当前位置:首页>文档>第19讲自然灾害与地理信息技术(原卷版)_2025年新高考资料_一轮复习_备战2025年高考地理一轮复习考点帮(新高考通用)(完结)

第19讲自然灾害与地理信息技术(原卷版)_2025年新高考资料_一轮复习_备战2025年高考地理一轮复习考点帮(新高考通用)(完结)

  • 2026-04-29 05:46:55 2026-04-29 05:19:07

文档预览

第19讲自然灾害与地理信息技术(原卷版)_2025年新高考资料_一轮复习_备战2025年高考地理一轮复习考点帮(新高考通用)(完结)
第19讲自然灾害与地理信息技术(原卷版)_2025年新高考资料_一轮复习_备战2025年高考地理一轮复习考点帮(新高考通用)(完结)
第19讲自然灾害与地理信息技术(原卷版)_2025年新高考资料_一轮复习_备战2025年高考地理一轮复习考点帮(新高考通用)(完结)
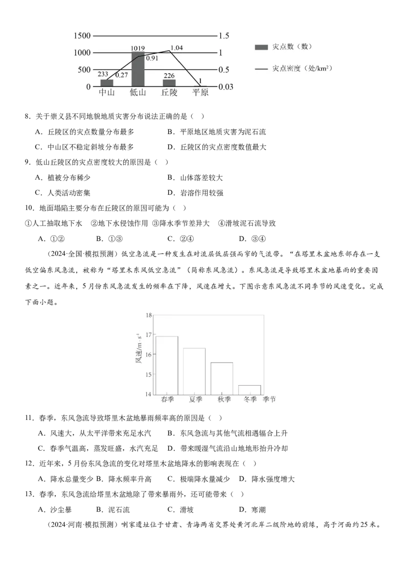
第19讲自然灾害与地理信息技术(原卷版)_2025年新高考资料_一轮复习_备战2025年高考地理一轮复习考点帮(新高考通用)(完结)
第19讲自然灾害与地理信息技术(原卷版)_2025年新高考资料_一轮复习_备战2025年高考地理一轮复习考点帮(新高考通用)(完结)
第19讲自然灾害与地理信息技术(原卷版)_2025年新高考资料_一轮复习_备战2025年高考地理一轮复习考点帮(新高考通用)(完结)
第19讲自然灾害与地理信息技术(原卷版)_2025年新高考资料_一轮复习_备战2025年高考地理一轮复习考点帮(新高考通用)(完结)
第19讲自然灾害与地理信息技术(原卷版)_2025年新高考资料_一轮复习_备战2025年高考地理一轮复习考点帮(新高考通用)(完结)
第19讲自然灾害与地理信息技术(原卷版)_2025年新高考资料_一轮复习_备战2025年高考地理一轮复习考点帮(新高考通用)(完结)
第19讲自然灾害与地理信息技术(原卷版)_2025年新高考资料_一轮复习_备战2025年高考地理一轮复习考点帮(新高考通用)(完结)

文档信息

文档格式
docx
文档大小
2.833 MB
文档页数
6 页
上传时间
2026-04-29 05:19:07

文档内容

第19讲 自然灾害与地理信息技术 第I卷(选择题) 一、单选题 (2024·浙江·高考真题)2023年2月6日,土耳其南部发生里氏7.8级地震。灾后救援随即展开,恢复和重 建工作积极推进。完成下面小题。 1.下图为灾区某城市震前2月4日、震后2月8日和9日获取的三幅夜间灯光强度图,正确反映时间先后顺序的 是( ) A.①③② B.①②③ C.②③① D.③②① 2.在灾后救援和恢复重建过程中,可运用( ) A.全球定位系统(GPS)动态获取灾区夜间灯光强度 B.地理信息系统(GIS)实时采集灾区气象要素信息 C.遥感(RS)模拟分析为灾区恢复重建提供辅助决策 D.北斗卫星导航系统(BDS)准确提供急需救援的位置 (2023·福建·高考真题)泥石流爆发后,部分物质冲出沟口,沟内残留物质会影响下一次泥石流的冲出量。 左图示意某条沟及沟口景观。该沟于2013年、2019年和2020年爆发了泥石流,沟口冲出量分别为11.50万m³、 11.91万m³和11.04万m³。引发这三次泥石流的降雨量依次下降。右图示意泥石流冲出沟口后的堆积体。据此完成 下面小题。 3.2013年与2019年沟内物质量相近,但2013年泥石流冲出量较少,主要原因是2013年泥石流爆发前 ( ) A.沟道弯曲度较小 B.降雨冲刷较强C.沟内的空间较大 D.土壤水分较少 4.右图中PQ线示意的堆积体剖面结构最可能是( ) A. B. C. D. (2023·湖南·高考真题)融雪洪水灾害由大量的积雪快速融化引起,可分为雨雪混合型(简称“混合型”) 洪 水灾害和升温融雪型(简称“升温型”)洪水灾害,融雪洪水中常夹杂着冰凌和融冰。下表示意1900—2020年北半 球融雪洪水灾害频次。据此完成下面小题。 3~5月 6~8月 9~11月 12~2月 总计 纬度 混合 升温 升温型 混合型 升温型 升温型 混合型 混合型 升温型 混合型 型 型 0°~30°N 0 0 0 0 0 0 0 1 0 1 30°~40°N 5 24 25 21 0 1 3 12 33 58 40°~50°N 132 151 10 12 1 5 27 49 170 217 50°~60°N 34 22 3 5 0 0 3 7 40 34 60°~70°N 16 1 0 6 1 0 0 1 17 8 5.下列地区中,融雪洪水灾害多发的是( ) A.尼罗河流域 B.中南半岛 C.北冰洋沿岸 D.亚洲中部 6.春季与秋季融雪洪水灾害频次差异大,主要是因为( ) ①春季地表积雪较多 ②气温变化趋势不同 ③秋季气温低于春季 ④ 秋季雨水少于春季 A.①② B.③④ C.①③ D.②④ 7.一般认为,混合型洪水比升温型洪水破坏力更强,其理由最可能是( ) A.混合型比升温型洪水频次高 B.雨水的流动性比积雪融水强 C.积雪面雨水会加速积雪消融 D.混合型洪水中有冰凌和融冰 (2024·湖北黄冈·模拟预测)地形地貌是崩滑流地质灾害活动的基础,很大程度上决定了崩滑流能否形成以 及形成的类型、数量(密度)和规模。江西崇义县可划分为中山、低山、丘陵和平原四个地貌类型。该县崩塌、滑坡 与不稳定斜坡主要发育于低山、丘陵等区域,泥石流主要分布于中山区,地面塌陷主要分布于丘陵区。图为崇义 县不同地貌地质灾害分布。据此完成下面小题。8.关于崇义县不同地貌地质灾害分布说法正确的是( ) A.丘陵区的灾点数量分布最多 B.平原地区地质灾害为泥石流 C.中山区不稳定斜坡分布最多 D.丘陵区的灾点密度数值最大 9.低山丘陵区的灾点密度较大的原因是( ) A.植被分布稀少 B.山体落差较大 C.人类活动密集 D.岩溶作用较强 10.地面塌陷主要分布在丘陵区的原因可能为( ) ①人工抽取地下水 ②地下水侵蚀作用 ③降水季节差异大 ④滑坡泥石流导致 A.①② B.①③ C.②④ D.③④ (2024·全国·模拟预测)低空急流是一种发生在对流层低层强而窄的气流带。“在塔里木盆地东部存在一支 低空偏东风急流,被称为“塔里木东风低空急流”(简称东风急流)。东风急流是导致塔里木盆地暴雨的重要因 素之一。近年来,5月份东风急流发生的频率在下降,风速在增大。下图示意东风急流不同季节的风速变化。完成 下面小题。 11.春季,东风急流导致塔里木盆地暴雨频率高的原因是( ) A.风速大,从太平洋带来充足水汽 B.东风急流与其他气流相遇辐合上升 C.春季气温高,蒸发旺盛,水汽充足 D.带来暖湿气流沿山地地形抬升冷却 12.近年来,5月份东风急流的变化对塔里木盆地降水的影响表现在( ) A.降水总量变少 B.降水频率升高 C.极端降水量减少 D.降水强度增大 13.春季,东风急流给塔里木盆地除了带来暴雨外,还可能带来( ) A.沙尘暴 B.泥石流 C.滑坡 D.寒潮 (2024·河南·模拟预测)喇家遗址位于甘肃、青海两省交界处黄河北岸二级阶地的前缘,高于河面约25米。喇家遗址中发现的遗骸都定格在了4000年前灾难发生的一刻。发掘时显示,最初出土的人骨和房屋多被红色淤泥 (即红粘土)包裹。据推测,喇家遗址与地震带来的砂涌现象有关。砂涌与对地表破坏力最强的地震波有关,是 地表遭受剧烈运动和破坏后的产物。下图示意喇家遗址及其附近的地理要素。完成下面小题。 14.甲、乙、丙、丁四地的黄河河岸,最陡的是( ) A.甲 B.乙 C.丙 D.丁 15.遗址地层结构自下而上最可能是( ) A.红色粘土层——房屋古地面——坍塌黄土层 B.坍塌黄土层——房屋古地面——红色粘土层 C.房屋古地面——坍塌黄土层——红色粘土层 D.房屋古地面——红色粘土层——坍塌黄土层 16.推测遗址毁灭的原因,合理的是( ) A.地震导致山体崩塌,崩塌物掩埋遗址 B.暴雨造成泥石流,泥石流冲刷掩埋遗址 C.地震造成地下的含水砂土液化,淤泥沿断裂带涌出地表掩埋遗址 D.暴雨造成黄河决口,黄河淤泥掩埋遗址 第II卷(非选择题) 二、综合题 17.(2023·重庆·高考真题)阅读下列材料,完成下列要求。 南欧巴尔干半岛的某喀斯特地区年降水量超过1700毫米,地下河发育。包括甲、乙两个溶蚀谷地,暴雨期 间,甲谷地排水不畅, 易发洪灾。拟建人工河缓解洪灾。 下图 是该喀斯特地区示意图。(1)指出甲谷地易发洪涝灾害的季节,并阐述理由。 (2)列举导致甲谷地排水不畅的地形特征。 (3)从人工河设计的位置和线路,说明其能有效缓解城镇洪灾的原因。 (4)分析落水洞发育对乙谷地地表岩溶作用的影响。 18.(2024·辽宁·模拟预测)阅读图文材料,完成下列要求。 智利位于安第斯山脉西麓,是一个灾害频发的国家,世界每年监测的地震超过20%发生在该国,但独特的自 然条件使智利水果种类丰富,且得益于天然的屏障,智利水果很少受到外来病虫害的侵袭。智利水果与中国市场 需求充分对接,目前中智已开通多条水果海运直航专线。下图为智利地理位置图。 (1)说出智利地震频次高的原因并列举地震在该国可能诱发的其他灾害。 (2)依据材料说明智利水果种植不易受外来病虫害影响的原因。(3)从市场角度分析开通中智水果海运直航专线对我国的有利影响。 19.(2024·云南昆明·三模)阅读图文材料,回答下列问题。 2023年12月18日23时59分,甘肃临夏州积石山县发生6.2级地震。青海海东民和县,与甘肃积石山县接 壤。受该地震影响,青海民和县金田村发生了局地土壤液化现象。浪头高达3米的浓稠泥浆翻滚着漫入村落,大 量房屋被淤泥包围、冲毁掩埋,多名群众失联。地理信息技术(“3S”技术)在此次救援中发挥了重要作用。据村 民描述灾害发生地处于斜坡坡底的沟头上,有地下水涌出,地表冰冻。土壤液化主要发生在分布深度较浅,饱和 的疏松细砂、粉土质砂或粘土,且其底部排水较差的地方。通常在外力反复震荡下,松散的土壤因受压缩,内部 空隙减小,导致空隙内水压升高,当水压升高超过土壤承受的外部压力,加之水分不能从地底排出,就会产生土 壤液化。下图为民和县位置示意图。 (1)据材料分析民和县土壤液化现象可能带来的危害。 (2)据材料分析民和县形成土壤液化现象的条件。 (3)简述当地政府部门为减小土壤液化造成的损失可采取的防范措施。 (4)结合所学知识,分析3S技术在此次救援中发挥的具体作用。