当前位置:首页>文档>2021年高考物理试卷(河北)(空白卷)_物理历年高考真题_新·PDF版2008-2025·高考物理真题_物理(按年份分类)2008-2025_2021·高考物理真题

2021年高考物理试卷(河北)(空白卷)_物理历年高考真题_新·PDF版2008-2025·高考物理真题_物理(按年份分类)2008-2025_2021·高考物理真题

  • 2026-03-18 05:40:02 2026-01-29 08:41:58

文档预览

2021年高考物理试卷(河北)(空白卷)_物理历年高考真题_新·PDF版2008-2025·高考物理真题_物理(按年份分类)2008-2025_2021·高考物理真题
2021年高考物理试卷(河北)(空白卷)_物理历年高考真题_新·PDF版2008-2025·高考物理真题_物理(按年份分类)2008-2025_2021·高考物理真题
2021年高考物理试卷(河北)(空白卷)_物理历年高考真题_新·PDF版2008-2025·高考物理真题_物理(按年份分类)2008-2025_2021·高考物理真题
2021年高考物理试卷(河北)(空白卷)_物理历年高考真题_新·PDF版2008-2025·高考物理真题_物理(按年份分类)2008-2025_2021·高考物理真题
2021年高考物理试卷(河北)(空白卷)_物理历年高考真题_新·PDF版2008-2025·高考物理真题_物理(按年份分类)2008-2025_2021·高考物理真题
2021年高考物理试卷(河北)(空白卷)_物理历年高考真题_新·PDF版2008-2025·高考物理真题_物理(按年份分类)2008-2025_2021·高考物理真题
2021年高考物理试卷(河北)(空白卷)_物理历年高考真题_新·PDF版2008-2025·高考物理真题_物理(按年份分类)2008-2025_2021·高考物理真题
2021年高考物理试卷(河北)(空白卷)_物理历年高考真题_新·PDF版2008-2025·高考物理真题_物理(按年份分类)2008-2025_2021·高考物理真题
2021年高考物理试卷(河北)(空白卷)_物理历年高考真题_新·PDF版2008-2025·高考物理真题_物理(按年份分类)2008-2025_2021·高考物理真题
2021年高考物理试卷(河北)(空白卷)_物理历年高考真题_新·PDF版2008-2025·高考物理真题_物理(按年份分类)2008-2025_2021·高考物理真题
2021年高考物理试卷(河北)(空白卷)_物理历年高考真题_新·PDF版2008-2025·高考物理真题_物理(按年份分类)2008-2025_2021·高考物理真题
2021年高考物理试卷(河北)(空白卷)_物理历年高考真题_新·PDF版2008-2025·高考物理真题_物理(按年份分类)2008-2025_2021·高考物理真题
2021年高考物理试卷(河北)(空白卷)_物理历年高考真题_新·PDF版2008-2025·高考物理真题_物理(按年份分类)2008-2025_2021·高考物理真题
2021年高考物理试卷(河北)(空白卷)_物理历年高考真题_新·PDF版2008-2025·高考物理真题_物理(按年份分类)2008-2025_2021·高考物理真题

文档信息

文档格式
pdf
文档大小
0.678 MB
文档页数
10 页
上传时间
2026-01-29 08:41:58

文档内容

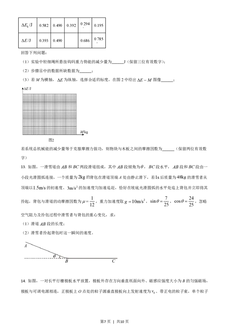
2021 年河北省普通高中学业水平选择性考试 物理 注意事项: 1.答卷前,考生务必将自己的姓名、考生号、考场号、座位号填写在答题卡上. 2.回答选择题时,选出每小题答案后,用铅笔把答题卡上对应题目的答案标号涂黑.如需改 动,用橡皮擦干净后,再选涂其他答案标号.回答非选择题时,将答案写在答题卡上,写在 本试卷上无效. 3.考试结束后,将本试卷和答题卡一并交回. 一、单项选择题:本题共 7小题,每小题 4分,共 28分.在每小题给出的四个选项中,只有 一项是符合题目要求的. 1. 银河系中存在大量的铝同位素26Al,26Al核b衰变的衰变方程为26Al®26 Mg+0e,测得26Al核的半 13 12 1 衰期为72万年,下列说法正确的是( ) A. 26Al核的质量等于26Mg核的质量 B. 26Al核的中子数大于26Mg核的中子数 C. 将铝同位素26Al放置在低温低压的环境中,其半衰期不变 D. 银河系中现有的铝同位素26Al将在144万年后全部衰变为26Mg 2. 铯原子钟是精确的计时仪器,图1中铯原子从O点以100m/s的初速度在真空中做平抛运动,到达竖直 平面MN 所用时间为t ;图2中铯原子在真空中从P点做竖直上抛运动,到达最高点Q再返回P点,整个 1 过程所用时间为t ,O点到竖直平面MN 、P点到Q点的距离均为0.2m,重力加速度取g =10m/s2,则t :t 2 1 2 为( ) A. 100∶1 B. 1∶100 C. 1∶200 D. 200∶1 h 3. 普朗克常量h=6.626´10-34J×s,光速为c,电子质量为m ,则 在国际单位制下的单位是( ) e m c e A. J/s B. m C. J×m D. m/s 4. “祝融号”火星车登陆火星之前,“天问一号”探测器沿椭圆形的停泊轨道绕火星飞行,其周期为2个 第1页 | 共10页火星日,假设某飞船沿圆轨道绕火星飞行,其周期也为2个火星日,已知一个火星日的时长约为一个地球 日,火星质量约为地球质量的0.1倍,则该飞船的轨道半径与地球同步卫星的轨道半径的比值约为( ) 1 5 2 A. 3 4 B. 3 C. 3 D. 3 4 2 5 5. 如图,距离为d的两平行金属板P、Q之间有一匀强磁场,磁感应强度大小为B ,一束速度大小为v的 1 等离子体垂直于磁场喷入板间,相距为L的两光滑平行金属导轨固定在与导轨平面垂直的匀强磁场中,磁 感应强度大小为B ,导轨平面与水平面夹角为q,两导轨分别与P、Q相连,质量为m、电阻为R的金属 2 棒ab垂直导轨放置,恰好静止,重力加速度为g,不计导轨电阻、板间电阻和等离子体中的粒子重力,下 列说法正确的是( ) mgRsinq A. 导轨处磁场的方向垂直导轨平面向上,v = BB Ld 1 2 mgRsinq B. 导轨处磁场的方向垂直导轨平面向下,v = BB Ld 1 2 mgRtanq C. 导轨处磁场的方向垂直导轨平面向上,v = BB Ld 1 2 mgRtanq D. 导轨处磁场的方向垂直导轨平面向下,v = BB Ld 1 2 6. 一半径为R的圆柱体水平固定,横截面如图所示,长度为pR、不可伸长的轻细绳,一端固定在圆柱体 最高点P处,另一端系一个小球,小球位于P点右侧同一水平高度的Q点时,绳刚好拉直,将小球从Q点 由静止释放,当与圆柱体未接触部分的细绳竖直时,小球的速度大小为(重力加速度为g,不计空气阻力) ( ) 第2页 | 共10页A. (2+p)gR B. 2pgR C. 2(1+p)gR D. 2 gR 7. 如图,两光滑导轨水平放置在竖直向下的匀强磁场中,磁感应强度大小为B,导轨间距最窄处为一狭缝, 取狭缝所在处O点为坐标原点,狭缝右侧两导轨与x轴夹角均为q,一电容为C的电容器与导轨左端相连, 导轨上的金属棒与x轴垂直,在外力F作用下从O点开始以速度v向右匀速运动,忽略所有电阻,下列说 法正确的是( ) A. 通过金属棒的电流为2BCv2tanq B. 金属棒到达x 时,电容器极板上的电荷量为BCvx tanq 0 0 C. 金属棒运动过程中,电容器的上极板带负电 D. 金属棒运动过程中,外力F做功的功率恒定 二、多项选择题:本题共 3小题,每小题 6分,共 18分.在每小题给出的四个选项中,有两 个或两个以上选项符合题目要求.全部选对的得 6分,选对但不全的得 3分,有选错的得 0 分. 8. 如图,发电机的矩形线圈长为2L、宽为L,匝数为N,放置在磁感应强度大小为B的匀强磁场中,理想 变压器的原、副线圈匝数分别为n 、n 和n ,两个副线圈分别接有电阻R和R ,当发电机线圈以角速度w 0 1 2 1 2 匀速转动时,理想电流表读数为I,不计线圈电阻,下列说法正确的是( ) 第3页 | 共10页n I n IR A. 通过电阻R 的电流为 1 B. 电阻R 两端的电压为 2 1 2 n 2 n 2 1 2NBL2w 2NBL2wI(n +n ) C. n 与n 的比值为 D. 发电机的功率为 1 2 0 1 IR n 1 0 9. 如图,矩形金属框MNQP竖直放置,其中MN 、PQ足够长,且PQ杆光滑,一根轻弹簧一端固定在M 点,另一端连接一个质量为m的小球,小球穿过PQ杆,金属框绕MN 轴分别以角速度w和w¢匀速转动 时,小球均相对PQ杆静止,若w¢>w,则与以w匀速转动时相比,以w¢匀速转动时( ) A. 小球的高度一定降低 B. 弹簧弹力的大小一定不变 C. 小球对杆压力的大小一定变大 D. 小球所受合外力的大小一定变大 10. 如图,四个电荷量均为qq >0 的点电荷分别放置于菱形的四个顶点,其坐标分别为 4l,0 、 -4l,0 、 0,y  和 0,-y  ,其中x轴上的两个点电荷位置固定,y轴上的两个点电荷可沿y轴对称移动 0 0 (y ¹0),下列说法正确的是( ) 0 第4页 | 共10页A. 除无穷远处之外,菱形外部电场强度处处不为零 B. 当y 取某值时,可使得菱形内部只存在两个电场强度为零的点 0 C. 当 y =8l 时,将一带负电的试探电荷由点 4l,5l 移至点 0,-3l ,静电力做正功 0 D. 当 y =4l时,将一带负电的试探电荷放置在点 l,l 处,其所受到的静电力方向与x轴正方向成45°倾 0 斜向上 三、非选题:共 54分.第 11~14题为必考题,每个试题考生都必须作答.第 15~16题为选 考题,考生根据要求作答. (一)必考题:共 62分. 11. 某同学研究小灯泡的伏安特性,实验室提供的器材有;小灯泡(6.3V,0.15A),直流电源(9V), 滑动变阻器,量程合适的电压表和电流表,开关和导线若干,设计的电路如图1所示。 (1)根据图1,完成图2中的实物连线______; (2)按照图1连线后,闭合开关,小灯泡闪亮一下后熄灭,观察发现灯丝被烧断,原因可能是______(单 项选择,填正确答案标号); A.电流表短路 B.滑动变阻器的滑片接触不良 第5页 | 共10页C.滑动变阻器滑片的初始位置在b端 (3)更换小灯泡后,该同学正确完成了实验操作,将实验数据描点作图,得到I -U 图像,其中一部分如 图3所示,根据图像计算出P点对应状态下小灯泡的电阻为______Ω(保留三位有效数字)。 12. 某同学利用图1中的实验装置探究机械能变化量与力做功的关系,所用器材有:一端带滑轮的长木板、 轻细绳、50g的钩码若干、光电门2个、数字计时器、带遮光条的滑块(质量为200g,其上可放钩码)、 刻度尺,当地重力加速度为9.80m/s2,实验操作步骤如下: ①安装器材,调整两个光电门距离为50.00cm,轻细绳下端悬挂4个钩码,如图1所示; ②接通电源,释放滑块,分别记录遮光条通过两个光电门的时间,并计算出滑块通过两个光电门的速度; ③保持最下端悬挂4个钩码不变,在滑块上依次增加一个钩码,记录滑块上所载钩码的质量,重复上述步 骤; ④完成5次测量后,计算出每次实验中滑块及所载钩码的总质量M、系统(包含滑块、滑块所载钩码和轻 细绳悬挂钩码)总动能的增加量DE 及系统总机械能的减少量DE,结果如下表所示: k M /kg 0.200 0.250 0.300 0.350 0.400 第6页 | 共10页DE /J 0.582 0.490 0.392 0 . 294 0.195 k 0785 DE/J 0.393 0.490 0.686 . 回答下列问题: (1)实验中轻细绳所悬挂钩码重力势能的减少量为______J(保留三位有效数字); (2)步骤④中的数据所缺数据为______; (3)若M为横轴,DE为纵轴,选择合适的标度,在图2中绘出DE-M 图像______; 若系统总机械能的减少量等于克服摩擦力做功,则物块与木板之间的摩擦因数为______(保留两位有效数 字) 13. 如图,一滑雪道由AB和BC两段滑道组成,其中AB段倾角为q,BC段水平,AB段和BC段由一 小段光滑圆弧连接,一个质量为2kg的背包在滑道顶端A处由静止滑下,若1s后质量为48kg的滑雪者从 顶端以1.5m/s的初速度、3m/s2的加速度匀加速追赶,恰好在坡底光滑圆弧的水平处追上背包并立即将其 1 7 24 拎起,背包与滑道的动摩擦因数为m= ,重力加速度取g =10m/s2,sinq= ,cosq= ,忽略 12 25 25 空气阻力及拎包过程中滑雪者与背包的重心变化,求: (1)滑道AB段的长度; (2)滑雪者拎起背包时这一瞬间的速度。 14. 如图,一对长平行栅极板水平放置,极板外存在方向垂直纸面向外、磁感应强度大小为B的匀强磁场, 极板与可调电源相连,正极板上O点处的粒子源垂直极板向上发射速度为v 、带正电的粒子束,单个粒子 0 第7页 | 共10页的质量为m、电荷量为q,一足够长的挡板OM 与正极板成37°倾斜放置,用于吸收打在其上的粒子,C、P 是负极板上的两点,C点位于O点的正上方,P点处放置一粒子靶(忽略靶的大小),用于接收从上方打入 3 的粒子,CP长度为L ,忽略栅极的电场边缘效应、粒子间的相互作用及粒子所受重力。sin37°= 。 0 5 (1)若粒子经电场一次加速后正好打在P点处的粒子靶上,求可调电源电压U 的大小; 0 (2)调整电压的大小,使粒子不能打在挡板OM 上,求电压的最小值U ; min (3)若粒子靶在负极板上的位置P点左右可调,则负极板上存在H、S两点(CH £CP