( ) √3 √3 √3 √3 A. B. C. D. 3 6 9 125.如下1图,在正方形ABCD中,点E,N,P,G分别在边AB,BC,CD,DA上,点M,F,Q都在对 S 角线BD上,且四边形MNPQ和AEFG均为正方形,则 正方形MNPQ 的值等于 . S 正 方 形AEFG 6.如上2图,正方形ABCD的对角线AC、BD相交于点O,点O又是正方形A B C O的一个顶点,而且 1 1 1 这两个正方形的边长相等.设两个正方形重合部分的面积为S ,正方形ABCD的面积为S ,通过探索, 1 2 我们发现:无论正方形A B C O绕点O怎样转动,始终有S = S . 1 1 1 1 2 题型七:利用正方形的性质证明 1.如图,点M,N分别在正方形ABCD的边BC,CD上,且∠MAN=45°,把△ADN绕点A顺时针旋 转90°得到△ABE. (1)求证:△AEM≌△ANM. (2)若BM=3,DN=2,求正方形ABCD的边长. 2.如图,在正方形ABCD中,E为对角线AC上一点(AE>CE),连接BE,DE. (1)求证:BE=DE; (2)过点E作EF⊥AC交BC于点F,延长BC至点G,使得CG=BF,连接DG. ①依题意补全图形; ②用等式表示BE与DG的数量关系,并证明.3.如图,在边长为2的正方形ABCD中,动点F,E以相同的速度分别从点D,C同时出发向点C,B运动 (任何一个点到达终点时,两点都停止运动)连接AE,BF,AE与BF交于点P,过点P分别作 PM∥CD交BC于点M,PN∥BC交CD于点N,连接MN,在运动过程中, (1)AE和BF的数量关系为 ; (2)MN长度的最小值为 . 4.如图,四边形ABCD和四边形BEFG都是正方形,点E在射线CD上,AC交BE于点O,GH⊥AB交 AB延长线于点H. (1)若D为CE的中点,求证:OE=2OB; (2)求证:AB=BH. 5.如图,在正方形ABCD中,E是CD边上一点,若AB+CE=AE,以BC为直径作半圆⊙O. (1)求证:AE与⊙O相切; (2)若正方形的边长为4,求图中阴影部分的面积.6.如图,在正方形ABCD中,点E是AB边上一点,DF与BC交于点M,延长EM交GF于点H,连接CG. (1)求证:CD⊥CG; 1 MN (2)若tan∠MEN= ,求 的值; 3 EM 1 (3)已知正方形ABCD的边长为1,点E在运动过程中,EM的长能否为 ,请说明理由. 2 题型八:添加一个条件使四边形是正方形 1.如图,在四边形ABCD中,AB=BC=CD=DA,对角线AC与BD相交于点O.若不增加任何字母与辅助线, 要使得四边形ABCD是正方形,则还需添加的一个条件是 . 2.如图,在矩形ABCD中,对角线AC与BD相交O,添加下列条件不能判定矩形ABCD是正方形的是 ( ) A.AB=BC B.AC=BD C.AC⊥BD D.∠1=∠2 3.在▱ABCD中,已知AC、BD为对角线,现有以下四个条件:①∠ABC=90°;②AC=BD;③ AC⊥BD;④AB=BC.从中选取两个条件,可以判定▱ABCD为正方形的是 .(写出一组 即可)4.一个四边形顺次添加下列中的三个条件便得到正方形: a.两组对边分别相等 b.一组对边平行且相等 c.一组邻边相等 d.一个角是直角 顺次添加的条件:①a→c→d②b→d→c③a→b→c 则正确的是:( ) A.仅① B.仅③ C.①② D.②③ 5.如图,在矩形ABCD中,对角线AC与BD相交O,添加下列条件不能判定矩形ABCD是正方形的是 ( ) A.AB=BC B.AC=BD C.AC⊥BD D.∠1=∠2 6.四边形ABCD的对角线AC、BD相交于点O,AD∥BC,AD=BC,使四边形ABCD为正方形,下列条件中: ①AC=BD;②AB=AD; ③AB=CD;④AC⊥BD.需要满足( ) A.①② B.②③ C.②④ D.①②或①④ 7.如图,四边形ABCD中,对角线AC,BD相交于点O,AD//BC,OA=OC,AC平分∠BAD.欲使四 边形ABCD是正方形,则还需添加 (写出一个合适的条件即可) 题型九:证明四边形是正方形 1.如图,在菱形ABCD中,对角线AC,BD相交于点O,点E,F在对角线BD上,且BE=DF, OE=OA. 求证:四边形AECF是正方形.2.如图,在⊙O中,AB、AC是互相垂直且相等的两条弦,OD⊥AB,OE⊥AC,垂足分别为D、E. (1)求证:四边形ADOE是正方形; (2)若AC=2cm,求⊙O的半径. 3.如图,在▱ABCD中,对角线AC、BD交于点O,E是BD延长线上的点,且△ACE是等边三角形. (1)求证:四边形ABCD是菱形. (2)若∠AED=2∠EAD,求证:四边形ABCD是正方形. 4.如图,在△ABC中,AB=AC,BC为⊙O的直径,D为⊙O上任意一点,连接AD交BC于点F,过A 作EA⊥AD交DB的延长线于E,连接CD. (1)求证:BE=CD (2)填空:①当∠EAB=_______°时,四边形ABDC是正方形 ②若四边形ABDC的面积为6,则AD的长为________. 5.如图,已知平行四边形ABCD,若M,N是BD上两点,且BM=DN,AC=2OM, (1)求证:四边形 AMCN 是矩形; (2)△ABC 满足什么条件,四边形AMCN是正方形,请说明理由.6.如图,已知四边形ABCD是正方形,AB=4√2,点E为对角线AC上一动点,连接DE,过点E作 EF⊥DE,交射线BC于点F,以DE,EF为邻边作矩形DEFG,连CG. (1)求证:矩形DEFG为正方形; (2)求证:CE+CG=8 7.问题解决:如图,在矩形ABCD中,点E,F分别在AB,BC边上,DE=AF,DE⊥AF于点G. (1)求证:四边形ABCD是正方形; (2)延长CB到点H,使得BH=AE,判断△AHF的形状,并说明理由. 题型十:根据正方形的性质与判定求角度 1.如图,P为正方形ABCD内一点,PA:PB:PC=1:2:3,则∠APB= . 2.如图,E是正方形ABCD对角线BD上一点,连接AE,CE,并延长CE交AD于点F.若 ∠AEC=140°,求∠DFE的度数.3.如图,将矩形ABCD沿AE折叠,使顶点B落在AD上点B'处;再将矩形展平,沿AF折叠,使顶点B落 在AE上点G处,连接DE. 小明发现△DEC可以由△AFG绕某一点顺时针旋转α(0°<α<180°)得到, 则α= °. 4.如图所示的网格是正方形网格,A,B,C,D是网格线交点,则∠BAC与∠DAC的大小关系为: ∠BAC ∠DAC(填“>”,“=”或“<”). 5.如图,点C在线段AB上,且AC=2BC,分别以AC、BC为边在线段AB的同侧作正方形ACDE、 BCFG,连接EC、EG,则tan∠CEG= . 6.已知:BD是△ABC的角平分线,点E在AB边上,BE=BC,过点E作EF∥AC,交BD于点F,连 接CF,DE. (1)如图1,求证:四边形CDEF是菱形; (2)如图2,当∠≝=90°,AC=BC时,在不添加任何辅助线的情况下,请直接写出图2中度数为∠ABD的度数2倍的角. 题型十一:根据正方形的性质与判定求线段长 1.如下1图,点E为正方形ABCD外一点,∠AEB=90°,将Rt△ABE绕A点逆时针方向旋转90°得到 ADF,DF的延长线交BE于H点,若BH=7,BC=13,则DH= . △ 2.如上2图,在ΔABC中,∠BAC=90°,AB=AC=5,点D在AC上,且AD=2,点E是AB上的动点,连 结DE,点F,G分别是BC,DE的中点,连接AG,FG,当AG=FG时,线段DE长为( ) 5√2 √41 A.√13 B. C. D.4 2 2 3.如图,在△ABC中,AB=AC,点D是AC的中点,将BCD沿BD折叠得到△BED,连接AE.若 DE⊥AB于点F,BC=10,则AF的长为 . 4.如图,在△ABC和ADE中,AB=AC,AD=AE,∠BAC=∠DAE=90°,连接BD,CE,延长 CE交AB于F.交BD于点G,且CG垂直BD,将ADE绕点A旋转至AE∥BD时,若CE=5,EF=1, 则BG的值是 .5.如下1图,点E为正方形ABCD外一点,∠AEB=90°,将Rt△ABE绕A点逆时针方向旋转90°得到 ADF,DF的延长线交BE于H点,若BH=7,BC=13,则DH= . △ 6.如上2图所示的网格由边长为1个单位长度的小正方形组成,点A、B、C、在直角坐标系中的坐标分别 为(3,6),(−3,3),(7,−2),则△ABC内心的坐标为 . 1 1 5 7.在直角△ABC中,∠C=90°, + = ,∠C的角平分线交AB于点D,且CD=2√2,斜 tan A tanB 2 边AB的值是 . 题型十二:根据正方形的性质与判定求面积 1.如图,将图1中的菱形纸片沿对角线剪成4个直角三角形,拼成如图2的四边形ABCD(相邻纸片之间 不重叠,无缝隙).若四边形ABCD的面积为13,中间空白处的四边形EFGH的面积为1,直角三角形 的两条直角边分别为a和b,则(a+b) 2=( ) A.12 B.13 C.24 D.25 2.已知正方形ABCD的边长为4,E是CD上一个动点,以点E为直角顶点,在正方形外侧等腰直角三角形 CEF,连结BF、BD、FD. (1)BD与CF的位置关系是__________. (2)①如图1,当CE=4(即点E与点D重合)时,△BDF的面积为_________. ②如图2,当CE=2(即点E为CD的中点)时,△BDF的面积为________. ③如图3,当CE=3时,△BDF的面积为_______.(3)如图4,根据上述计算的结果,当E是CD上任意一点时,请提出你对△BDF面积与正方形ABCD 的面积之间关系的猜想,并证明你的猜想. 3.如下1图,已知点O为勾股形ABC(我国古代数学家刘徽称直角三角形为勾股形)的内心,其中∠A 为直角,点D、E、F分别在边AB、BC、AC上,∠ADO=∠AFO=∠BEO=90°,若BD=4, CF=6,则正方形ADOF的面积是( ) A.2 B.4 C.3 D.16 4.如上2图,在四边形ABCD中,∠ABC=∠ADC=90°,连接BD且BD平分∠ABC.若 AB+BC=8,则四边形ABCD的面积为 . 5.模型探究:(1)如图1,在四边形ABCD中,∠BAD=∠BCD=90°,AB=AD,AE⊥CD于点 E,若AE=10,求四边形ABCD的面积. 拓展应用:(2)如图2,在四边形ABCD中,∠ABC+∠ADC=180°,AB=AD,AE⊥BC于点 E,若AE=19,BC=10,CD=6,求四边形ABCD的面积.6.如图,在正方形ABCD中,O为AC、BD的交点,△DCE为直角三角形,∠CED=90°,OE=3√2, 若CE⋅DE=6,则正方形的面积为( ) A.20 B.22 C.24 D.26 7.如图,在△ABC中,∠BAC的角平分线交BC于点D,DE//AB,DF//AC. (1)试判断四边形AFDE的形状,并说明理由; (2)若∠BAC=90°,且AD=2√2,求四边形AFDE的面积. 题型十三:根据正方形的性质与判定证明 1.如图,四边形ABCD是矩形,E是BD上的一点,∠BAE=∠BCE,∠AED=∠CED.点G是BC、 AE延长线的交点,AG与CD相交于点F. (1)求证:四边形ABCD是正方形; 3 (2)当AE=3EF,DF= 时,求GF的值. 82.(1)问题背景:如图1,∠ACB=∠ADE=90°,AC=BC,AD=DE,求证:△ABE∽△ACD; (2)尝试应用:如图2,E为正方形ABCD外一点,∠BED=45°,过点D作DF⊥BE,垂足为F,连接CF. BE 求 的值; CF (3)拓展创新:如图3,四边形ABCD是正方形,点F是线段CD上一点,以AF为对角线作正方形 AEFG,连接DE,BG.当DF=1,S AEDF=5时,则BG的长为 . 四边形 3.如图,正方形ABCD和正方形CEFG(其中BD>2CE),直线BG与DE交于点H. (1)如图1,当点G在CD上时,请直接写出线段BG与DE的数量关系和位置关系; (2)将正方形CEFG绕点C旋转一周. ①如图2,当点E在直线CD右侧时,求证:BH−DH=√2CH; ②当∠DEC=45°时,若AB=3,CE=1,请直接写出线段DH的长.4.已知CD是△ABC的角平分线,点E,F分别在边AC,BC上,AD=m,BD=n,△ADE与△BDF 的面积之和为S. (1)填空:当∠ACB=90°,DE⊥AC,DF⊥BC时, ①如图1,若∠B=45°,m=5√2,则n=_____________,S=_____________; ②如图2,若∠B=60°,m=4√3,则n=_____________,S=_____________; (2)如图3,当∠ACB=∠EDF=90°时,探究S与m、n的数量关系,并说明理由: (3)如图4,当∠ACB=60°,∠EDF=120°,m=6,n=4时,请直接写出S的大小. 5.(1)在正方形ABCD中,G是CD边上的一个动点(不与C、D重合),以CG为边在正方形ABCD外作 一个正方形CEFG,连结BG、DE,如图①.直接写出线段BG、DE的关系 ; (2)将图①中的正方形CEFG绕点C按顺时针方向旋转任意角度α,如图②,试判断(1)中的结论是否 成立?若成立,直接写出结论,若不成立,说明理由; (3)将(1)中的正方形都改为矩形,如图③,再将矩形CEFG绕点C按顺时针方向旋转任意角度α,如 图④,若AB=a,BC=b;CE =ka,CG=kb,(a≠b)试判断(1)中的结论是否仍然成立?并说明理由.6.将正方形ABCD的边AB绕点A逆时针旋转至AB' ,记旋转角为α.连接BB',过点D作DE垂直于直 线BB',垂足为点E,连接DB',CE, BB' (1)如图1,当α=60°时,ΔDEB'的形状为___ ,连接BD,可求出 的值为___ ; CE (2)当0°<α<360°且α≠90°时, ①(1)中的两个结论是否仍然成立?如果成立,请仅就图2的情形进行证明;如果不成立,请说明理由; BE ②当以点B',E,C,D为顶点的四边形是平行四边形时,请直接写出 的值. B'E 题型十四:根据正方形的性质与判定解决多结论问题 1.如下1图,在正方形ABCD中,M,N分别为AB,BC的中点,CM与DN相交于点G,延长BG交CD 于点E,CM交BD于点H.下列结论:①CM⊥DN;②BH=BM;③S =3S ;④ △DNC △BMH ∠BGM=45°;⑤GM+GN=√2GB.其中正确结论的序号有( ) A.②③④ B.①③⑤ C.①③④⑤ D.①②④⑤ 2.如上2图,四边形ABCD为正方形,将△EDC绕点C逆时针旋转90°至△HBC,点D,B,H在同一 直线上,HE与AB交于点G,延长HE与CD的延长线交于点F,HB=2,HG=3.以下结论: √2 ①∠EDC=135°;②EC2=CD⋅CF;③HG=EF;④sin∠CED= .其中正确结论的个数为 3 ( ) A.1个 B.2个 C.3个 D.4个3.如图,矩形ABCD中,AB=8,BC=12,正方形EFGH的三个顶点E,F,H分别在矩形ABCD的边 AB,BC、DA上,现给出以下结论: ①当AE=4时,S =16;②当S =17.5时,AE=5;③当A,G,C三点共线时,AG:GC=2:1; △FGC △FGC ④点G到CD的距离为定值,其中正确的是 .(写出所有正确结论的序号) 4.如图,在正方形ABCD中,AB=4,点E为CD上一动点,AE交BD于点F,过点F作FH⊥AE,交 BC于H,连接AH交BD于点P,过H作HG⊥BD于点G,下列结论:①AF=FH,②△CEH的周长 是7,③BD=2FG,④△AFP∽△AHE.其中正确的是 (写正确结论的序号). 5.如图,正方形ABCD的边长为2,点E为对角线AC上一动点(点E不与A、C重合),过点E作EF⊥BE 交直线CD于F,将线段EF绕点F逆时针旋转90°得到线段GF,连接GA,GB,GC,下列结论: ①EB=EF;②AC⊥GC;③CE+CG=√2CB;④GA+GB的最小值为2√5,其中正确的是 .(填写所有正确结论的序号) 6.如上2图,正方形ABCD中,点E是对角线BD上一点,且BE=2DE,连接AE并延长交CD于点P,点F 是BC边上一点,且CF=2BF,连接AF交BD于点G,连接EF,PF.下列四个结论:①DP=CP;②S ABF △ =S FCP;③AE=EF;④∠DPF=2∠BGF.其中正确的结论是 .(写出所有正确结论的序号) △7.如图,正方形ABCD的边长为4,点E是对角线AC上的动点(点E不与A,C重合),连接 BE,EF⊥BE交CD于点F,线段EF绕点F逆时针旋转90°得到线段FG,连接BG.下列结论:① BE=EF;②∠ACG=90°;③若四边形BEFG的面积是正方形ABCD面积的一半,则AE的长为 4√2−4;④CG+CE=√2AB.其中正确的是 .(填写所有正确结论的序号) 题型十五:与正方形有关的规律探究问题 1.如图,在平面直角坐标系中,将正方形OABC绕点O逆时针旋转45°后得到正方形OA B C ,依此方 1 1 1 式,绕点O连续旋转2023次得到正方形OA B C ,如果点A的坐标为(1,0),那么点B 的坐 2023 2023 2023 2023 标为( ) A.(1,−1) B.(0,√2) C.(√2,0) D.(−1,1) 2.在平面直角坐标系中,正方形A B C O、A B C C 、A B C C ……;按如图的方式放置,点A 、 1 1 1 2 2 2 1 3 3 3 2 1 A 、A ……A 在直线y=−x−1,点C 、C 、C ……C 在x轴上.抛物线L 过点A 、B ,且顶点在直 2 3 n 1 2 3 n 1 1 1 线y=−x−1上,抛物线L 过点A 、B ,且顶点在直线y=−x−1上,……按此规律,抛物线L 过点A 、 2 2 2 n n B ,且顶点也在直线y=−x−1上,抛物线L 的顶点坐标为( ) n n A.(3×2n−1−1,−3×2n−1) B.(3×2n−1−1,−3×2n−2)C.(3×2n−2−1,−3×2n−1) D.(3×2n−2−1,−3×2n−2)3.如图,点O(0,0),A(0,1)是正方形的两个顶点,以对角线为边作正方形,再以正方形的对角线作正方 形,…,依此规律,则点A 的坐标是 . 8 4.如图,正方形A B C A 的边长为1,正方形A B C A 的边长为2,正方形A B C A 的边长为4, 0 0 0 1 1 1 1 2 2 2 2 3 正方形A B C A 的边长为8…依次规律继续作正方形A B C A ,且点A ,A ,A ,A ,…,A 3 3 3 4 n n n n+1 0 1 2 3 n+1 在同一条直线上,连接A C 交,A B 于点D ,连接A C ,交A B 于点D ,连接A C ,交A B 于点 0 1 1 1 1 1 2 2 2 2 2 3 3 3 D ,…记四边形A B C D 的面积为S ,四边形A B C D 的面积为S ,四边形A B C D 的面积为 3 0 0 0 1 1 1 1 1 2 2 2 2 2 3 S ,…,四边形A B C D 的面积为S ,则S = . 3 n−1 n−1 n−1 n n 2023 5.如图,正方形ABCB 中,AB=√3,AB与直线l所夹锐角为60°,延长CB 交直线l于点A ,作正方 1 1 1 形A B C B ,延长C B 交直线l于点A ,作正方形A B C B ,延长C B 交直线l于点A ,作正方形 1 1 1 2 1 2 2 2 2 2 3 2 3 3 A B C B ,…,依此规律,则线段A A = . 3 3 3 4 2022 20236.如图,正方形ABCD的边长为1,以AC为边作第二个正方形ACEF,再以CF为边作第三个正方形 FCGH…,按照这样规律作下去,第10个正方形的边长为 . 题型十六:与正方形有关的动点问题 1.如图,在ΔABC中,∠BAC=90°,AB=AC=5,点D在AC上,且AD=2,点E是AB上的动点,连结 DE,点F,G分别是BC,DE的中点,连接AG,FG,当AG=FG时,线段DE长为( ) 5√2 √41 A.√13 B. C. D.4 2 2 2.如图,已知正方形ABCD,点M是边BA延长线上的动点(不与点A重合)且AM0)的图象上,点B,C在x x x 轴上,则点D的坐标为( ) A.(1,3) B.(2,3) C.(2,2) D.(3,2) k 2.如上2图,反比例函数y= (x>0)图象经过正方形OABC的顶点A,BC边与y轴交于点D,若正方形 x OABC的面积为12,BD=2CD,则k的值为( ) 18 16 10 A.3 B. C. D. 5 5 3 k 3.如图,已知正方形ABCD的面积为4,它的两个顶点B,D是反比例函数y= (k>0,x>0)的图象上两 x 点.若点D的坐标是(a,b),则a−b的值为( ) A.3 B.−3 C.2 D.−2 4.如图,已知在平面直角坐标系xOy中,点A在x轴的负半轴上,点B在y轴的负半轴上, 6 tan∠ABO=3,以AB为边向上作正方形ABCD.若图像经过点D的反比例函数的解析式是y=− ,则 x 图像经过点C的反比例函数的解析式是 .OA 1 5.如图,在平面直角坐标系中,点A在x轴负半轴上,点B在y轴负半轴上,且 = ,以AB为边向右 OB 3 k k k 上方作正方形ABCD.反比例函数y = 1与y = 2的图象分别过D与C,则 1= . 1 x 2 x k 2 k 6.如图,矩形ABOD的两边OB,OD都在坐标轴的正半轴上,OD=4,另两边与反比例函数y= 的图象 x 分别相交于点E,F,且DE=2.过点E作EH⊥x轴于点H,过点F作FG⊥EH于点G,请解答下列问 题. (1) k= ; (2)当四边形AEGF为正方形时,求点F的坐标; (3)当AE>EG时,若矩形AEGF∽矩形DOHE,求出相似比.题型十九:正方形与一次函数、反比例函数综合应用 1.如图,在平面直角坐标系中,点A(0,1),B(0,﹣2),以AB为边在y轴右侧作正方形ABCD,反 k 比例函数y = (k<0)的图象恰好经过点C. x (1)求点C的坐标及反比例函数的表达式; k (2)设直线AC与反比例函数y = (k<0)的图象的另一个交点为M,且点M的横坐标为﹣2.连接MB, x 求△MBC的面积. k 2.如图,已知反比例函数y= 在第一象限内的图象与正方形AEOC的两边相交于B,D两点.若AB=3, x 1 直线y= x经过点B,则k的值是 . 4 3.如图,直线AD:y=3x+3与坐标轴交于A、D两点,以AD为边在AD右侧作正方形ABCD,过C作 k CG⊥y轴于G点.过点C的反比例函数y= (k≠0)与直线AD交于E、F两点. x (1)求证:△AOD≌△DGC; (2)求E、F两点坐标; k (3)填空:不等式3x+3> 的取值范围是______. x4.如图,在平面直角坐标系中,四边形ABCD为正方形,已知点A(−6,0)、D(−7,3),点B、C在第二象 限内. (1)求点B的坐标; (2)将正方形ABCD以每秒2个单位的速度沿x轴向右平移t秒,若存在某一时刻t,使在第一象限内点 B、D两点的对应点B'、D'正好落在某反比例函数的图象上,请求出此时t的值以及这个反比例函数的解 析式; (3)在(2)的情况下,问是否存在y轴上的点P和反比例函数图象上的点Q,使得以P、Q、B'、D'四个点 为顶点的四边形是平行四边形?若存在,请直接写出符合题意的点Q的坐标;若不存在,请说明理由. 5.如图,已知A(0,2),B(1,0),连接AB,以AB为边在第一象限内作正方形ABCD,直线BD与反比例函 k 数y= (k≠0)相交于D,E两点,连接CE,交x轴于点F. x (1)求k的值及直线DE的解析式; (2)求△DEC的面积.24 6.如图,一次函数y=ax−3a(a≠0)的图象与反比例函数y=− (x>0)的图象交于点M(m,−4),与y x k 轴交于点A,与x轴交于点B,△AOB两个外角的平分线在第一象限内交于点C,反比例函数y= 的图 x 象恰好经过点C. (1)求m的值和线段AB的长; k (2)求反比例函数y= 的表达式. x 题型二十:正方形与二次函数综合应用 1.如图,边长为2的正方形OABC的顶点A,C分别在x轴,y轴的正半轴上,二次函数y=−x2+bx+c的 图象经过B,C两点. (1)求b,c的值; (2)若将该抛物线向下平移m个单位,使其顶点落在正方形OABC内(不包括边上),求m的取值范围.1 5 2.如图1,二次函数y =− x2+bx+c的图象过A(5,0)和B(0, )两点,射线CE绕点C(0,5)旋转,交抛物线 2 2 于D,E两点,连接AC. 1 (1)求二次函数y =− x2+bx+c的表达式; 2 (2)连接OE,AE,当△CEO是以CO为底的等腰三角形时,求点E的坐标和△ACE的面积; (3)如图2,射线CE旋转时,取DE的中点F,以DF为边作正方形DFMN.当点E和点A重合时,正方形 DFMN的顶点M恰好落在x轴上. ①求点M的坐标; ②当点E和点A重合时,将正方形DFMN沿射线CE方向以每秒√2个单位长度平移.设运动时间为t秒. 直接写出正方形DFMN落在x轴下方的面积S与时间t(0≤t≤4)的函数表达式. 3.综合与探究 如图,某一次函数与二次函数y=x2+mx+n的图象交点为A(-1,0),B(4,5). (1)求抛物线的解析式; (2)点C为抛物线对称轴上一动点,当AC与BC的和最小时,点C的坐标为 ; (3)点D为抛物线位于线段AB下方图象上一动点,过点D作DE⊥x轴,交线段AB于点E,求线段DE长度 的最大值; (4)在(2)条件下,点M为y轴上一点,点F为直线AB上一点,点N为平面直角坐标系内一点,若以点 C,M,F,N为顶点的四边形是正方形,请直接写出点N的坐标.m 2m 4.二次函数y= x2− x+m(m>0)的图象交y轴于点A,顶点为P,直线PA与x轴交于点B. 6 3 (1)当m=1时,求顶点P的坐标; m 2m (2)若点Q(a,b)在二次函数y= x2− x+m(m>0)的图象上,且b−m>0,试求a的取值范围; 6 3 (3)在第一象限内,以AB为边作正方形ABCD. ①求点D的坐标(用含m的代数式表示); ②若该二次函数的图象与正方形ABCD的边CD有公共点,请直接写出符合条件的整数m的值. 1 5.如图1,二次函数y=− x2+bx+c的图象过原点,与x轴的另一个交点为M(8,0). 3 (1)求该二次函数的解析式; 2 1 (2)如图2,y = x与二次函数y=− x2+bx+c的图象交于点N,求△OMN的面积; 1 3 3 1 (3)如图3,直线y =4与二次函数y=− x2+bx+c的图象交于A、B两点(点A在点B的左侧),过A、 2 3 B两点分别作x轴的垂线,垂足分别为点D、点C.判断四边形ABCD的形状,并说明理由;(4)如图4,在(3)的条件下,动点P从点A出发沿射线AB以每秒1个单位长度匀速运动,同时动点Q 以相同的速度从点A出发沿线段AD匀速运动,到达点D时立即原速返回,当动点Q返回到点A时,P、 Q两点同时停止运动,设运动时间为t秒(t>0).过点P向x轴作垂线,交抛物线于点E,交直线AC于 点F,问:以A、E、F、Q四点为顶点构成的四边形能否是平行四边形?若能,请直接写出t的值;若不 能,请说明理由. 考点二:四边形之间的区别与联系 题型一:平行四边形、矩形、菱形、正方形之间的关系 1.在平行四边形的复习课上,小明绘制了如下知识框架图,箭头处添加条件错误的是( ) A.①:对角线相等 B.②:对角互补 C.③:一组邻边相等 D.④:有一个角是直角 2.如图,在反映特殊四边形之间关系的知识结构图中,①②③④表示需要添加的条件,则下列描述错误的 是( ) A.①表示有一个角是直角 B.②表示有一组邻边相等 C.③表示四个角都相等 D.④表示对角线相等 3.如图推理中,空格①②③④处可以填上条件“对角线相等”的是( )A.①② B.①④ C.③④ D.②③题型二:平行四边形、矩形、菱形、正方形的判定 1.给出下列判断,正确的是( ) A.一组对边相等,另一组对边平行的四边形是平行四边形 B.对角线相等的四边形是矩形 C.对角线互相垂直且相等的四边形是正方形 D.有一条对角线平分一个内角的平行四边形为菱形 2.下列说法错误的是( ) A.对角线垂直且互相平分的四边形是菱形 B.同圆或等圆中,同弧对应的圆周角相等 C.对角线相等的平行四边形是矩形 D.对角线垂直且相等的四边形是正方形 3.下列说法正确的是( ) A.两组对角分别相等的四边形是平行四边形 B.两条对角线互相垂直的四边形是菱形 C.两条对角线相等的四边形是矩形 D.两条对角线垂直且相等的四边形是正方形 4.下列命题中,正确的是( ) A.对角线相等的四边形是平行四边形 B.对角线互相垂直的四边形是菱形 C.对角线相等的平行四边形是矩形 D.对角线互相垂直且相等的四边形是正方形 5.如图,在四边形ABCD中,AD∥BC,∠B=30°,∠C=60°,AB=6,AD=4,E、F是BC上 的两动点,且EF=4,点E从点B出发,当点F移动到点C时,两点停止运动.在四边形AEFD形状的变 化过程中,依次出现的特殊四边形是( ) A.平行四边形→菱形→矩形→平行四边形 B.平行四边形→菱形→正方形→平行四边形 C.平行四边形→菱形→正方形→菱形 D.平行四边形→矩形→菱形→平行四边形 6.如图,菱形ABCD中,点O为对称中心,点E从点A出发沿AB向点B移动,移动到点B停止,作射线 EO,交边CD于点F,则四边形AECF形状的变化依次为( ) A.平行四边形→正方形→平行四边形→矩形 B.平行四边形→矩形→平行四边形→菱形 C.平行四边形→正方形→菱形→矩形 D.平行四边形→菱形→正方形→矩形 7.如图,四边形ABCD是平行四边形,下列结论中错误的是( ) A.当AB=BC时,它是正方形 B.当AC⊥BD时,它是菱形 C.当AC=BD时,它是矩形 D.当∠ABC=90°时,它是矩形 k 8.设A,B,C,D是反比例函数y= 图象上的任意四点,现有以下结论: x ①四边形ABCD可以是平行四边形; ②四边形ABCD可以是菱形; ③四边形ABCD不可能是矩形; ④四边形ABCD不可能是正方形. 其中正确的是______.(写出所有正确结论的序号) 9.在矩形ABCD中,M,N,P,Q分别为边AB,BC,CD,DA上的点(不与端点重合),对于任意矩形 ABCD,下面四个结论中, ①存在无数个四边形MNPQ是平行四边形; ②存在无数个四边形MNPQ是矩形; ③存在无数个四边形MNPQ是菱形; ④至少存在一个四边形MNPQ是正方形. 所有正确结论的序号是______. 题型三:平行四边形、矩形、菱形、正方形的性质1.菱形、矩形、正方形都具有的性质是( ) A.对角线相等且互相平分 B.对角线相等且互相垂直 C.对角线互相平分 D.四条边相等 2在平行四边形、矩形、菱形、正方形中,既是轴对称图形又是中心对称图形的有( ) A.1个 B.2个 C.3个 D.4个 3菱形具有而矩形不一定具有的性质是( ) A.对边平行 B.对角线互相平分 C.对角线互相垂直 D.对角互补 4.矩形具有而菱形也具有的性质是( ) A.对角线互相平分 B.对角线相等 C.四边相等 D.对角线互相垂直 题型四:利用矩形、菱形、正方形的性质与判定求解 1数学小组将两块全等的含30°角的三角尺按较长的直角边重合的方式摆放,并通过平移对特殊四边形进 行探究.如图1,其中∠ADB=∠CBD=30°,∠ABD=∠BDC=90°,AB=CD=3,将Rt△BCD 沿射线DB方向平移,得到Rt△B'C'D',分别连接AB',DC'(如图 2 所示),下列有关四边形 AB'C'D的说法正确的是( ) A.先是平行四边形,平移√3个单位长度后是菱形 B.先是平行四边形,平移√3个单位长度后是矩形,再平移2√3个单位长度后是菱形 C.先是平行四边形,平移√3个单位长度后是矩形,再平移3√3个单位长度后是正方形 D.在Rt△BCD平移的过程中,依次出现平行四边形、矩形、菱形、正方形 2.(1)发现:如图①所示,在正方形ABCD中,E为AD边上一点,将△AEB沿BE翻折到△BEF处, 延长EF交CD边于G点,求证:△BFG≌△BCG; (2)探究:如图②,在矩形ABCD中,E为AD边上一点,且AD=8,AB=6,将△AEB沿BE翻折到 △BEF处,延长EF交BC边于G点,延长BF交CD边于点H,且FH=CH,求FG的长. (3)拓展:如图③,在菱形ABCD中,AB=6,E为CD边上的三等分点,∠D=60°.将△ADE沿 AE翻折得到△AFE,直线EF交BC于点P,求PC的长.3.(1)【探究发现】如图①,已知四边形ABCD是正方形,点E为CD边上一点(不与端点重合),连 接BE,作点D关于BE的对称点D',DD'的延长线与BC的延长线交于点F,连接BD' ,D'E. ①小明探究发现:当点E在CD上移动时,△BCE≌△DCF.并给出如下不完整的证明过程,请帮他 补充完整. 证明:延长BE交DF于点G. ②进一步探究发现,当点D'与点F重合时,∠CDF= . (2)【类比迁移】如图②,四边形ABCD为矩形,点E为CD边上一点,连接BE,作点D关于BE的对 称点D,DD'的延长线与BC的延长线交于点F,连接BD,CD,DE.当CD⊥DF,AB=2,BC=3时, 求CD'的长; (3)【拓展应用】如图③,已知四边形ABCD为菱形,AD=2√3,AC=4,点F为线段BD上一动点, 将线段AD绕点A按顺时针方向旋转,当点D旋转后的对应点E落在菱形的边上(顶点除外)时,如果 DF=EF,请直接写出此时OF的长.4.(1)如图1,在矩形ABCD中,点E,F分别在边DC,BC上,AE⊥DF,垂足为点G.求证: △ADE∽△DCF. 【问题解决】 (2)如图2,在正方形ABCD中,点E,F分别在边DC,BC上,AE=DF,延长BC到点H,使 CH=DE,连接DH.求证:∠ADF=∠H. 【类比迁移】 (3)如图3,在菱形ABCD中,点E,F分别在边DC,BC上,AE=DF=11,DE=8,∠AED=60°, 求CF的长. 5.(1)发现:如图①所示,在正方形ABCD中,E为AD边上一点,将△AEB沿BE翻折到△BEF处, 延长EF交CD边于G点,求证:△BFG≌△BCG; (2)探究:如图②,在矩形ABCD中,E为AD边上一点,且AD=8,AB=6,将△AEB沿BE翻折到 △BEF处,延长EF交BC边于G点,延长BF交CD边于点H,且FH=CH,求FG的长. (3)拓展:如图③,在菱形ABCD中,AB=6,E为CD边上的三等分点,∠D=60°.将△ADE沿 AE翻折得到△AFE,直线EF交BC于点P,求PC的长.6.【问题发现】 (1)在一次小组合作探究课上,老师将正方形ABCD和正方形AEFG按如图所示的位置摆放,连接BE 和DG,请直接写出线段BE与DG的数量关系______ ,位置关系______ ; 【类比探究】 (2)若将“正方形ABCD和正方形AEFG改成“矩形ABCD和矩形AEFG,且矩形ABCD ∽矩形 12√10 AEFG,AE=3,AG=4,如图,点E、D、G三点共线,点G在线段DE上时,若AD= ,求BE 5 的长. 【拓展延伸】 (3)若将正方形ABCD和正方形AEFG改成菱形ABCD和菱形AEFG,且菱形ABCD∽菱形AEFG如 3 图3,AD=5,AC=6,AG平分∠DAC,点P在射线AG上,在射线AF上截取AQ,使得AQ= AP, 5 4 连接PQ,QC,当tan∠PQC= 时,直接写出AP的长. 37.综合与实践 综合与实践课上,同学们以“四边形的折叠”为主题开展数学活动. 操作判断 (1)操作一:如图1,将正方形纸片ABCD沿对角线AC折叠,然后将纸片展开; 操作二:依次将边AB,CD折到对角线AC上,折痕分别为AE,CG,使点B,D分别落在对角线AC上 的点F,H处,将纸片展开,连接EH,FG. 根据以上操作,易得出结论:四边形EFGH的形状是______. 迁移探究 (2)如图2,将正方形纸片换成矩形纸片,按照(1)中的方式操作,继续探究. ①小明认为此时四边形EFGH的形状仍然符合(1)中的结论,你认为小明的说法正确吗?请说明理由; ②小亮认为可以通过改变矩形AB与BC的比值,让四边形EFGH成为菱形,你认为小亮说法正确吗?请 简述理由. 拓展应用 (3)在(2)的条件下,若AB=6,当F,H分别是线段AC的三等分点时,请直接写出四边形EFGH的面 积.8.综合与实践 问题情境:数学课上,老师提出如下问题:如图,四边形ABCD是矩形,分别以AD,CD为边,在矩形 ABCD外侧作正方形ADEF和CDMN(点B,A,F在同一直线上,点B,C,N在同一直线上).连接 FN,取FN的中点P,连接BP. 1 求证:BP⊥FN,BP= FN. 2 解决问题: (1)请你解答老师提出的问题. 数学思考: (2)受到老师所提问题的启发,“兴趣小组”又提出了一个新问题:如图,若四边形ABCD是平行四边形 (∠DAB≠90°),其余条件保持不变,则老师所提问题的结论是否保持不变?请你说明理由. (3)“智慧小组”所提的问题是:如图,四边形ABCD是菱形,分别以AD,CD为边,在菱形外侧作正方 形ADEF和CDMN.连接BD并延长,交FN于点P.若∠DAB=30°,FN=6,求BD的长.请你思考 该问题,并直接写出结果.9.(1)发现:如图①所示,在正方形ABCD中,E为AD边上一点,将△AEB沿BE翻折到△BEF处, 延长EF交CD边于G点.求证:△BFG≌△BCG; (2)探究:如图②,在矩形ABCD中,E为AD边上一点,且AD=8,AB=6.将△AEB沿BE翻折到 △BEF处,延长EF交BC边于G点,延长BF交CD边于点H,且FH=CH,求AE的长. 1 (3)拓展:如图③,在菱形ABCD中,AB=6,E为CD边上的一点且DE= DC,∠D=60°.将 3 3 △ADE沿AE翻折得到△AFE,AF与CD交于H且FH= ,直线EF交直线BC于点P,求PE的长. 4 10.如图,两个全等的四边形ABCD和OA'B'C',其中四边形OA'B'C'的顶点O位于四边形ABCD的 对角线交点O. (1)如图1,若四边形ABCD和OA'B'C'都是正方形,则下列说法正确的有_______.(填序号) 1 √2 ①OE=OF;②重叠部分的面积始终等于四边形ABCD的 ;③BE+BF= DB. 4 2 (2)应用提升:如图2,若四边形ABCD和OA'B'C'都是矩形,AD=a,DC=b,写出OE与OF之间的数 量关系,并证明. (3)类比拓展:如图3,若四边形ABCD和OA'B'C'都是菱形,∠DAB=α,判断(1)中的结论是否依然 成立;如不成立,请写出你认为正确的结论(可用α表示),并选取你所写结论中的一个说明理由.考点三:梯形的性质与判定 题型一:等腰梯形的性质求解 1.已知:如图,在等腰梯形ABCD中,AD∥BC,AB=CD,点E在边AB上,AC与DE交于点F, ∠ADE=∠DCA. (1)求证:AF·AC=AE·CD; (2)如果点E是边AB的中点,求证:AB2=2DF⋅DE. 2.已知:如图,梯形ABCD中,AD//BC,AB=DC,E是对角线BD上一点,∠BCE=∠ABD (1)求证:△ABD∽△ECB (2)求证:DC2=DE⋅DB 3.如图,在梯形ABCD中,AD∥BC,AB=CD,点E为BC延长线上一点,∠ADB=∠CDE,点F 在BD上,联结CF. (1)求证:AD⋅DE=AC⋅DC; (2)如果AD⋅CE=DF⋅DB,求证:四边形DFCE为梯形.4.如图,在梯形ABCD中,AD∥BC,点E在BC上,且AB∥DE, (1)试判断四边形ABED的形状,并说明理由; (2)若AB=AD=DC,EC=BE, ①求∠B的度数; ②当DC=4cm时,求四边形ABED的面积. 题型二:等腰梯形的判定求解 1.如图,在梯形ABCD中,AD∥BC,AD=CD,对角线AC,BD相交于点O. (1)如图1,当∠ADO=∠DCO,求证:四边形ABCD是等腰梯形; (2)如图2,如果DB=DC,且AB=3,BC=2,求AD的长. 2.已知:如图,梯形ABCD中,DC∥AB,AC=AB,过点D作BC的平行线交AC于点E. (1)如果∠DEC=∠BEC,求证:CE2=ED⋅CB; (2)如果AD2=AE⋅AC,求证:AD=BC.3.已知:如图,AB、AC是⊙O的两条弦,AB=AC,点M、N分别在弦AB、AC上,且 AM=CN,AM