当前位置:首页>文档>中考数学几何专项练习:相似模型--母子型相似(解析版)_02中考总复习(2026版更新中)_02-数学-中考总复习_2024年中考复习资料_专项复习资料_2024年中考数学几何专项练习_解析版

中考数学几何专项练习:相似模型--母子型相似(解析版)_02中考总复习(2026版更新中)_02-数学-中考总复习_2024年中考复习资料_专项复习资料_2024年中考数学几何专项练习_解析版

  • 2026-05-04 20:26:03 2026-04-12 03:07:42

文档预览

中考数学几何专项练习:相似模型--母子型相似(解析版)_02中考总复习(2026版更新中)_02-数学-中考总复习_2024年中考复习资料_专项复习资料_2024年中考数学几何专项练习_解析版
中考数学几何专项练习:相似模型--母子型相似(解析版)_02中考总复习(2026版更新中)_02-数学-中考总复习_2024年中考复习资料_专项复习资料_2024年中考数学几何专项练习_解析版
中考数学几何专项练习:相似模型--母子型相似(解析版)_02中考总复习(2026版更新中)_02-数学-中考总复习_2024年中考复习资料_专项复习资料_2024年中考数学几何专项练习_解析版
中考数学几何专项练习:相似模型--母子型相似(解析版)_02中考总复习(2026版更新中)_02-数学-中考总复习_2024年中考复习资料_专项复习资料_2024年中考数学几何专项练习_解析版
中考数学几何专项练习:相似模型--母子型相似(解析版)_02中考总复习(2026版更新中)_02-数学-中考总复习_2024年中考复习资料_专项复习资料_2024年中考数学几何专项练习_解析版
中考数学几何专项练习:相似模型--母子型相似(解析版)_02中考总复习(2026版更新中)_02-数学-中考总复习_2024年中考复习资料_专项复习资料_2024年中考数学几何专项练习_解析版
中考数学几何专项练习:相似模型--母子型相似(解析版)_02中考总复习(2026版更新中)_02-数学-中考总复习_2024年中考复习资料_专项复习资料_2024年中考数学几何专项练习_解析版
中考数学几何专项练习:相似模型--母子型相似(解析版)_02中考总复习(2026版更新中)_02-数学-中考总复习_2024年中考复习资料_专项复习资料_2024年中考数学几何专项练习_解析版
中考数学几何专项练习:相似模型--母子型相似(解析版)_02中考总复习(2026版更新中)_02-数学-中考总复习_2024年中考复习资料_专项复习资料_2024年中考数学几何专项练习_解析版
中考数学几何专项练习:相似模型--母子型相似(解析版)_02中考总复习(2026版更新中)_02-数学-中考总复习_2024年中考复习资料_专项复习资料_2024年中考数学几何专项练习_解析版
中考数学几何专项练习:相似模型--母子型相似(解析版)_02中考总复习(2026版更新中)_02-数学-中考总复习_2024年中考复习资料_专项复习资料_2024年中考数学几何专项练习_解析版
中考数学几何专项练习:相似模型--母子型相似(解析版)_02中考总复习(2026版更新中)_02-数学-中考总复习_2024年中考复习资料_专项复习资料_2024年中考数学几何专项练习_解析版
中考数学几何专项练习:相似模型--母子型相似(解析版)_02中考总复习(2026版更新中)_02-数学-中考总复习_2024年中考复习资料_专项复习资料_2024年中考数学几何专项练习_解析版
中考数学几何专项练习:相似模型--母子型相似(解析版)_02中考总复习(2026版更新中)_02-数学-中考总复习_2024年中考复习资料_专项复习资料_2024年中考数学几何专项练习_解析版
中考数学几何专项练习:相似模型--母子型相似(解析版)_02中考总复习(2026版更新中)_02-数学-中考总复习_2024年中考复习资料_专项复习资料_2024年中考数学几何专项练习_解析版
中考数学几何专项练习:相似模型--母子型相似(解析版)_02中考总复习(2026版更新中)_02-数学-中考总复习_2024年中考复习资料_专项复习资料_2024年中考数学几何专项练习_解析版
中考数学几何专项练习:相似模型--母子型相似(解析版)_02中考总复习(2026版更新中)_02-数学-中考总复习_2024年中考复习资料_专项复习资料_2024年中考数学几何专项练习_解析版
中考数学几何专项练习:相似模型--母子型相似(解析版)_02中考总复习(2026版更新中)_02-数学-中考总复习_2024年中考复习资料_专项复习资料_2024年中考数学几何专项练习_解析版
中考数学几何专项练习:相似模型--母子型相似(解析版)_02中考总复习(2026版更新中)_02-数学-中考总复习_2024年中考复习资料_专项复习资料_2024年中考数学几何专项练习_解析版
中考数学几何专项练习:相似模型--母子型相似(解析版)_02中考总复习(2026版更新中)_02-数学-中考总复习_2024年中考复习资料_专项复习资料_2024年中考数学几何专项练习_解析版
中考数学几何专项练习:相似模型--母子型相似(解析版)_02中考总复习(2026版更新中)_02-数学-中考总复习_2024年中考复习资料_专项复习资料_2024年中考数学几何专项练习_解析版
中考数学几何专项练习:相似模型--母子型相似(解析版)_02中考总复习(2026版更新中)_02-数学-中考总复习_2024年中考复习资料_专项复习资料_2024年中考数学几何专项练习_解析版
中考数学几何专项练习:相似模型--母子型相似(解析版)_02中考总复习(2026版更新中)_02-数学-中考总复习_2024年中考复习资料_专项复习资料_2024年中考数学几何专项练习_解析版
中考数学几何专项练习:相似模型--母子型相似(解析版)_02中考总复习(2026版更新中)_02-数学-中考总复习_2024年中考复习资料_专项复习资料_2024年中考数学几何专项练习_解析版
中考数学几何专项练习:相似模型--母子型相似(解析版)_02中考总复习(2026版更新中)_02-数学-中考总复习_2024年中考复习资料_专项复习资料_2024年中考数学几何专项练习_解析版
中考数学几何专项练习:相似模型--母子型相似(解析版)_02中考总复习(2026版更新中)_02-数学-中考总复习_2024年中考复习资料_专项复习资料_2024年中考数学几何专项练习_解析版
中考数学几何专项练习:相似模型--母子型相似(解析版)_02中考总复习(2026版更新中)_02-数学-中考总复习_2024年中考复习资料_专项复习资料_2024年中考数学几何专项练习_解析版
中考数学几何专项练习:相似模型--母子型相似(解析版)_02中考总复习(2026版更新中)_02-数学-中考总复习_2024年中考复习资料_专项复习资料_2024年中考数学几何专项练习_解析版
中考数学几何专项练习:相似模型--母子型相似(解析版)_02中考总复习(2026版更新中)_02-数学-中考总复习_2024年中考复习资料_专项复习资料_2024年中考数学几何专项练习_解析版
中考数学几何专项练习:相似模型--母子型相似(解析版)_02中考总复习(2026版更新中)_02-数学-中考总复习_2024年中考复习资料_专项复习资料_2024年中考数学几何专项练习_解析版
中考数学几何专项练习:相似模型--母子型相似(解析版)_02中考总复习(2026版更新中)_02-数学-中考总复习_2024年中考复习资料_专项复习资料_2024年中考数学几何专项练习_解析版
中考数学几何专项练习:相似模型--母子型相似(解析版)_02中考总复习(2026版更新中)_02-数学-中考总复习_2024年中考复习资料_专项复习资料_2024年中考数学几何专项练习_解析版
中考数学几何专项练习:相似模型--母子型相似(解析版)_02中考总复习(2026版更新中)_02-数学-中考总复习_2024年中考复习资料_专项复习资料_2024年中考数学几何专项练习_解析版
中考数学几何专项练习:相似模型--母子型相似(解析版)_02中考总复习(2026版更新中)_02-数学-中考总复习_2024年中考复习资料_专项复习资料_2024年中考数学几何专项练习_解析版
中考数学几何专项练习:相似模型--母子型相似(解析版)_02中考总复习(2026版更新中)_02-数学-中考总复习_2024年中考复习资料_专项复习资料_2024年中考数学几何专项练习_解析版
中考数学几何专项练习:相似模型--母子型相似(解析版)_02中考总复习(2026版更新中)_02-数学-中考总复习_2024年中考复习资料_专项复习资料_2024年中考数学几何专项练习_解析版
中考数学几何专项练习:相似模型--母子型相似(解析版)_02中考总复习(2026版更新中)_02-数学-中考总复习_2024年中考复习资料_专项复习资料_2024年中考数学几何专项练习_解析版
中考数学几何专项练习:相似模型--母子型相似(解析版)_02中考总复习(2026版更新中)_02-数学-中考总复习_2024年中考复习资料_专项复习资料_2024年中考数学几何专项练习_解析版
中考数学几何专项练习:相似模型--母子型相似(解析版)_02中考总复习(2026版更新中)_02-数学-中考总复习_2024年中考复习资料_专项复习资料_2024年中考数学几何专项练习_解析版
中考数学几何专项练习:相似模型--母子型相似(解析版)_02中考总复习(2026版更新中)_02-数学-中考总复习_2024年中考复习资料_专项复习资料_2024年中考数学几何专项练习_解析版
中考数学几何专项练习:相似模型--母子型相似(解析版)_02中考总复习(2026版更新中)_02-数学-中考总复习_2024年中考复习资料_专项复习资料_2024年中考数学几何专项练习_解析版
中考数学几何专项练习:相似模型--母子型相似(解析版)_02中考总复习(2026版更新中)_02-数学-中考总复习_2024年中考复习资料_专项复习资料_2024年中考数学几何专项练习_解析版
中考数学几何专项练习:相似模型--母子型相似(解析版)_02中考总复习(2026版更新中)_02-数学-中考总复习_2024年中考复习资料_专项复习资料_2024年中考数学几何专项练习_解析版
中考数学几何专项练习:相似模型--母子型相似(解析版)_02中考总复习(2026版更新中)_02-数学-中考总复习_2024年中考复习资料_专项复习资料_2024年中考数学几何专项练习_解析版
中考数学几何专项练习:相似模型--母子型相似(解析版)_02中考总复习(2026版更新中)_02-数学-中考总复习_2024年中考复习资料_专项复习资料_2024年中考数学几何专项练习_解析版
中考数学几何专项练习:相似模型--母子型相似(解析版)_02中考总复习(2026版更新中)_02-数学-中考总复习_2024年中考复习资料_专项复习资料_2024年中考数学几何专项练习_解析版
中考数学几何专项练习:相似模型--母子型相似(解析版)_02中考总复习(2026版更新中)_02-数学-中考总复习_2024年中考复习资料_专项复习资料_2024年中考数学几何专项练习_解析版
中考数学几何专项练习:相似模型--母子型相似(解析版)_02中考总复习(2026版更新中)_02-数学-中考总复习_2024年中考复习资料_专项复习资料_2024年中考数学几何专项练习_解析版
中考数学几何专项练习:相似模型--母子型相似(解析版)_02中考总复习(2026版更新中)_02-数学-中考总复习_2024年中考复习资料_专项复习资料_2024年中考数学几何专项练习_解析版
中考数学几何专项练习:相似模型--母子型相似(解析版)_02中考总复习(2026版更新中)_02-数学-中考总复习_2024年中考复习资料_专项复习资料_2024年中考数学几何专项练习_解析版
中考数学几何专项练习:相似模型--母子型相似(解析版)_02中考总复习(2026版更新中)_02-数学-中考总复习_2024年中考复习资料_专项复习资料_2024年中考数学几何专项练习_解析版
中考数学几何专项练习:相似模型--母子型相似(解析版)_02中考总复习(2026版更新中)_02-数学-中考总复习_2024年中考复习资料_专项复习资料_2024年中考数学几何专项练习_解析版
中考数学几何专项练习:相似模型--母子型相似(解析版)_02中考总复习(2026版更新中)_02-数学-中考总复习_2024年中考复习资料_专项复习资料_2024年中考数学几何专项练习_解析版

文档信息

文档格式
docx
文档大小
2.228 MB
文档页数
49 页
上传时间
2026-04-12 03:07:42

文档内容

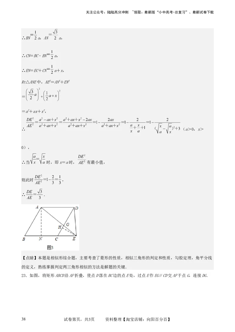
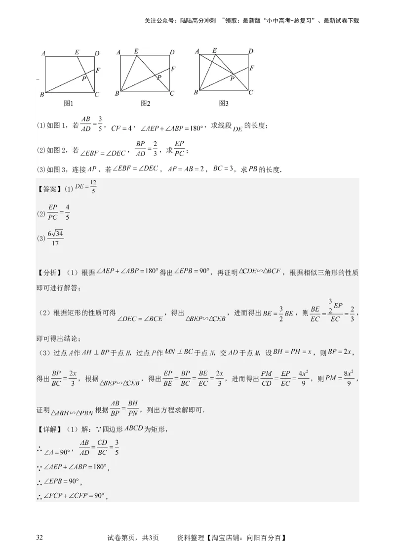
关注公众号:陆陆高分冲刺 ~领取:最新版“小中高考-总复习”、最新试卷下载 中考数学几何专项练习:相似模型--母子型相似 一、解答题 1.如图, 中,点 在边 上,且 ,若 , ,则 的长为 . 【答案】2 【分析】由∠ACD=∠ABC、∠A=∠A,即可得出△ABC∽△ACD,根据相似三角形的性质可得出 , 代入AC、AD的值可求出AB的长,再根据BD=AB-AD即可求出结论. 【详解】解:∵∠ACD=∠ABC,∠A=∠A, ∴△ABC∽△ACD, ∴ . ∵AC= ,AD=1, ∴ , ∴AB=3, ∴BD=AB-AD=3-1=2. 故答案为2 【点睛】本题考查了相似三角形的判定与性质,牢记相似三角形的判定定理是解题的关键. 2.如图,点D是△ABC的边AB上一点,∠ABC=∠ACD. (1)求证:△ABC∽△ACD; (2)当AD=2,AB=3时,求AC的长. 1 试卷第页,共3页 资料整理【淘宝店铺:向阳百分百】 学科网(北京)股份有限公司关注公众号:陆陆高分冲刺 ~领取:最新版“小中高考-总复习”、最新试卷下载 【答案】(1)见解析 (2)AC的长为 . 【分析】(1)由∠ABC=∠ACD及∠A=∠A,可证出△ABC∽△ACD; (2)利用相似三角形的性质,可求出AC的长. 【详解】(1)证明:∵∠ABC=∠ACD,∠A=∠A, ∴△ABC∽△ACD; (2)解:∵△ABC∽△ACD, ∴ ,即 , ∴AC= (负值已舍). ∴AC的长为 . 【点睛】本题考查了相似三角形的判定与性质,解题的关键是:(1)利用“两角对应相等,两个三角形 相似”证出△ABC∽△ACD;(2)利用相似三角形的对应边成比例,求出AC的长. 3.【基础巩固】(1)如图1,在△ABC中,D为AB上一点,∠ACD=∠B.求证:AC2=AD•AB. 【尝试应用】(2)如图2,在 ABCD中,E为BC上一点,F为CD延长线上一点,∠BFE=∠A.若BF=4, ▱ BE=3,求AD的长. 【答案】(1)见解析;(2)AD= . 【分析】(1)证明△ADC∽△ACB,即可得出结论; (2)证明△BFE∽△BCF,得出BF2=BE•BC,求出BC,则可求出AD. 【详解】(1)证明:∵∠ACD=∠B,∠A=∠A, ∴△ADC∽△ACB, ∴ , 2 试卷第页,共3页 资料整理【淘宝店铺:向阳百分百】 学科网(北京)股份有限公司关注公众号:陆陆高分冲刺 ~领取:最新版“小中高考-总复习”、最新试卷下载 ∴AC2=AD•AB. (2)∵四边形ABCD是平行四边形, ∴AD=BC,∠A=∠C, 又∵∠BFE=∠A, ∴∠BFE=∠C, 又∵∠FBE=∠CBF, ∴△BFE∽△BCF, ∴ , ∴BF2=BE•BC, ∴BC= = = , ∴AD= . 【点睛】本题主要考查了相似三角形的判定与性质,平行四边形的判定与性质等知识,正确掌握相似三角 形的判定方法是解题关键. 4.在 中, , 垂直平分 ,分别交 于点 . (1)求证: ; (2)求证: . 【答案】(1)见解析 (2)见解析 【分析】(1)根据等腰三角形的性质,可得 ,再由线段垂直平分线的性质可得 , 从而得到 ,进而得到 ,即可求证; 3 试卷第页,共3页 资料整理【淘宝店铺:向阳百分百】 学科网(北京)股份有限公司关注公众号:陆陆高分冲刺 ~领取:最新版“小中高考-总复习”、最新试卷下载 (2)先证明 ,从而得到 ,再由 ,即可求证. (1) 证明: , , 垂直平分 AB , , , , , ; (2) 证明:由(1)知 , , , , , , . 【点睛】本题主要考查了等腰三角形的性质,线段垂直平分线的性质,相似三角形的性质和判定,熟练掌 握等腰三角形的性质,线段垂直平分线的性质,相似三角形的性质和判定定理是解题的关键. 5.如图,在锐角三角形ABC中,点D、E分别在边AC、AB上, 于点G, 于点F, . (1)求证: ; 4 试卷第页,共3页 资料整理【淘宝店铺:向阳百分百】 学科网(北京)股份有限公司关注公众号:陆陆高分冲刺 ~领取:最新版“小中高考-总复习”、最新试卷下载 (2)若 , ,求CD的值. 【答案】(1)见解析 (2) 【分析】(1)先根据垂直的定义推出 , ,再由 即可推出 ,最后根据 ,即可证明 ; (2)由相似三角形的性质得到 ,由此求出AB的长即可得到答案. 【详解】(1)解:∵ , , ∴ , ∴ , , ∵ , ∴ , ∵ , ∴ ; (2)解:∵ , ∴ , ∵ , , ∴ , ∴ , 解得 , ∴ . 【点睛】本题主要考查了相似三角形的性质与判定,熟知相似三角形的性质与判定条件是解题的关键. 6.如图,D是△ABC的边BC上一点,AB=4,AD=2,∠DAC=∠B,如果△ABD的面积为15, (1)求证:△DAC∽△ABC; 5 试卷第页,共3页 资料整理【淘宝店铺:向阳百分百】 学科网(北京)股份有限公司关注公众号:陆陆高分冲刺 ~领取:最新版“小中高考-总复习”、最新试卷下载 (2)求△ACD的面积. 【答案】(1)见解析 (2)△ACD的面积为5 【分析】(1)由∠DAC=∠B, 即可证明△DAC∽△ABC; (2)设△ACD的面积为S,根据相似三角形面积比等于相似比的平方,列出方程求解即可. 【详解】(1)证明:∵∠DAC=∠B,∠C=∠C, ∴△DAC∽△ABC; (2)设△ACD的面积为S, ∵△ABD的面积为15. ∴△ABC的面积为15+S, ∵△DAC∽△ABC, ∴ , ∴ , 解得S=5, ∴△ACD的面积为5. 【点睛】此题考查了相似三角形的性质和判定,解题的关键是熟练掌握相似三角形的性质和判定. 7.如图,在菱形 中, 为边 延长线上一点,连接 分别交 和 于 和 两点. (1)求证: ; (2)求证: ; (3)已知 , .求当该菱形 改变为正方形,其余条件不变时正方形的边长. 【答案】(1)见解析 (2)见解析 (3) 6 试卷第页,共3页 资料整理【淘宝店铺:向阳百分百】 学科网(北京)股份有限公司关注公众号:陆陆高分冲刺 ~领取:最新版“小中高考-总复习”、最新试卷下载 【分析】(1)只需证明 即可得到 . (2)想证明 ,通过观察 为比例中项,只需证明 ,即可到得答案. (3)根据学过的知识,出现比例中项的只有在三角形相似这个章节,所以只要证明 即可 到得答案. 【详解】(1)证明: 四边形 是菱形, , , 又 , , ; (2)证明: 四边形 是菱形, , , , , 又 , , , ; (3)该菱形 改变为正方形时, 由(2)知: , , , , , 四边形 是正方形, , , , , 7 试卷第页,共3页 资料整理【淘宝店铺:向阳百分百】 学科网(北京)股份有限公司关注公众号:陆陆高分冲刺 ~领取:最新版“小中高考-总复习”、最新试卷下载 在 中,由勾股定理可得正方 的边长 . 【点睛】本题考查了三角形全等、相似的内容,熟练掌握三角形全等及相似的证明方法是解决此题的关键. 8.如图,点P是菱形 的对角线 上一点,连接 并延长交 于点E,交 的延长线于点F. (1)求证: ; (2)求证: ; (3)若 ,求 的长. 【答案】(1)见解析 (2)见解析 (3) 的长为 . 【分析】(1)根据菱形的性质,利用 即可证明 ; (2)根据菱形的性质,全等三角形的性质推出 ,即可证明 ; (3)根据相似三角形的性质结合条件可求得 ,再根据全等三角形的性质即可求解. 【详解】(1)证明:∵四边形 是菱形, ∴ , , 在 和 中, , ∴ ; (2)证明:∵四边形 是菱形, ∴ , ∴ , ∵ , 8 试卷第页,共3页 资料整理【淘宝店铺:向阳百分百】 学科网(北京)股份有限公司关注公众号:陆陆高分冲刺 ~领取:最新版“小中高考-总复习”、最新试卷下载 ∴ , ∴ , ∵ , ∴ ; (3)解:∵ , ∴ , ∴ , ∴ , ∵ , ∴ . ∴ 的长为 . 【点睛】本题主要考查了菱形,全等三角形,相似三角形,熟练掌握菱形的性质,全等三角形的判定及性 质,相似三角形的判定及性质,是解题的关键. 9.(1)【基础模型】: 如图1,在 中, 为 上一点, .求证: . (2)【尝试应用】: 如图2,在平行四边形 中, 为 上一点, 为 延长线上一点, ,若 , ,求 的长. (3)【更上层楼】: 如图3,在菱形 中, 是 上一点, 是 内一点, , , , ,请直接写出菱形 的边长. 9 试卷第页,共3页 资料整理【淘宝店铺:向阳百分百】 学科网(北京)股份有限公司关注公众号:陆陆高分冲刺 ~领取:最新版“小中高考-总复习”、最新试卷下载 【答案】(1)见解析;(2)9;(3) 【分析】(1)直接利用两个角对应相等证明 即可得到结论; (2)首先说明 ,得 ,求出 的长,再利用平行四边形的性质可得 的长; (3)延长 交于 ,利用两组对边分别平行可得四边形 是平行四边形,得 ,在利用 ,得 ,代入化简即可. 【详解】解:(1) , , , ; (2) 四边形 是平行四边形, , , , , , , , , , ; (3)如图所示,延长 交于 , 四边形 是菱形, 10 试卷第页,共3页 资料整理【淘宝店铺:向阳百分百】 学科网(北京)股份有限公司关注公众号:陆陆高分冲刺 ~领取:最新版“小中高考-总复习”、最新试卷下载 , , 四边形 是平行四边形, , , , , , , , , . 又∵ , ∴ , ∴ , ∴菱形 的边长为 . 【点睛】本题考查了相似综合题,主要考查了相似三角形的判定与性质,菱形的性质,平行四边形的判定 与性质,熟练掌握共边共角三角形相似是解题的关键. 10.如图,在△ABC中,D是BC上的点,E是AD上一点,且 ,∠BAD=∠ECA. 11 试卷第页,共3页 资料整理【淘宝店铺:向阳百分百】 学科网(北京)股份有限公司关注公众号:陆陆高分冲刺 ~领取:最新版“小中高考-总复习”、最新试卷下载 (1)求证:AC2=BC•CD; (2)若AD是△ABC的中线,求 的值. 【答案】(1)证明见解析;(2) 【分析】(1)首先利用相似三角形的判定得出 ,得 ,进而求出 , 再利用相似三角形的性质得出答案即可; (2)由 可证 ,进而得出 ,再由(1)可证 ,由此即可得 出线段之间关系. 【详解】(1)证明: , , , , , , , . (2)解: , , , , AD是△ABC的中线, , ,即: , ∴ . 【点睛】此题主要考查了相似三角形的判定与性质以及重心的性质等知识,根据已知得出 是 解题关键. 11.解答下列各题: 12 试卷第页,共3页 资料整理【淘宝店铺:向阳百分百】 学科网(北京)股份有限公司关注公众号:陆陆高分冲刺 ~领取:最新版“小中高考-总复习”、最新试卷下载 (1) [基础巩固] 如图1,在△ABC中,D为AB上一点,∠ACD=∠B.求证:AC2=AD•AB. (2)[尝试应用] 如图2,在平行四边形ABCD中,F为AB上一点,E为BC延长线上一点, ∠AEF=∠D.若AE=6,BF=5, 求CD的长. (3)[拓展提高] 如图3,在菱形ABCD中,E是AB上一点,F是△ABC内一点,EF∥AC,AC=4EF,∠EDF= ∠BAD,AE= 3,DF=4,求菱形ABCD的边长. 【答案】(1)见解析;(2)9;(3)5 【分析】(1)证明 ,利用对应边相似求解. (2)证明 ,设 ,利用对应边关系列出方程求解. (3)延长 ,交于点 ,证明 ,表示对应关系 ,再利用 . 【详解】解:(1)证明:∵ , ∴ , ∴ , ∴ . (2)∵四边形ABCD是平行四边形, ∴ . ∴ . 又∵ , ∴ . ∴ . ∴ . 13 试卷第页,共3页 资料整理【淘宝店铺:向阳百分百】 学科网(北京)股份有限公司关注公众号:陆陆高分冲刺 ~领取:最新版“小中高考-总复习”、最新试卷下载 设 , ∵ , ∴ , ∴ ,即 . 解得 (舍去). ∴ ,即 ; (3)如图,延长 ,交于点 , ∵四边形 是菱形, ∴ ∥ , , ∵ ∥ , ∴四边形 为平行四边形, ∴ , ∵ , ∴ , ∴ , 又∵ , ∴ , ∴ , ∴ , 又∵ , ∴ , ∴ , 又∵ ∴ , 14 试卷第页,共3页 资料整理【淘宝店铺:向阳百分百】 学科网(北京)股份有限公司关注公众号:陆陆高分冲刺 ~领取:最新版“小中高考-总复习”、最新试卷下载 ∴ . ∴菱形 的边长为5. 【点睛】本题考查了相似三角形的运用以及菱形的性质,利用相似比求解即可. 12.已知正方形ABCD中,点E是边CD上一点(不与 C、D重合),将△ADE绕点A顺时针旋转90°得到 △ABF,如图1,连接EF分别交AC、AB于点P、G. (1)求证:△APF∽△EPC; (2)求证:PA2=PG•PF (3)如图2,当点E是边CD的中点时,PE=1,求AG的长. 【答案】(1)证明见解析;(2)证明见解析;(3)AG= . 【分析】(1)根据两角对应相等的两个三角形相似证明即可. (2)证明△APG∽△FPA,即可解决问题. (3)如图2中,设正方形的边长为2a.想办法用a表示AG,EG,GP,证明AG2=GP•GE,由此构建方程求出 a,即可解决问题. 【详解】(1)证明:∵四边形ABCD是正方形, ∴∠ACB=45°, 由旋转的性质可知,AF=AE,∠FAE=90°, ∴∠AFP=∠ECP=45°, ∵∠APF=∠EPC, ∴△APF∽△EPC; (2)证明:∵四边形ABCD是正方形, ∴∠CAB=45°, ∵∠AFE=45°, ∴∠PAG=∠AFP, ∵∠APG=∠FPA, 15 试卷第页,共3页 资料整理【淘宝店铺:向阳百分百】 学科网(北京)股份有限公司关注公众号:陆陆高分冲刺 ~领取:最新版“小中高考-总复习”、最新试卷下载 ∴△APG∽△FPA, ∴ , ∴PA2=PG•PF; (3)解:如图2中,设正方形的边长为2a. ∵△ADE绕点A顺时针旋转90°得到△ABF, ∴∠ABF=∠D=90°,DE=BF, ∵∠ABC=90°, ∴∠FBC=180°, ∴F,B,C共线, ∵DE=EC=BF=a,BC=2a, ∴CF=3a,EF= , ∵BG∥EC, ∴BG:EC=FB:CF=FG:FE=1:3, ∴BG= a,AG= a,GE= , ∵∠GAP=∠AEG=45°,∠AGP=∠EGA, ∴△AGP∽△EGA, ∴ , ∴AG2=GP•GE, ∴( a)2=( a-1)• a, ∴a= , 16 试卷第页,共3页 资料整理【淘宝店铺:向阳百分百】 学科网(北京)股份有限公司关注公众号:陆陆高分冲刺 ~领取:最新版“小中高考-总复习”、最新试卷下载 ∴AG= × = . 【点睛】本题属于相似形综合题,考查了正方形的性质,相似三角形的判定和性质,旋转变换,勾股定理, 平行线分线段成比例定理等知识,解题的关键是学会利用参数构建方程解决问题,属于中考压轴题. 13.如图, , , , .点 从点 出发,以 的速度沿 向点 匀速运动,同时点 从点 出发,以 的速度沿 向点 匀速运动,当一个点到达终点时,另一 个点随之停止. (1)求经过几秒后, 的面积等于 面积的 ? (2)经过几秒, 与 相似? 【答案】(1)经过3秒后, 的面积等于 面积的 ;(2)经过 秒或 秒时, 与 相似 【分析】(1)分别表示出线段PC和线段CQ的长后利用 列出方程求解; (2)设运动时间为 秒, 与 相似,当 与 相似时,则有 或 , 分别代入可得到关于t的方程,可求得t的值. 【详解】(1)设经过x秒, 的面积等于 面积的 , , 解得: , 答:经过3秒后, 的面积等于 面积的 ; (2)设经过t秒, 与 相似, 17 试卷第页,共3页 资料整理【淘宝店铺:向阳百分百】 学科网(北京)股份有限公司关注公众号:陆陆高分冲刺 ~领取:最新版“小中高考-总复习”、最新试卷下载 因为 ,所以分为两种情况: ① , ,解得: , ② , ,解得: , 答:经过 秒或 秒时, 与 相似. 【点睛】本题考查一元二次方程的应用,相似三角形的判定与性质,三角形的面积,解题关键是要读懂题 目的意思,根据题目给出的条件,找出合适的等量关系,列出方程,再求解. 14.如图,在正方形ABCD中,点G是对角线上一点,CG的延长线交AB于点E,交DA的延长线于点F,连 接AG. (1)求证:AG=CG; (2)求证:△AEG∽△FAG; (3)若GE•GF=9,求CG的长. 【答案】(1)见解析;(2)见解析;(3)CG=3 【分析】(1)根据正方形的性质得到∠ADB=∠CDB=45°,AD=CD,从而利用全等三角形的判定定理推 出△ADG≌△CDG(SAS),进而利用全等三角形的性质进行证明即可; (2)根据正方形的性质得到AD∥CB,推出∠FCB=∠F,由(1)可知△ADG≌△CDG,利用全等三角形的性 质得到∠DAG=∠DCG,结合图形根据角之间的和差关系∠DAB−∠DAG=∠DCB−∠DCG,推出∠BCF= ∠BAG,从而结合图形可利用相似三角形的判定定理得到△AEG∽△FAG, (3)根据相似三角形的性质进行求解即可. 【详解】(1)证明:∵BD是正方形ABCD的对角线, ∴∠ADB=∠CDB=45°, 又AD=CD, 18 试卷第页,共3页 资料整理【淘宝店铺:向阳百分百】 学科网(北京)股份有限公司关注公众号:陆陆高分冲刺 ~领取:最新版“小中高考-总复习”、最新试卷下载 在△ADG和△CDG中, , ∴△ADG≌△CDG(SAS), ∴AG=CG; (2)解:∵四边形ABCD是正方形, ∴AD∥CB, ∴∠FCB=∠F, 由(1)可知△ADG≌△CDG, ∴∠DAG=∠DCG, ∴∠DAB−∠DAG=∠DCB−∠DCG,即∠BCF=∠BAG, ∴∠EAG=∠F, 又∠EGA=∠AGF, ∴△AEG∽△FAG; (3)∵△AEG∽△FAG, ∴ ,即GA2=GE•GF, ∴GA=3或GA=−3(舍去), 根据(1)中的结论AG=CG, ∴CG=3. 【点睛】本题考查相似三角形的判定与性质、全等三角形的判定与性质及正方形的性质,注意运用数形结 合的思想方法,从图形中寻找角之间的和差关系. 15.如图,在Rt△ABC中,∠ABC=90°,点D是斜边AC的中点,联结DB,线段AE⊥线段BD交BC于点E 交DB于点G,垂足为点G. (1)求证:EB2=EG•EA; (2)联结CG,若∠CGE=∠DBC.求证:BE=CE. 19 试卷第页,共3页 资料整理【淘宝店铺:向阳百分百】 学科网(北京)股份有限公司关注公众号:陆陆高分冲刺 ~领取:最新版“小中高考-总复习”、最新试卷下载 【答案】(1)见解析;(2)见解析 【分析】(1)先证明 ,结合 证明 可得结论; (2)证明 得 ,由 可得 从而可得结论. 【详解】解:(1)证明:∵ ∴ ∵ ∴ ∵ ∴ ∴ ∴ (2)在 中,点D是斜边 的中点 ∴ ∴ ∵ ∴ ∵ ∴ ∴ ∴ 由(1)得 ∴ 20 试卷第页,共3页 资料整理【淘宝店铺:向阳百分百】 学科网(北京)股份有限公司关注公众号:陆陆高分冲刺 ~领取:最新版“小中高考-总复习”、最新试卷下载 ∴ 【点睛】本题主要考查了相似三角形的性质与判定,证明 是解答本题的关键. 16.如图1,△ABC中,AB=AC,点D在BA的延长线上,点E在BC上,连接DE、DC,DE交AC于点G,且 DE=DC. (1)请证明∠ACD=∠BDE; (2)若AB=mAD,求 的值(用含m的式子表示) (3)如图2,将△ABC沿BC翻折,若点A的对应点A'恰好落在DE的延长线上,求 的值. 【答案】(1)见解析;(2) ;(3) 【分析】(1)根据等腰三角形的性质以及三角形的外角性质即可证得 ; (2)过点E作 交AB于点F,先证明 ,由此可得 ,再根据 即可 21 试卷第页,共3页 资料整理【淘宝店铺:向阳百分百】 学科网(北京)股份有限公司关注公众号:陆陆高分冲刺 ~领取:最新版“小中高考-总复习”、最新试卷下载 证得 ; (3)设 , ,则 ,先证明 ,由此可得 ,再根据 等腰三角形的性质以及翻折的性质可得 , ,由此可得 ,由此计算即可 求得答案. 【详解】解:(1)∵ , ∴ , ∵ , ∴ , ∴ , ∴ (2)如图,过点E作 交AB于点F, ∴ , 在 与 中, , ∴ , ∴ , ∵ , ∴ , ∴ , 22 试卷第页,共3页 资料整理【淘宝店铺:向阳百分百】 学科网(北京)股份有限公司关注公众号:陆陆高分冲刺 ~领取:最新版“小中高考-总复习”、最新试卷下载 ∵ , ∴ ; (3)设 , ,则 , 由(1)可知 , 又∵ , ∴ , ∴ , ∴ , 解得: (舍负), ∵ , ∴ , 由题意可得: , , ∴ , ∴ , ∴ , 同理可得: , ∴ , ∴ , 整理得: , 解得: (舍负), ∴ 【点睛】本题考查了等腰三角形的性质,全等三角形的判定与性质,平行线分线段成比例定理,相似三角 形的判定与性质以及翻折的性质,熟练掌握它们的基本性质是解决本题的关键. 17.如图,在菱形ABCD中,DE⊥BC交BC的延长线于点E,连结AE交BD于点F,交CD于点G,连结CF. 23 试卷第页,共3页 资料整理【淘宝店铺:向阳百分百】 学科网(北京)股份有限公司关注公众号:陆陆高分冲刺 ~领取:最新版“小中高考-总复习”、最新试卷下载 (1)求证:AF=CF; (2)求证:AF2=EF•GF; (3)若菱形ABCD的边长为2,∠BAD=120°,求FG的长. 【答案】(1)答案见解析 (2)答案见解析 (3) 【分析】(1)先由菱形的性质得到AB=BC,∠ABF=∠CBF,然后结合BF=BF,得到△ABF≌△CBF,进而得到 AF=CF; (2)先由菱形得到∠BAD=∠BCD,AD//BE,从而得到∠DAF=∠DCF,∠DAF=∠FEC,再结合∠CFG=∠EFC,得 到△CFG∽△EFC,然后利用相似三角形的性质得到CF2=EF×GF,最后结合AF=CF,得到AF2=EF×GF; (3)先由∠BAD=120°,得到∠DCE=60°,然后结合菱形边长为2得到CD的长,进而利用DE⊥BC,得到 CE、AE的长,然后通过证明△FAD∽△FEB,△GAD∽△GEC,进而得到AF、AG的长,最后得到FG的长. 【详解】(1)解:证明:∵四边形ABCD是菱形, ∴AB=BC,∠ABF=∠CBF, ∵BF=BF, ∴△ABF≌△CBF(SAS), ∴AF=CF; (2)证明:∵四边形ABCD是菱形, ∴∠BAD=∠BCD,AD//BE, ∴∠DAF=∠FEC, ∵△ABF≌△CBF, ∴∠BAF=∠BCF, ∴∠DAF=∠DCF, ∴∠GCF=∠CEF, 24 试卷第页,共3页 资料整理【淘宝店铺:向阳百分百】 学科网(北京)股份有限公司关注公众号:陆陆高分冲刺 ~领取:最新版“小中高考-总复习”、最新试卷下载 ∵∠CFG=∠EFC, ∴△CFG∽△EFC, ∴ , ∴CF2=EF×GF, ∵AF=CF, ∴AF2=EF×GF; (3)∵∠BAD=120°, ∴∠DCE=60°, ∵菱形边长为2, ∴CD=AD=2, ∵DE⊥BC, ∴∠ADE=∠CED=90°, ∴∠CDE=30°, ∴CE= CD=1,DE= , ∴ ,BE=BC+CE=2+1=3, ∵AD//BE, ∴△FAD∽△FEB,△GAD∽△GEC, ∴ , , ∴ , , ∴FG=AG-AF= - = . 【点睛】本题考查了菱形的性质、含30° 角的直角三角形的三边关系、勾股定理、全等三角形的判定与 性质、相似三角形的判定与性质,解题的关键是熟知菱形的性质得到相关的角相等. 18.如图,在正方形ABCD中,点G是对角线上一点,CG的延长线交AB于点E,交DA的延长线于点F,连 接AG. 25 试卷第页,共3页 资料整理【淘宝店铺:向阳百分百】 学科网(北京)股份有限公司关注公众号:陆陆高分冲刺 ~领取:最新版“小中高考-总复习”、最新试卷下载 (1)求证:AG=CG; (2)若GE•GF=9,求CG的长. 【答案】(1)见解析 (2)CG=3. 【分析】(1)根据正方形的性质得到∠ADB=∠CDB=45°,AD=CD,从而利用全等三角形的判定定理推出 △ADG≌△CDG(SAS),进而利用全等三角形的性质进行证明即可; (2)根据正方形的性质得到AD∥CB,推出∠FCB=∠F,由(1)可知△ADG≌△CDG,利用全等三角形的性 质得到∠DAG=∠DCG,结合图形根据角之间的和差关系∠DAB-∠DAG=∠DCB-∠DCG,推出∠BCF=∠BAG,从 而结合图形可利用相似三角形的判定定理即可得到△AEG∽△FAG;再根据相似三角形的性质进行求解即可. 【详解】(1)证明:∵BD是正方形ABCD的对角线, ∴∠ADB=∠CDB=45°, 又AD=CD, 在△ADG和△CDG中, , ∴△ADG≌△CDG(SAS), ∴AG=CG; (2)证明:∵四边形ABCD是正方形, ∴AD∥CB, ∴∠FCB=∠F, 由(1)可知△ADG≌△CDG, ∴∠DAG=∠DCG, ∴∠DAB-∠DAG=∠DCB-∠DCG,即∠BCF=∠BAG, ∴∠EAG=∠F, 又∠EGA=∠AGF, 26 试卷第页,共3页 资料整理【淘宝店铺:向阳百分百】 学科网(北京)股份有限公司关注公众号:陆陆高分冲刺 ~领取:最新版“小中高考-总复习”、最新试卷下载 ∴△AEG∽△FAG, ∴ ,即GA2=GE•GF=9, ∴GA=3或GA=-3(舍去), 根据(1)中的结论得AG=CG, ∴CG=3. 【点睛】本题考查相似三角形的判定与性质、全等三角形的判定与性质及正方形的性质,注意运用数形结 合的思想方法,从图形中寻找角之间的和差关系. 19.如图,△ABC中,∠ACB=90°,CB=CA,CE⊥AB于E,点F是CE上一点,连接AF并延长交BC于点 D,CG⊥AD于点G,连接EG. (1)求证:CD2=DG•DA; (2)如图1,若点D是BC中点,求证:CF=2EF; (3)如图2,若GC=2,GE=2 ,求证:点F是CE中点. 【答案】(1)见解析 (2)见解析 (3)见解析 【分析】(1)先证明△ACD∽△CGD,根据相似三角形性质即可证得结论; (2)如图1,过E作EH∥AD交BC于点H,运用平行线分线段成比例定理即可证得结论; (3)根据∠AGC=∠AEC=90°,得出A、C、G、E四点共圆,过点E作EM⊥AD于点M,可得△EGM是等腰 直角三角形,再证明△CGF≌△EMF,即可证明F是CE中点. 【详解】(1)证明:∵CG⊥AD,∠ACB=90°, ∴∠CGD=∠ACB=90°, ∵∠CDA=∠CDG, ∴△ACD∽△CGD, 27 试卷第页,共3页 资料整理【淘宝店铺:向阳百分百】 学科网(北京)股份有限公司关注公众号:陆陆高分冲刺 ~领取:最新版“小中高考-总复习”、最新试卷下载 ∴CD:DG=DA:CD, ∴CD2=DG•DA; (2)如图1,过E作EH∥AD交BC于点H, ∵HE∥AD, ∴BH:HD=BE:EA,CD:HD=CF:EF, ∵CB=CA,∠ACB=90°,CE⊥AB, ∴E为AB的中点, ∴BE:EA=1, ∴BH:HD=BE:EA=1 ∵D为BD的中点 ∴CD=BD, ∴CD:HD=2, ∵EH∥AD ∴CD:HD=CF:EF=2 ∴CF=2EF. (3)∵CB=CA,∠ACB=90°, ∴∠BAC=45°, ∵CE⊥AB,CG⊥AD, ∴∠AGC=∠AEC=90°,∠ACE=45°, ∴A、C、G、E四点共圆, ∴∠EGF=∠ACF=45°, 过点E作EM⊥AD于点M, 28 试卷第页,共3页 资料整理【淘宝店铺:向阳百分百】 学科网(北京)股份有限公司关注公众号:陆陆高分冲刺 ~领取:最新版“小中高考-总复习”、最新试卷下载 ∴△EGM是等腰直角三角形, EM=GE•sin45°=2 =2, ∵CG=2, ∴CG=EM, ∵∠CFG=∠EFM,∠CGF=∠EMF=90°, ∴△CGF≌△EMF, ∴CF=EF , 即点F是CE中点. 【点睛】∴本题考查了等腰直角三角形性质与判定,全等三角形判定和性质,相似三角形的判定和性质、 勾股定理、平行线分线段成比例定理、解直角三角形等知识,解题的关键是学会添加常用辅助线并结合相 关知识进行解题. 20.模型建立: (1)如图1,在 中, 是 上一点, ,求证: ; (2)类比探究:如图2,在菱形 中, 、 分别为边 、 上的点,且 ,射线 交 的延长线于点 ,射线 交 的延长线于点 . 29 试卷第页,共3页 资料整理【淘宝店铺:向阳百分百】 学科网(北京)股份有限公司关注公众号:陆陆高分冲刺 ~领取:最新版“小中高考-总复习”、最新试卷下载 ①求证: ; ②若 , , ,求 的长. 【答案】(1)见解析 (2)①见解析;② 【分析】(1)证明 ,根据相似三角形的性质即可得出结论; (2)①连接 ,证明 ,根据相似三角形的性质得出 ; ②由①得: ,得出 ,由①可知, ,得出 ,证明 , 得出 ,进而即可求解. 【详解】(1)证明: , , , , ; (2)①证明:如图2,连接 , 四边形 是菱形, , , , , , , , , 30 试卷第页,共3页 资料整理【淘宝店铺:向阳百分百】 学科网(北京)股份有限公司关注公众号:陆陆高分冲刺 ~领取:最新版“小中高考-总复习”、最新试卷下载 , , , ; ②解:由①得: , , , , , 由①可知, , , 即 , 解得: , 由①得: , 同理得: , , , , 由①知, , , , 即 , 解得: , . 【点睛】本题考查了相似三角形的性质与判定,菱形的性质,熟练掌握相似三角形的性质与判定是解题的 关键. 21.已知矩形 ,点E、F分别在 、 边上运动,连接 、 ,记 、 交于点P. 31 试卷第页,共3页 资料整理【淘宝店铺:向阳百分百】 学科网(北京)股份有限公司关注公众号:陆陆高分冲刺 ~领取:最新版“小中高考-总复习”、最新试卷下载 - (1)如图1,若 , , ,求线段 的长度; (2)如图2,若 , ,求 ; (3)如图3,连接 ,若 , , ,求 的长度. 【答案】(1) (2) (3) 【分析】(1)根据 得出 ,再证明 ,根据相似三角形的性质 即可进行解答; (2)根据矩形的性质可得 ,得出 ,进而得出 ,则 , 即可得出结论; (3)过点A作 于点H,过点P作 于点N,交 于点M,设 ,则 , 得出 ,根据 ,得出 ,进而得出 ,则 , 证明 根据 ,列出方程求解即可. 【详解】(1)解:∵四边形 为矩形, ∴ , ∵ , ∴ , ∴ , 32 试卷第页,共3页 资料整理【淘宝店铺:向阳百分百】 学科网(北京)股份有限公司关注公众号:陆陆高分冲刺 ~领取:最新版“小中高考-总复习”、最新试卷下载 ∵ , ∴ , 又∵ , ∴ , ∴ , ∵ , ∴ ; (2)解:∵四边形 为矩形, ∴ , ∴ , , ∵ , ∴ , 又∵ , ∴ , ∴ ,则 , ∴ ,整理得: , ∴ , 解得: . (3)解:过点A作 于点H,过点P作 于点N,交 于点M, ∵ , , ∴ , 设 ,则 , ∵ , ∴ , 由(2)可得: , 33 试卷第页,共3页 资料整理【淘宝店铺:向阳百分百】 学科网(北京)股份有限公司关注公众号:陆陆高分冲刺 ~领取:最新版“小中高考-总复习”、最新试卷下载 ∴ , ∴ , ∴ ,整理得: , ∵ , ∴ , ∴ , ∴ , ∵ , ∴四边形 为矩形, ∴ ,则 , ∵ , ∴ , ∵ , ∴ , ∴ ,即 , 解得: , ∴ . 34 试卷第页,共3页 资料整理【淘宝店铺:向阳百分百】 学科网(北京)股份有限公司关注公众号:陆陆高分冲刺 ~领取:最新版“小中高考-总复习”、最新试卷下载 【点睛】本题主要考查了矩形的性质,相似三角形的判定和性质,解题的关键是掌握矩形对边相等,四个 角都为直角,相似三角形对应边成比例. 22.已知在菱形ABCD中,∠BAD=120°,点E为射线BC上的一个动点,AE与边CD交于点G. (1)如图1,连接对角线BD交AE于点F,连接CF,若AF2=CG•CD,试求∠CFE的度数; (2)如图2,点F为AE上一点,且∠ADF=∠AED,若菱形的边长为2,则当DE⊥BC时,求△CFE的面积; (3)如图3,当点E在射线BC上运动时,试求 的最小值. 【答案】(1)30°;(2) ;(3) 【分析】(1)如图1,证明△ABF≌△CBF(SAS),得AF=CF,再证明△FCG∽△DCF,根据相似三角形的 性质可得∠CFE=∠FDC=30°; (2)如图2,过点F作MN⊥BC于N,交AD于M,根据直角三角形30°角的性质得:CE=1,根据勾股定理 计算DE和AE的长,证明∠AFD∽△ADE,列比例式可得AF和EF的长,证明△AFM∽△EFN,得FN的长,根 据三角形的面积公式可得结论; (3)如图3,过点E作EH⊥CD于H,过点A作AN⊥BC于N,设菱形ABCD的边长为a,CE=x,分别计算AE2 和DE2,变形后可得当a=x时, 有最小值. 【详解】解:(1)如图1,∵ , ∴ , ∵四边形ABCD是菱形, ∴AB=BC,∠ABD=∠CBD, ∵BF=BF, ∴△ABF≌△CBF(SAS), ∴AF=CF, ∴ , 35 试卷第页,共3页 资料整理【淘宝店铺:向阳百分百】 学科网(北京)股份有限公司关注公众号:陆陆高分冲刺 ~领取:最新版“小中高考-总复习”、最新试卷下载 ∵∠FCG=∠FCG, ∴△FCG∽△DCF, ∴∠CFE=∠FDC, ∵AB∥CD, ∴∠BAD+∠ADC=180°, ∵∠BAD=120°, ∴∠ADC=60°, ∵四边形ABCD是菱形, ∴∠FDC ∠ADC=30°, ∴∠CFE=30°; (2)如图2,过点F作MN⊥BC于N,交AD于M, ∵AD∥BC, ∴MN⊥AD, Rt△DCE中,∠DCE=180°﹣120°=60°, ∴∠CDE=30°, ∵CD=2, ∴CE=1,DE , Rt△ADE中,AE , ∵∠ADF=∠AED,∠FAD=∠FAD, ∴∠AFD∽△ADE, ∴ ,即 , ∴AF , 36 试卷第页,共3页 资料整理【淘宝店铺:向阳百分百】 学科网(北京)股份有限公司关注公众号:陆陆高分冲刺 ~领取:最新版“小中高考-总复习”、最新试卷下载 ∴EF , ∵AD∥BC, ∴△AFM∽△EFN, ∴ , ∵MN=DE , ∴FN , ∴S△CEF ; (3)如图3,过点E作EH⊥CD于H,过点A作AN⊥BC于N, 设菱形ABCD的边长为a,CE=x, 在Rt△CEH中,∠ECH=60°, ∴∠CEH=30°, ∴CH x,EH x, ∴DH=a x, 在Rt△DEH中,DE2=DH2+EH2 = + =a2﹣ax+x2, 在Rt△ABN中,∠B=60°,AB=a, ∴∠BAN=30°, 37 试卷第页,共3页 资料整理【淘宝店铺:向阳百分百】 学科网(北京)股份有限公司关注公众号:陆陆高分冲刺 ~领取:最新版“小中高考-总复习”、最新试卷下载 ∴BN a,AN a, ∴CN=BC﹣BN a, ∴EN=EC+CN a+x, Rt△ANE中,AE2=AN2+EN2 = + =a2+ax+x2, ∴ (a>0,x> 0), ∴当 时,即x=a时, 有最小值, 则此时 , ∴ . 【点睛】本题是相似形综合题,主要考查了菱形的性质,相似三角形的判定和性质,勾股定理,角平分线 的定义,熟练掌握判定两三角形相似的方法是解题的关键. 23.如图,将矩形ABCD沿AF折叠,使点D落在BC边的点E处,过点E作EG∥CD交AF于点G,连接DG. 38 试卷第页,共3页 资料整理【淘宝店铺:向阳百分百】 学科网(北京)股份有限公司关注公众号:陆陆高分冲刺 ~领取:最新版“小中高考-总复习”、最新试卷下载 (1)求证:四边形EFDG是菱形; (2)求证EG2= GF•AF; (3)若AG=3,EG= ,求BE的长. 【答案】(1)证明见解析;(2)证明见解析;(3) . 【分析】(1)先依据翻折的性质和平行线的性质证明∠DGF=∠DFG,从而得到GD=DF,接下来依据翻折的 性质可证明DG=GE=DF=EF; (2)连接DE,交AF于点O.由菱形的性质可知GF⊥DE,OG=OF= GF,接下来,证明△DOF∽△ADF,由相 似三角形的性质可证明DF2=FO•AF,于是可得到GE、AF、FG的数量关系; (3)过点G作GH⊥DC,垂足为H.利用(2)的结论可求得FG=4,然后再△ADF中依据勾股定理可求得AD 的长,然后再证明△FGH∽△FAD,利用相似三角形的性质可求得GH的长,最后依据BE=AD-GH求解即可. 【详解】(1)证明:∵GE∥DF, ∴∠EGF=∠DFG. ∵由翻折的性质可知:GD=GE,DF=EF,∠DGF=∠EGF, ∴∠DGF=∠DFG. ∴GD=DF. ∴DG=GE=DF=EF. ∴四边形EFDG为菱形. (2)证明:如图1所示:连接DE,交AF于点O. 39 试卷第页,共3页 资料整理【淘宝店铺:向阳百分百】 学科网(北京)股份有限公司关注公众号:陆陆高分冲刺 ~领取:最新版“小中高考-总复习”、最新试卷下载 ∵四边形EFDG为菱形, ∴GF⊥DE, , ∵∠DOF=∠ADF=90°,∠OFD=∠DFA, ∴△DOF∽△ADF. ∴ ,即DF2=FO•AF. ∵ , ∴ ; (3)如图2所示:过点G作GH⊥DC,垂足为H. ∵ , ∴ ,整理得:FG2+3FG-10=0. 解得:FG=2,FG=-5(舍去). ∵ ∴ ∵GH⊥DC,AD⊥DC, ∴GH∥AD. ∴△FGH∽△FAD. ∴ ,即 , ∴ . 40 试卷第页,共3页 资料整理【淘宝店铺:向阳百分百】 学科网(北京)股份有限公司关注公众号:陆陆高分冲刺 ~领取:最新版“小中高考-总复习”、最新试卷下载 ∴ . 【点睛】本题主要考查的是四边形与三角形的综合应用,解答本题主要应用了矩形的性质、菱形的判定和 性质、相似三角形的性质和判定、勾股定理的应用,利用相似三角形的性质得到DF2=FO•AF是解题答问题 (2)的关键,依据相似三角形的性质求得GH的长是解答问题(3)的关键. 24.在△ABC中,点D是BC上一点,点E是AD上一点,且ED=BD,∠EBC=∠BAC,BE的延长线交AC于点 F. (1)求证:△AEF∽△BAF; (2)如图2,若AD⊥BC,AE=6,DE=12,求AF的长; (3)如图3,若AB=AC,AD=2BD,AF=1,求CF的长. 【答案】(1)见解析 (2) (3) 【分析】(1)先根据等腰三角形的性质得到∠DBE=∠DEB,由∠DEB=∠AEF,∠DBE=∠BAC,推出 ∠AEF=∠BAF,再由∠BFA=∠AFE,即可证明△AEF∽△BAF; (2)先求出BD=DE=12,AD=AE+DE=18,由勾股定理求出 , ,根据相似三角形的性质 可得 ,则 ,设 ,则 , ,则 41 试卷第页,共3页 资料整理【淘宝店铺:向阳百分百】 学科网(北京)股份有限公司关注公众号:陆陆高分冲刺 ~领取:最新版“小中高考-总复习”、最新试卷下载 ,由此求解即可; (3)如图所示,过点A作AG∥BC交BF延长线于G,先证明BC=BF,设 ,则 ,由(2) 可知 ,则 , ,进而推出 ;证明△AFG∽△CFB, △AEG∽△DEB,得到 , ,推出 ,再证明AE=DE=BD=AG, 得到 ,则 , ,得到 ;证明 △ABC∽△BFC,推出 ,即可得到答案. 【详解】(1)解:∵ED=BD, ∴∠DBE=∠DEB, 又∵∠DEB=∠AEF,∠DBE=∠BAC, ∴∠AEF=∠BAF, ∵∠BFA=∠AFE, ∴△AEF∽△BAF; (2)解:∵AE=6,DE=12, ∴BD=DE=12,AD=AE+DE=18, ∵AD⊥BC, ∴∠ADB=90°, ∴ , ∵△AEF∽△BAF, ∴ , ∴ , 设 ,则 , , 42 试卷第页,共3页 资料整理【淘宝店铺:向阳百分百】 学科网(北京)股份有限公司关注公众号:陆陆高分冲刺 ~领取:最新版“小中高考-总复习”、最新试卷下载 ∴ , 解得 或 (舍去), ∴ ; (3)解:如图所示,过点A作AG∥BC交BF延长线于G, ∵AB=AC, ∴∠C=∠ABC, 又∵∠FBC=∠BAC, ∴∠BFC=∠C, ∴BC=BF, 设 ,则 , 由(2)可知 , ∴ , ∴ , ∵△AEF∽△BAF, ∴ , ∴ , ∴ , ∵AG∥BC, ∴△AFG∽△CFB,△AEG∽△DEB, ∴ , , ∴ , , ∴ , ∵AD=2BD,BD=DE, 43 试卷第页,共3页 资料整理【淘宝店铺:向阳百分百】 学科网(北京)股份有限公司关注公众号:陆陆高分冲刺 ~领取:最新版“小中高考-总复习”、最新试卷下载 ∴AE=DE=BD=AG, ∴ 即 , ∴ , ∴ , ∴ , ∵∠C=∠C,∠CBF=∠CAB, ∴△ABC∽△BFC, ∴ , ∴ , ∴ , ∴ 或 (舍去), ∴ . 【点睛】本题主要考查了勾股定理,等腰三角形的性质,相似三角形的性质与判定,熟知相似三角形的性 质与判定条件是解题的关键. 25.在△ABC中,P为边AB上一点. 44 试卷第页,共3页 资料整理【淘宝店铺:向阳百分百】 学科网(北京)股份有限公司关注公众号:陆陆高分冲刺 ~领取:最新版“小中高考-总复习”、最新试卷下载 (1)如图1,若∠ACP=∠B,求证: =AP•AB; (2)若M为CP的中点,AC=4. ①如图2,若∠PBM=∠ACP,AB=7,求BP的长; ②如图3,若∠ABC=45°,∠A=∠BMP=60°,求BP的长. 【答案】(1)见解析 (2)① ;② 【分析】(1)根据相似三角形的判定定理即可得到结论; (2)①取AP在中点G,连接MG,设AG=x,则PG=x,BG=7﹣x,根据三角形的中位线的性质得到MG AC,由平行线的性质得到∠BGM=∠A,根据相似三角形的性质得到即 ,即可得到结论; ②过C作CH⊥AB于H,延长AB到E,使BE=BP,解直角三角形得到 根据勾股定理 得出 ,相似三角形的性质得到 列方程即可得到结论. 【详解】(1)解:∵∠ACP=∠B,∠A=∠A, ∴△ACP∽△ABC, ∴ , ∴ ; (2)①如图2,取AP在中点G,连接MG,设AG=x,则PG=x, , 45 试卷第页,共3页 资料整理【淘宝店铺:向阳百分百】 学科网(北京)股份有限公司关注公众号:陆陆高分冲刺 ~领取:最新版“小中高考-总复习”、最新试卷下载 ∵M是PC的中点, ∴MG AC, ∴∠BGM=∠A, ∵∠ACP=∠PBM, ∴△APC∽△GMB, ∴ , 即 , ∴x= , ∵AB=7, ∴AP= , ∴PB= ; ②如图3,过C作CH⊥AB于H,延长AB到E,使BE=BP, 设BP=x. ∵∠ABC=45°,∠A=60°, ∴CH= , 46 试卷第页,共3页 资料整理【淘宝店铺:向阳百分百】 学科网(北京)股份有限公司关注公众号:陆陆高分冲刺 ~领取:最新版“小中高考-总复习”、最新试卷下载 ∵ , ∵PB=BE,PM=CM, ∴BM CE, ∴∠PMB=∠PCE=60°=∠A, ∵∠E=∠E, ∴△ECP∽△EAC, ∴ , ∴ , ∴ , ∴ , ∴ . 【点睛】本题考查了相似三角形的判定和性质,平行线的性质,三角形的中位线的性质,勾股定理,正确 作出辅助线是解题的关键. 26.定义:如图,若点P在三角形的一条边上,且满足 ,则称点P为这个三角形的“理想点”. (1)如图①,若点D是 的边AB的中点, , ,试判断点D是不是 的“理想点”, 并说明理由; (2)如图②,在 中, , , ,若点D是 的“理想点”,求CD的长. 【答案】(1) 为 的理想点,理由见解析 (2) 或 【分析】(1)由已知可得 ,从而 , ,可证点 是 的“理想点”; 47 试卷第页,共3页 资料整理【淘宝店铺:向阳百分百】 学科网(北京)股份有限公司关注公众号:陆陆高分冲刺 ~领取:最新版“小中高考-总复习”、最新试卷下载 (2)由 是 的“理想点”,分三种情况:当 在 上时, 是 边上的高,根据面积法可求 长度;当 在 上时, ,对应边成比例即可求 长度; 不可能在 上. (1) 解:点 是 的“理想点”,理由如下: 是 中点, , , , , , , , , , , 点 是 的“理想点”; (2) ① 在 上时,如图: 是 的“理想点”, 或 , 当 时, , , ,即 是 边上的高, 当 时,同理可证 ,即 是 边上的高, 在 中, , , , , 48 试卷第页,共3页 资料整理【淘宝店铺:向阳百分百】 学科网(北京)股份有限公司关注公众号:陆陆高分冲刺 ~领取:最新版“小中高考-总复习”、最新试卷下载 , , ② , , 有 , “理想点” 不可能在 边上, ③ 在 边上时,如图: 是 的“理想点”, , 又 , , ,即 , , 综上所述,点 是 的“理想点”, 的长为 或 . 【点睛】本题主要考查了相似三角形、勾股定理等知识,解题的关键是理解“理想点”的定义. 49 试卷第页,共3页 资料整理【淘宝店铺:向阳百分百】 学科网(北京)股份有限公司