当前位置:首页>文档>2008年高考地理试卷(全国卷Ⅰ)(空白卷)_地理历年高考真题_新·Word版2008-2025·高考地理真题_地理(按省份分类)2008-2025_2008-2024·(河南)地理高考真题

2008年高考地理试卷(全国卷Ⅰ)(空白卷)_地理历年高考真题_新·Word版2008-2025·高考地理真题_地理(按省份分类)2008-2025_2008-2024·(河南)地理高考真题

  • 2026-04-08 15:40:22 2026-01-23 14:56:05

文档预览

2008年高考地理试卷(全国卷Ⅰ)(空白卷)_地理历年高考真题_新·Word版2008-2025·高考地理真题_地理(按省份分类)2008-2025_2008-2024·(河南)地理高考真题
2008年高考地理试卷(全国卷Ⅰ)(空白卷)_地理历年高考真题_新·Word版2008-2025·高考地理真题_地理(按省份分类)2008-2025_2008-2024·(河南)地理高考真题
2008年高考地理试卷(全国卷Ⅰ)(空白卷)_地理历年高考真题_新·Word版2008-2025·高考地理真题_地理(按省份分类)2008-2025_2008-2024·(河南)地理高考真题
2008年高考地理试卷(全国卷Ⅰ)(空白卷)_地理历年高考真题_新·Word版2008-2025·高考地理真题_地理(按省份分类)2008-2025_2008-2024·(河南)地理高考真题
2008年高考地理试卷(全国卷Ⅰ)(空白卷)_地理历年高考真题_新·Word版2008-2025·高考地理真题_地理(按省份分类)2008-2025_2008-2024·(河南)地理高考真题
2008年高考地理试卷(全国卷Ⅰ)(空白卷)_地理历年高考真题_新·Word版2008-2025·高考地理真题_地理(按省份分类)2008-2025_2008-2024·(河南)地理高考真题
2008年高考地理试卷(全国卷Ⅰ)(空白卷)_地理历年高考真题_新·Word版2008-2025·高考地理真题_地理(按省份分类)2008-2025_2008-2024·(河南)地理高考真题
2008年高考地理试卷(全国卷Ⅰ)(空白卷)_地理历年高考真题_新·Word版2008-2025·高考地理真题_地理(按省份分类)2008-2025_2008-2024·(河南)地理高考真题
2008年高考地理试卷(全国卷Ⅰ)(空白卷)_地理历年高考真题_新·Word版2008-2025·高考地理真题_地理(按省份分类)2008-2025_2008-2024·(河南)地理高考真题

文档信息

文档格式
doc
文档大小
1.085 MB
文档页数
5 页
上传时间
2026-01-23 14:56:05

文档内容

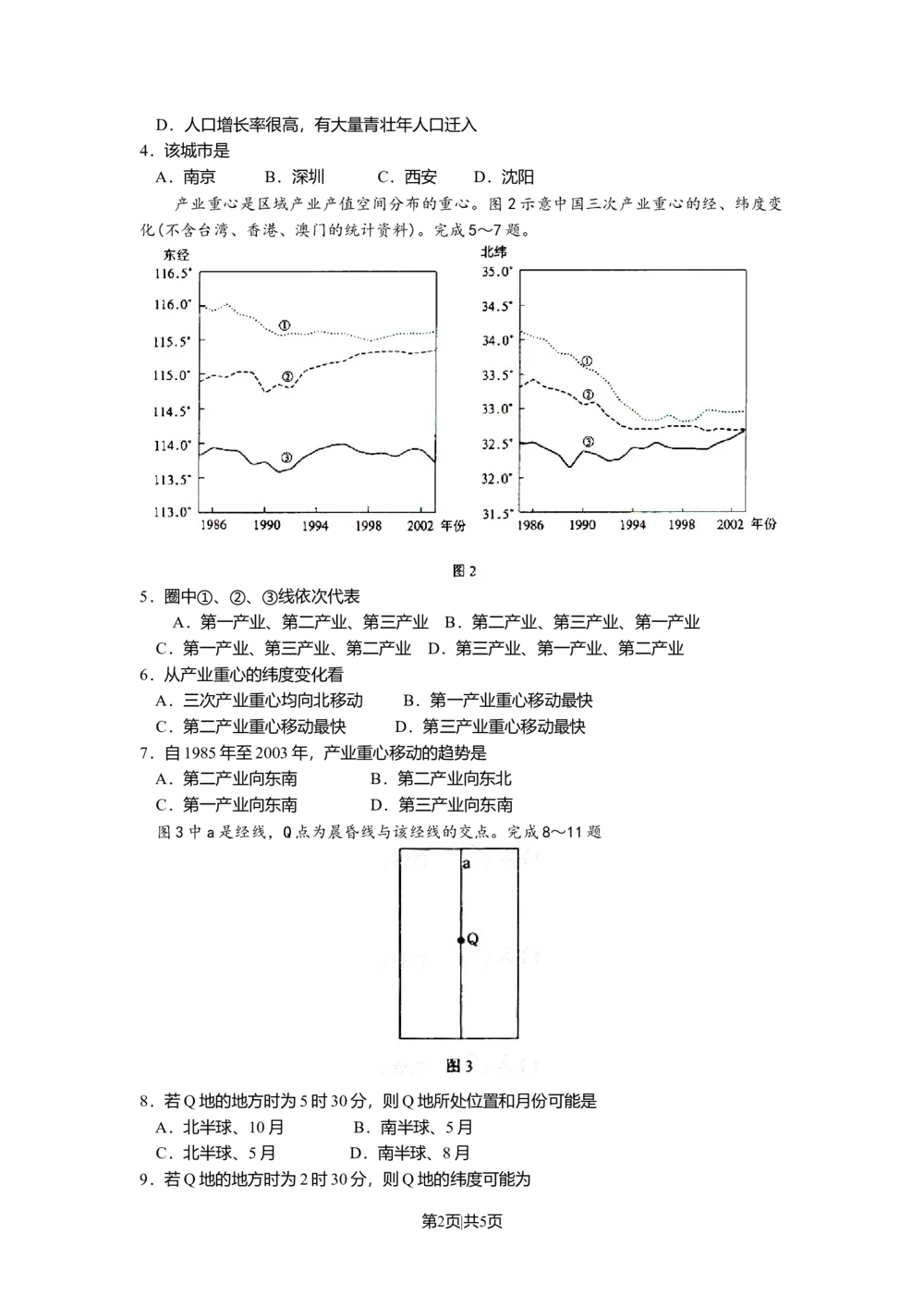
2008年普通高等学校招生全国统一考试(全国卷Ⅰ) 文科综合(地理部分) 本试卷分第Ⅰ卷(选择题)和第Ⅱ卷两部分。第Ⅰ卷l至7页,第Ⅱ卷8至12页,共300分。 考生注意: 1.答题前,考生务必将自己的准考证号、姓名填写在答题卡上。考生要认真核对答题卡 上粘贴的条形码的“准考证号、姓名、考试科目”与考生本人准考证号、姓名是否一 致。 2.第Ⅰ卷每小题选出答案后,用2B铅笔把答题卡上对应题目的答案标号涂黑,如需改动, 用橡皮擦干净后,再选涂其他答案标号。第Ⅱ卷用黑色墨水签字笔在答题卡上书写 作答。在试题卷上作答,答案无效。 3.考试结束,监考员将试题卷、答题卡一并收回。 第Ⅰ卷(选择题) 本卷共35小题,每小题4分,共140分。在每小题给出的四个选项中,只有一项符合 题目要求。 张某承包了O.5公顷耕地.种植结构变化如图1。当地1月平均气温3℃。完成1~2题。 1.张某承包的耕地可能位于 A.珠江三角洲 B.太湖平原 C.华北平原 D.松嫩平原 2.导致种植结构变化的主要因素是 A.市场需求 B.生产经验 C.自然条件 D.国家政策 下表为我国某城市人口资料。读下表完成3~4题。 1982年 1990年 2000年 总人口(万人) 35 167 701 0~14岁(%) 35.27 14.63 8.5 15~64岁(%) 58.36 83.15 90.39 65岁及以上(%) 6.37 2.22 1.11 3.该城市自1982年至2000年 A.人口自然增长率很高,人口增长迅速 B.人口出生率增高,人口老龄化问题得到缓解 C.人口出生率大幅度降低,人口死亡率大幅度增高 第1页|共5页D.人口增长率很高,有大量青壮年人口迁入 4.该城市是 A.南京 B.深圳 C.西安 D.沈阳 产业重心是区域产业产值空间分布的重心。图2示意中国三次产业重心的经、纬度变 化(不含台湾、香港、澳门的统计资料)。完成5~7题。 5.圈中①、②、③线依次代表 A.第一产业、第二产业、第三产业 B.第二产业、第三产业、第一产业 C.第一产业、第三产业、第二产业 D.第三产业、第一产业、第二产业 6.从产业重心的纬度变化看 A.三次产业重心均向北移动 B.第一产业重心移动最快 C.第二产业重心移动最快 D.第三产业重心移动最快 7.自1985年至2003年,产业重心移动的趋势是 A.第二产业向东南 B.第二产业向东北 C.第一产业向东南 D.第三产业向东南 图3中a是经线,Q点为晨昏线与该经线的交点。完成8~11题 8.若Q地的地方时为5时30分,则Q地所处位置和月份可能是 A.北半球、10月 B.南半球、5月 C.北半球、5月 D.南半球、8月 9.若Q地的地方时为2时30分,则Q地的纬度可能为 第2页|共5页A.30°~40° B.45°~55° C.5°~l 5° D.60°~70° 10.当Q地位于北半球低纬时,可能的月份及时刻是 A.12月、17时 30分 B.9月、17时 C.6月、4时30分 D.4月、5时 11.一年之内每天同一时刻(6时、18时除外),Q点在该经线上 A.密集分布于南北回归线之间 B.均匀分布于整条经线 C.密集分布于南北极圈之间 D.集中分布于南北两个区间 12.中国古代地名中的“阴”、“阳”往往体现了该地与相邻山、水的关系。以下都表示“阴” 的方位是 A.山之南、水之北 B.山之南、水之南 C.山之北、水之北 D.山之北、水之南 第Ⅱ卷(非选择题) 36.(36分)读图6,完成下列要求。 图6 ⑴判断G河自N点至M点流经地区的地形类型,并说明判断的理由。(9分) ⑵说明G 河水量丰富的原因。(11分) ⑶指出G河没有形成明显三角洲的原因,并加以分析。(16分) 39.(60分)根据材料和图7,结合所学知识,回答下列问题 一位西方把学家说,土尔扈特人回归的悲壮之举,“是值得我们传诵的一篇伟太的叙事 史诗”。 土尔扈特回归祖国大事年表 第3页|共5页——摘嫡自马汝珩、马大正《漂落异域的民族》等 第4页|共5页⑴土尔扈特汗国和伊犁河各地都属于温带大陆性气候,但水草丰美,适合游牧业的发 展。分别说明两地水资源丰富的原因。(12分) ⑶土尔扈特在回归造中历经艰辛,其中来自自然的威胁主要有哪些?(8分) 第5页|共5页