当前位置:首页>文档>2008年高考地理试卷(全国卷Ⅰ)(解析卷)_地理历年高考真题_新·Word版2008-2025·高考地理真题_地理(按省份分类)2008-2025_2008-2025·(河北)地理高考真题

2008年高考地理试卷(全国卷Ⅰ)(解析卷)_地理历年高考真题_新·Word版2008-2025·高考地理真题_地理(按省份分类)2008-2025_2008-2025·(河北)地理高考真题

  • 2026-03-07 19:40:07 2026-01-23 15:00:14

文档预览

2008年高考地理试卷(全国卷Ⅰ)(解析卷)_地理历年高考真题_新·Word版2008-2025·高考地理真题_地理(按省份分类)2008-2025_2008-2025·(河北)地理高考真题
2008年高考地理试卷(全国卷Ⅰ)(解析卷)_地理历年高考真题_新·Word版2008-2025·高考地理真题_地理(按省份分类)2008-2025_2008-2025·(河北)地理高考真题
2008年高考地理试卷(全国卷Ⅰ)(解析卷)_地理历年高考真题_新·Word版2008-2025·高考地理真题_地理(按省份分类)2008-2025_2008-2025·(河北)地理高考真题
2008年高考地理试卷(全国卷Ⅰ)(解析卷)_地理历年高考真题_新·Word版2008-2025·高考地理真题_地理(按省份分类)2008-2025_2008-2025·(河北)地理高考真题
2008年高考地理试卷(全国卷Ⅰ)(解析卷)_地理历年高考真题_新·Word版2008-2025·高考地理真题_地理(按省份分类)2008-2025_2008-2025·(河北)地理高考真题
2008年高考地理试卷(全国卷Ⅰ)(解析卷)_地理历年高考真题_新·Word版2008-2025·高考地理真题_地理(按省份分类)2008-2025_2008-2025·(河北)地理高考真题
2008年高考地理试卷(全国卷Ⅰ)(解析卷)_地理历年高考真题_新·Word版2008-2025·高考地理真题_地理(按省份分类)2008-2025_2008-2025·(河北)地理高考真题
2008年高考地理试卷(全国卷Ⅰ)(解析卷)_地理历年高考真题_新·Word版2008-2025·高考地理真题_地理(按省份分类)2008-2025_2008-2025·(河北)地理高考真题

文档信息

文档格式
doc
文档大小
1.095 MB
文档页数
8 页
上传时间
2026-01-23 15:00:14

文档内容

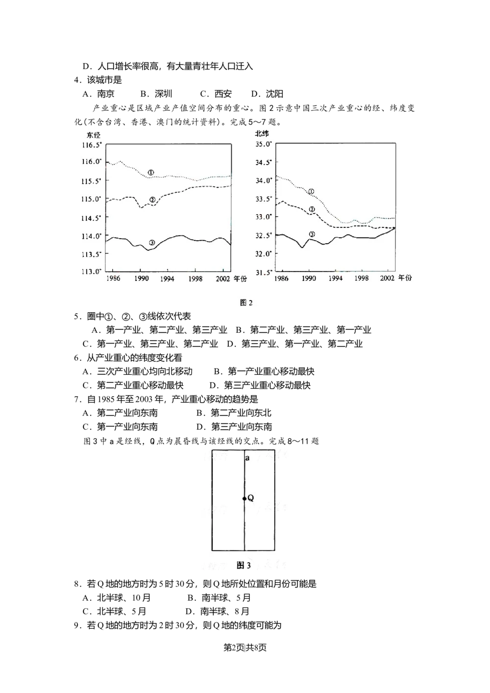
2008年普通高等学校招生全国统一考试(全国卷Ⅰ) 文科综合(地理部分) 本试卷分第Ⅰ卷(选择题)和第Ⅱ卷两部分。第Ⅰ卷l至7页,第Ⅱ卷8至12页,共300分。 考生注意: 1.答题前,考生务必将自己的准考证号、姓名填写在答题卡上。考生要认真核对答题卡 上粘贴的条形码的“准考证号、姓名、考试科目”与考生本人准考证号、姓名是否一 致。 2.第Ⅰ卷每小题选出答案后,用2B铅笔把答题卡上对应题目的答案标号涂黑,如需改动, 用橡皮擦干净后,再选涂其他答案标号。第Ⅱ卷用黑色墨水签字笔在答题卡上书写 作答。在试题卷上作答,答案无效。 3.考试结束,监考员将试题卷、答题卡一并收回。 第Ⅰ卷(选择题) 本卷共35小题,每小题4分,共140分。在每小题给出的四个选项中,只有一项符合 题目要求。 张某承包了O.5公顷耕地.种植结构变化如图1。当地1月平均气温3℃。完成1~2题。 1.张某承包的耕地可能位于 A.珠江三角洲 B.太湖平原 C.华北平原 D.松嫩平原 2.导致种植结构变化的主要因素是 A.市场需求 B.生产经验 C.自然条件 D.国家政策 下表为我国某城市人口资料。读下表完成3~4题。 1982年 1990年 2000年 总人口(万人) 35 167 701 0~14岁(%) 35.27 14.63 8.5 15~64岁(%) 58.36 83.15 90.39 65岁及以上(%) 6.37 2.22 1.11 3.该城市自1982年至2000年 A.人口自然增长率很高,人口增长迅速 B.人口出生率增高,人口老龄化问题得到缓解 C.人口出生率大幅度降低,人口死亡率大幅度增高 第1页|共8页D.人口增长率很高,有大量青壮年人口迁入 4.该城市是 A.南京 B.深圳 C.西安 D.沈阳 产业重心是区域产业产值空间分布的重心。图2示意中国三次产业重心的经、纬度变 化(不含台湾、香港、澳门的统计资料)。完成5~7题。 5.圈中①、②、③线依次代表 A.第一产业、第二产业、第三产业 B.第二产业、第三产业、第一产业 C.第一产业、第三产业、第二产业 D.第三产业、第一产业、第二产业 6.从产业重心的纬度变化看 A.三次产业重心均向北移动 B.第一产业重心移动最快 C.第二产业重心移动最快 D.第三产业重心移动最快 7.自1985年至2003年,产业重心移动的趋势是 A.第二产业向东南 B.第二产业向东北 C.第一产业向东南 D.第三产业向东南 图3中a是经线,Q点为晨昏线与该经线的交点。完成8~11题 8.若Q地的地方时为5时30分,则Q地所处位置和月份可能是 A.北半球、10月 B.南半球、5月 C.北半球、5月 D.南半球、8月 9.若Q地的地方时为2时30分,则Q地的纬度可能为 第2页|共8页A.30°~40° B.45°~55° C.5°~l 5° D.60°~70° 10.当Q地位于北半球低纬时,可能的月份及时刻是 A.12月、17时 30分 B.9月、17时 C.6月、4时30分 D.4月、5时 11.一年之内每天同一时刻(6时、18时除外),Q点在该经线上 A.密集分布于南北回归线之间 B.均匀分布于整条经线 C.密集分布于南北极圈之间 D.集中分布于南北两个区间 12.中国古代地名中的“阴”、“阳”往往体现了该地与相邻山、水的关系。以下都表示“阴” 的方位是 A.山之南、水之北 B.山之南、水之南 C.山之北、水之北 D.山之北、水之南 第Ⅱ卷(非选择题) 36.(36分)读图6,完成下列要求。 图6 ⑴判断G河自N点至M点流经地区的地形类型,并说明判断的理由。(9分) ⑵说明G 河水量丰富的原因。(11分) ⑶指出G河没有形成明显三角洲的原因,并加以分析。(16分) 39.(60分)根据材料和图7,结合所学知识,回答下列问题 一位西方把学家说,土尔扈特人回归的悲壮之举,“是值得我们传诵的一篇伟太的叙事 史诗”。 土尔扈特回归祖国大事年表 第3页|共8页——摘嫡自马汝珩、马大正《漂落异域的民族》等 第4页|共8页⑴土尔扈特汗国和伊犁河各地都属于温带大陆性气候,但水草丰美,适合游牧业的发 展。分别说明两地水资源丰富的原因。(12分) ⑶土尔扈特在回归造中历经艰辛,其中来自自然的威胁主要有哪些?(8分) 第5页|共8页2008年普通高等学校招生全国统一考试 文科综合参考答案 第Ⅰ卷 本卷共35小题,每小题4分,共140分。在每题给出的四个选项中,只有一项是符合题目 要求的。 本组题考查我国农作物分布和影响农业生产的区位因素. 1.【答案】B 【解析】根据材料信息,当地1月平均气温为3℃,为我国亚热带地区,图例中还有“油菜” 等明显的提示信息,故答案选B 2.【答案】A 【解析】在区位因素中,最终决定农业生产类型和规模的因素是市场。 本组题考查人口增长问题,人口增长包括自然增长和机械增长(即人口迁入)两方面。 3.【答案】D 【解析】资料中数据仅仅是总人口的变动和各年龄段人口比例的变动,从中无法得到出 生率、死亡率和自然增长率的有用信息,而且1982年总人口为35万,2000年达到了701 万,人口的自然增长在很短的时间和很少的基数条件下是不可能实现以上变化的。故该地 区人口的机械增长很显著。 4. 【答案】B 【解析】根据第三题的答案,深圳是四个选项中最有利于吸引人口迁入的城市。 本组题考查我国三大产业的分布和读图能力。左图表示我国三次产业空间上东西的分 布和变化,右图表示空间上南北的分布和变化。 5. 【答案】B 【解析】从产业重心的位置分析:我国东部地区人口集中经济发达,但第二、第三产业产 值高,优势明显,产业重心位置比第一产业偏东;越往南,水热条件越好,所以 第一产业的重心相对偏南;第三产业比第二产业重心偏南。 从线的变化趋势分析:由于第一产业的迁移变动不明显,所以曲线产业重心变化最小;随 着西部开发,第二产业重心会向西、向南偏移;东部地区第三产业比例越来越大,优势更 明显,故产业重心会向东、向南偏移;故③可断定为第一产业,①为第二产业,②为第三 产业。 6. 【答案】C 【解析】根据第五题的结论,观察曲线变化趋势即可。 7. 【答案】D 【解析】根据第五题的结论,观察曲线变化趋势即可。 8. 【答案】C 【解析】若Q点的地方时为5时30分,则可确定Q点是晨线和经线的交点,而且此时 该地昼长夜短,符合条件的应该是C。 9.【答案】D 【解析】若Q地为2时30分日出,则该地昼长达19小时,故只有D符合。 第6页|共8页10.【答案】A 【解析】若Q地位于北半球低纬,夏半年昼长夜短,冬半年昼短夜长,故B答案不符; 若4时30分日出,则昼长为为15小时,而低纬度地区任何时间都不会有这种情况故排除 C;3月21日昼夜等长,4月昼长不会一下增加到14个小时,所以答案只能是A。 11. 【答案】D 【解析】用作辅助图的方法。题干要求每天同一时刻,就可以 以图中时刻为准,认定 b 经线始终在图中左侧,则a经线的位置就可能在经线c—d—c之间,而要除过6时、18时, 则a经线就不能出现在c经线的位置,一年中晨昏线从1到2和从2到1的变化就会导致交 点集中分布在南北两个区间。 12. 【答案】D 【解析】考查考生的人文素养,属于基本的文史知识。中国古代地名和该地相邻山水 关系密切,山之南成为阳,山之北称为阴,与此相反,水之南称为阴,水之北称为阳。如 洛阳就位于洛水北岸。 第Ⅱ卷(非选择题 共50分) 二、非选择题:本大题共4小题,共50分。 36. 【解析】本题以区域为背景,考查学生读图能力,分析判断能力。 第(1)问考查学生对五种基本地形的理解,以及从图中提取有用信息和语言表述能力。 该地为刚果盆地,故为盆地地形,可以从等高线分布、河流水系特征等方面判读。 第(2)问根据经纬度确定赤道低压带的影响;支流多,汇水量大的水系特征也是重要 原因。 第(3)问,河口三角洲时泥沙沉积的产物,故思考时应该从河流含沙量、沿途沉积状 况和河口沉积状况入手思考。河流流经热带雨林地区,含沙量小;沿途流经地势较低的盆 地,沉积较多;入海口处地形起伏,河流落差大,流速快,泥沙不易沉积。 【答案】(1)盆地 从(向心状)水系或河流分布状况判断,该地形区北、东、南三面高; 再从(500米)等高线判断,该地形区为盆地。 (2)领域位于赤道地区,终年(受赤道低气压带控制,盛行上升气流,)降水丰富;流域 大部分为盆地,支流多,集水面积广。 (3)①入海口附近,泥沙不易沉积,因为地形高差大,河流落差大,流速大。②入海泥沙 量较少,因为G河在M点以上多流于盆地中,流速较小,易于泥沙沉积;且从纬度位置和 地形看,流域内热带雨林广布(植被覆盖率高),水土流失较轻。 39.【解析】 地理部分: 第7页|共8页本题以区域为背景,考查气候等主干知识。 第(1)问从降水的水汽来源、河流补给来源分析。土尔扈特汗国受西风影响大,水汽 丰富,河流众多;伊犁河谷虽然水汽来源少,但地形雨和高山冰雪融水多。 第(3)问,深居内陆和纬度高时造成威胁的主要原因。 【答案】 (1)土尔扈特汗国:河流较多(有伏尔加河、乌拉尔何等),距离大西洋较近,西风 带来的水汽较多。伊犁河谷地:西风带来的水汽较少,但因地形抬升,降水量增加,同时 有高山冰雪融水。 (3)冻害(气候寒冷);缺水(干旱);缺草(料)。 第8页|共8页
基本 文件 流程 错误 SQL 调试
  1. 请求信息 : 2026-03-10 12:57:09 HTTP/1.1 GET : https://www.yeyulingfeng.com/wendang/8747.html
  2. 运行时间 : 0.783648s [ 吞吐率:1.28req/s ] 内存消耗:5,266.86kb 文件加载:144
  3. 缓存信息 : 0 reads,0 writes
  4. 会话信息 : SESSION_ID=1a7bc031b4ca1a58b6d3761706010ba8
  1. /yingpanguazai/ssd/ssd1/www/wwww.yeyulingfeng.com/public/index.php ( 0.79 KB )
  2. /yingpanguazai/ssd/ssd1/www/wwww.yeyulingfeng.com/vendor/autoload.php ( 0.17 KB )
  3. /yingpanguazai/ssd/ssd1/www/wwww.yeyulingfeng.com/vendor/composer/autoload_real.php ( 2.49 KB )
  4. /yingpanguazai/ssd/ssd1/www/wwww.yeyulingfeng.com/vendor/composer/platform_check.php ( 0.90 KB )
  5. /yingpanguazai/ssd/ssd1/www/wwww.yeyulingfeng.com/vendor/composer/ClassLoader.php ( 14.03 KB )
  6. /yingpanguazai/ssd/ssd1/www/wwww.yeyulingfeng.com/vendor/composer/autoload_static.php ( 6.05 KB )
  7. /yingpanguazai/ssd/ssd1/www/wwww.yeyulingfeng.com/vendor/topthink/think-helper/src/helper.php ( 8.34 KB )
  8. /yingpanguazai/ssd/ssd1/www/wwww.yeyulingfeng.com/vendor/topthink/think-validate/src/helper.php ( 2.19 KB )
  9. /yingpanguazai/ssd/ssd1/www/wwww.yeyulingfeng.com/vendor/ralouphie/getallheaders/src/getallheaders.php ( 1.60 KB )
  10. /yingpanguazai/ssd/ssd1/www/wwww.yeyulingfeng.com/vendor/topthink/think-orm/src/helper.php ( 1.47 KB )
  11. /yingpanguazai/ssd/ssd1/www/wwww.yeyulingfeng.com/vendor/topthink/think-orm/stubs/load_stubs.php ( 0.16 KB )
  12. /yingpanguazai/ssd/ssd1/www/wwww.yeyulingfeng.com/vendor/topthink/framework/src/think/Exception.php ( 1.69 KB )
  13. /yingpanguazai/ssd/ssd1/www/wwww.yeyulingfeng.com/vendor/topthink/think-container/src/Facade.php ( 2.71 KB )
  14. /yingpanguazai/ssd/ssd1/www/wwww.yeyulingfeng.com/vendor/symfony/deprecation-contracts/function.php ( 0.99 KB )
  15. /yingpanguazai/ssd/ssd1/www/wwww.yeyulingfeng.com/vendor/symfony/polyfill-mbstring/bootstrap.php ( 8.26 KB )
  16. /yingpanguazai/ssd/ssd1/www/wwww.yeyulingfeng.com/vendor/symfony/polyfill-mbstring/bootstrap80.php ( 9.78 KB )
  17. /yingpanguazai/ssd/ssd1/www/wwww.yeyulingfeng.com/vendor/symfony/var-dumper/Resources/functions/dump.php ( 1.49 KB )
  18. /yingpanguazai/ssd/ssd1/www/wwww.yeyulingfeng.com/vendor/topthink/think-dumper/src/helper.php ( 0.18 KB )
  19. /yingpanguazai/ssd/ssd1/www/wwww.yeyulingfeng.com/vendor/symfony/var-dumper/VarDumper.php ( 4.30 KB )
  20. /yingpanguazai/ssd/ssd1/www/wwww.yeyulingfeng.com/vendor/guzzlehttp/guzzle/src/functions_include.php ( 0.16 KB )
  21. /yingpanguazai/ssd/ssd1/www/wwww.yeyulingfeng.com/vendor/guzzlehttp/guzzle/src/functions.php ( 5.54 KB )
  22. /yingpanguazai/ssd/ssd1/www/wwww.yeyulingfeng.com/vendor/topthink/framework/src/think/App.php ( 15.30 KB )
  23. /yingpanguazai/ssd/ssd1/www/wwww.yeyulingfeng.com/vendor/topthink/think-container/src/Container.php ( 15.76 KB )
  24. /yingpanguazai/ssd/ssd1/www/wwww.yeyulingfeng.com/vendor/psr/container/src/ContainerInterface.php ( 1.02 KB )
  25. /yingpanguazai/ssd/ssd1/www/wwww.yeyulingfeng.com/app/provider.php ( 0.19 KB )
  26. /yingpanguazai/ssd/ssd1/www/wwww.yeyulingfeng.com/vendor/topthink/framework/src/think/Http.php ( 6.04 KB )
  27. /yingpanguazai/ssd/ssd1/www/wwww.yeyulingfeng.com/vendor/topthink/think-helper/src/helper/Str.php ( 7.29 KB )
  28. /yingpanguazai/ssd/ssd1/www/wwww.yeyulingfeng.com/vendor/topthink/framework/src/think/Env.php ( 4.68 KB )
  29. /yingpanguazai/ssd/ssd1/www/wwww.yeyulingfeng.com/app/common.php ( 0.03 KB )
  30. /yingpanguazai/ssd/ssd1/www/wwww.yeyulingfeng.com/vendor/topthink/framework/src/helper.php ( 18.78 KB )
  31. /yingpanguazai/ssd/ssd1/www/wwww.yeyulingfeng.com/vendor/topthink/framework/src/think/Config.php ( 5.54 KB )
  32. /yingpanguazai/ssd/ssd1/www/wwww.yeyulingfeng.com/config/alipay.php ( 3.59 KB )
  33. /yingpanguazai/ssd/ssd1/www/wwww.yeyulingfeng.com/vendor/topthink/framework/src/think/facade/Env.php ( 1.67 KB )
  34. /yingpanguazai/ssd/ssd1/www/wwww.yeyulingfeng.com/config/app.php ( 0.95 KB )
  35. /yingpanguazai/ssd/ssd1/www/wwww.yeyulingfeng.com/config/cache.php ( 0.78 KB )
  36. /yingpanguazai/ssd/ssd1/www/wwww.yeyulingfeng.com/config/console.php ( 0.23 KB )
  37. /yingpanguazai/ssd/ssd1/www/wwww.yeyulingfeng.com/config/cookie.php ( 0.56 KB )
  38. /yingpanguazai/ssd/ssd1/www/wwww.yeyulingfeng.com/config/database.php ( 2.48 KB )
  39. /yingpanguazai/ssd/ssd1/www/wwww.yeyulingfeng.com/config/filesystem.php ( 0.61 KB )
  40. /yingpanguazai/ssd/ssd1/www/wwww.yeyulingfeng.com/config/lang.php ( 0.91 KB )
  41. /yingpanguazai/ssd/ssd1/www/wwww.yeyulingfeng.com/config/log.php ( 1.35 KB )
  42. /yingpanguazai/ssd/ssd1/www/wwww.yeyulingfeng.com/config/middleware.php ( 0.19 KB )
  43. /yingpanguazai/ssd/ssd1/www/wwww.yeyulingfeng.com/config/route.php ( 1.89 KB )
  44. /yingpanguazai/ssd/ssd1/www/wwww.yeyulingfeng.com/config/session.php ( 0.57 KB )
  45. /yingpanguazai/ssd/ssd1/www/wwww.yeyulingfeng.com/config/trace.php ( 0.34 KB )
  46. /yingpanguazai/ssd/ssd1/www/wwww.yeyulingfeng.com/config/view.php ( 0.82 KB )
  47. /yingpanguazai/ssd/ssd1/www/wwww.yeyulingfeng.com/app/event.php ( 0.25 KB )
  48. /yingpanguazai/ssd/ssd1/www/wwww.yeyulingfeng.com/vendor/topthink/framework/src/think/Event.php ( 7.67 KB )
  49. /yingpanguazai/ssd/ssd1/www/wwww.yeyulingfeng.com/app/service.php ( 0.13 KB )
  50. /yingpanguazai/ssd/ssd1/www/wwww.yeyulingfeng.com/app/AppService.php ( 0.26 KB )
  51. /yingpanguazai/ssd/ssd1/www/wwww.yeyulingfeng.com/vendor/topthink/framework/src/think/Service.php ( 1.64 KB )
  52. /yingpanguazai/ssd/ssd1/www/wwww.yeyulingfeng.com/vendor/topthink/framework/src/think/Lang.php ( 7.35 KB )
  53. /yingpanguazai/ssd/ssd1/www/wwww.yeyulingfeng.com/vendor/topthink/framework/src/lang/zh-cn.php ( 13.70 KB )
  54. /yingpanguazai/ssd/ssd1/www/wwww.yeyulingfeng.com/vendor/topthink/framework/src/think/initializer/Error.php ( 3.31 KB )
  55. /yingpanguazai/ssd/ssd1/www/wwww.yeyulingfeng.com/vendor/topthink/framework/src/think/initializer/RegisterService.php ( 1.33 KB )
  56. /yingpanguazai/ssd/ssd1/www/wwww.yeyulingfeng.com/vendor/services.php ( 0.14 KB )
  57. /yingpanguazai/ssd/ssd1/www/wwww.yeyulingfeng.com/vendor/topthink/framework/src/think/service/PaginatorService.php ( 1.52 KB )
  58. /yingpanguazai/ssd/ssd1/www/wwww.yeyulingfeng.com/vendor/topthink/framework/src/think/service/ValidateService.php ( 0.99 KB )
  59. /yingpanguazai/ssd/ssd1/www/wwww.yeyulingfeng.com/vendor/topthink/framework/src/think/service/ModelService.php ( 2.04 KB )
  60. /yingpanguazai/ssd/ssd1/www/wwww.yeyulingfeng.com/vendor/topthink/think-trace/src/Service.php ( 0.77 KB )
  61. /yingpanguazai/ssd/ssd1/www/wwww.yeyulingfeng.com/vendor/topthink/framework/src/think/Middleware.php ( 6.72 KB )
  62. /yingpanguazai/ssd/ssd1/www/wwww.yeyulingfeng.com/vendor/topthink/framework/src/think/initializer/BootService.php ( 0.77 KB )
  63. /yingpanguazai/ssd/ssd1/www/wwww.yeyulingfeng.com/vendor/topthink/think-orm/src/Paginator.php ( 11.86 KB )
  64. /yingpanguazai/ssd/ssd1/www/wwww.yeyulingfeng.com/vendor/topthink/think-validate/src/Validate.php ( 63.20 KB )
  65. /yingpanguazai/ssd/ssd1/www/wwww.yeyulingfeng.com/vendor/topthink/think-orm/src/Model.php ( 23.55 KB )
  66. /yingpanguazai/ssd/ssd1/www/wwww.yeyulingfeng.com/vendor/topthink/think-orm/src/model/concern/Attribute.php ( 21.05 KB )
  67. /yingpanguazai/ssd/ssd1/www/wwww.yeyulingfeng.com/vendor/topthink/think-orm/src/model/concern/AutoWriteData.php ( 4.21 KB )
  68. /yingpanguazai/ssd/ssd1/www/wwww.yeyulingfeng.com/vendor/topthink/think-orm/src/model/concern/Conversion.php ( 6.44 KB )
  69. /yingpanguazai/ssd/ssd1/www/wwww.yeyulingfeng.com/vendor/topthink/think-orm/src/model/concern/DbConnect.php ( 5.16 KB )
  70. /yingpanguazai/ssd/ssd1/www/wwww.yeyulingfeng.com/vendor/topthink/think-orm/src/model/concern/ModelEvent.php ( 2.33 KB )
  71. /yingpanguazai/ssd/ssd1/www/wwww.yeyulingfeng.com/vendor/topthink/think-orm/src/model/concern/RelationShip.php ( 28.29 KB )
  72. /yingpanguazai/ssd/ssd1/www/wwww.yeyulingfeng.com/vendor/topthink/think-helper/src/contract/Arrayable.php ( 0.09 KB )
  73. /yingpanguazai/ssd/ssd1/www/wwww.yeyulingfeng.com/vendor/topthink/think-helper/src/contract/Jsonable.php ( 0.13 KB )
  74. /yingpanguazai/ssd/ssd1/www/wwww.yeyulingfeng.com/vendor/topthink/think-orm/src/model/contract/Modelable.php ( 0.09 KB )
  75. /yingpanguazai/ssd/ssd1/www/wwww.yeyulingfeng.com/vendor/topthink/framework/src/think/Db.php ( 2.88 KB )
  76. /yingpanguazai/ssd/ssd1/www/wwww.yeyulingfeng.com/vendor/topthink/think-orm/src/DbManager.php ( 8.52 KB )
  77. /yingpanguazai/ssd/ssd1/www/wwww.yeyulingfeng.com/vendor/topthink/framework/src/think/Log.php ( 6.28 KB )
  78. /yingpanguazai/ssd/ssd1/www/wwww.yeyulingfeng.com/vendor/topthink/framework/src/think/Manager.php ( 3.92 KB )
  79. /yingpanguazai/ssd/ssd1/www/wwww.yeyulingfeng.com/vendor/psr/log/src/LoggerTrait.php ( 2.69 KB )
  80. /yingpanguazai/ssd/ssd1/www/wwww.yeyulingfeng.com/vendor/psr/log/src/LoggerInterface.php ( 2.71 KB )
  81. /yingpanguazai/ssd/ssd1/www/wwww.yeyulingfeng.com/vendor/topthink/framework/src/think/Cache.php ( 4.92 KB )
  82. /yingpanguazai/ssd/ssd1/www/wwww.yeyulingfeng.com/vendor/psr/simple-cache/src/CacheInterface.php ( 4.71 KB )
  83. /yingpanguazai/ssd/ssd1/www/wwww.yeyulingfeng.com/vendor/topthink/think-helper/src/helper/Arr.php ( 16.63 KB )
  84. /yingpanguazai/ssd/ssd1/www/wwww.yeyulingfeng.com/vendor/topthink/framework/src/think/cache/driver/File.php ( 7.84 KB )
  85. /yingpanguazai/ssd/ssd1/www/wwww.yeyulingfeng.com/vendor/topthink/framework/src/think/cache/Driver.php ( 9.03 KB )
  86. /yingpanguazai/ssd/ssd1/www/wwww.yeyulingfeng.com/vendor/topthink/framework/src/think/contract/CacheHandlerInterface.php ( 1.99 KB )
  87. /yingpanguazai/ssd/ssd1/www/wwww.yeyulingfeng.com/app/Request.php ( 0.09 KB )
  88. /yingpanguazai/ssd/ssd1/www/wwww.yeyulingfeng.com/vendor/topthink/framework/src/think/Request.php ( 55.78 KB )
  89. /yingpanguazai/ssd/ssd1/www/wwww.yeyulingfeng.com/app/middleware.php ( 0.25 KB )
  90. /yingpanguazai/ssd/ssd1/www/wwww.yeyulingfeng.com/vendor/topthink/framework/src/think/Pipeline.php ( 2.61 KB )
  91. /yingpanguazai/ssd/ssd1/www/wwww.yeyulingfeng.com/vendor/topthink/think-trace/src/TraceDebug.php ( 3.40 KB )
  92. /yingpanguazai/ssd/ssd1/www/wwww.yeyulingfeng.com/vendor/topthink/framework/src/think/middleware/SessionInit.php ( 1.94 KB )
  93. /yingpanguazai/ssd/ssd1/www/wwww.yeyulingfeng.com/vendor/topthink/framework/src/think/Session.php ( 1.80 KB )
  94. /yingpanguazai/ssd/ssd1/www/wwww.yeyulingfeng.com/vendor/topthink/framework/src/think/session/driver/File.php ( 6.27 KB )
  95. /yingpanguazai/ssd/ssd1/www/wwww.yeyulingfeng.com/vendor/topthink/framework/src/think/contract/SessionHandlerInterface.php ( 0.87 KB )
  96. /yingpanguazai/ssd/ssd1/www/wwww.yeyulingfeng.com/vendor/topthink/framework/src/think/session/Store.php ( 7.12 KB )
  97. /yingpanguazai/ssd/ssd1/www/wwww.yeyulingfeng.com/vendor/topthink/framework/src/think/Route.php ( 23.73 KB )
  98. /yingpanguazai/ssd/ssd1/www/wwww.yeyulingfeng.com/vendor/topthink/framework/src/think/route/RuleName.php ( 5.75 KB )
  99. /yingpanguazai/ssd/ssd1/www/wwww.yeyulingfeng.com/vendor/topthink/framework/src/think/route/Domain.php ( 2.53 KB )
  100. /yingpanguazai/ssd/ssd1/www/wwww.yeyulingfeng.com/vendor/topthink/framework/src/think/route/RuleGroup.php ( 22.43 KB )
  101. /yingpanguazai/ssd/ssd1/www/wwww.yeyulingfeng.com/vendor/topthink/framework/src/think/route/Rule.php ( 26.95 KB )
  102. /yingpanguazai/ssd/ssd1/www/wwww.yeyulingfeng.com/vendor/topthink/framework/src/think/route/RuleItem.php ( 9.78 KB )
  103. /yingpanguazai/ssd/ssd1/www/wwww.yeyulingfeng.com/route/app.php ( 3.82 KB )
  104. /yingpanguazai/ssd/ssd1/www/wwww.yeyulingfeng.com/vendor/topthink/framework/src/think/facade/Route.php ( 4.70 KB )
  105. /yingpanguazai/ssd/ssd1/www/wwww.yeyulingfeng.com/vendor/topthink/framework/src/think/route/dispatch/Controller.php ( 4.74 KB )
  106. /yingpanguazai/ssd/ssd1/www/wwww.yeyulingfeng.com/vendor/topthink/framework/src/think/route/Dispatch.php ( 10.44 KB )
  107. /yingpanguazai/ssd/ssd1/www/wwww.yeyulingfeng.com/app/controller/Index.php ( 9.68 KB )
  108. /yingpanguazai/ssd/ssd1/www/wwww.yeyulingfeng.com/app/BaseController.php ( 2.05 KB )
  109. /yingpanguazai/ssd/ssd1/www/wwww.yeyulingfeng.com/vendor/topthink/think-orm/src/facade/Db.php ( 0.93 KB )
  110. /yingpanguazai/ssd/ssd1/www/wwww.yeyulingfeng.com/vendor/topthink/think-orm/src/db/connector/Mysql.php ( 5.44 KB )
  111. /yingpanguazai/ssd/ssd1/www/wwww.yeyulingfeng.com/vendor/topthink/think-orm/src/db/PDOConnection.php ( 52.47 KB )
  112. /yingpanguazai/ssd/ssd1/www/wwww.yeyulingfeng.com/vendor/topthink/think-orm/src/db/Connection.php ( 8.39 KB )
  113. /yingpanguazai/ssd/ssd1/www/wwww.yeyulingfeng.com/vendor/topthink/think-orm/src/db/ConnectionInterface.php ( 4.57 KB )
  114. /yingpanguazai/ssd/ssd1/www/wwww.yeyulingfeng.com/vendor/topthink/think-orm/src/db/builder/Mysql.php ( 16.58 KB )
  115. /yingpanguazai/ssd/ssd1/www/wwww.yeyulingfeng.com/vendor/topthink/think-orm/src/db/Builder.php ( 24.06 KB )
  116. /yingpanguazai/ssd/ssd1/www/wwww.yeyulingfeng.com/vendor/topthink/think-orm/src/db/BaseBuilder.php ( 27.50 KB )
  117. /yingpanguazai/ssd/ssd1/www/wwww.yeyulingfeng.com/vendor/topthink/think-orm/src/db/Query.php ( 15.71 KB )
  118. /yingpanguazai/ssd/ssd1/www/wwww.yeyulingfeng.com/vendor/topthink/think-orm/src/db/BaseQuery.php ( 45.13 KB )
  119. /yingpanguazai/ssd/ssd1/www/wwww.yeyulingfeng.com/vendor/topthink/think-orm/src/db/concern/TimeFieldQuery.php ( 7.43 KB )
  120. /yingpanguazai/ssd/ssd1/www/wwww.yeyulingfeng.com/vendor/topthink/think-orm/src/db/concern/AggregateQuery.php ( 3.26 KB )
  121. /yingpanguazai/ssd/ssd1/www/wwww.yeyulingfeng.com/vendor/topthink/think-orm/src/db/concern/ModelRelationQuery.php ( 20.07 KB )
  122. /yingpanguazai/ssd/ssd1/www/wwww.yeyulingfeng.com/vendor/topthink/think-orm/src/db/concern/ParamsBind.php ( 3.66 KB )
  123. /yingpanguazai/ssd/ssd1/www/wwww.yeyulingfeng.com/vendor/topthink/think-orm/src/db/concern/ResultOperation.php ( 7.01 KB )
  124. /yingpanguazai/ssd/ssd1/www/wwww.yeyulingfeng.com/vendor/topthink/think-orm/src/db/concern/WhereQuery.php ( 19.37 KB )
  125. /yingpanguazai/ssd/ssd1/www/wwww.yeyulingfeng.com/vendor/topthink/think-orm/src/db/concern/JoinAndViewQuery.php ( 7.11 KB )
  126. /yingpanguazai/ssd/ssd1/www/wwww.yeyulingfeng.com/vendor/topthink/think-orm/src/db/concern/TableFieldInfo.php ( 2.63 KB )
  127. /yingpanguazai/ssd/ssd1/www/wwww.yeyulingfeng.com/vendor/topthink/think-orm/src/db/concern/Transaction.php ( 2.77 KB )
  128. /yingpanguazai/ssd/ssd1/www/wwww.yeyulingfeng.com/vendor/topthink/framework/src/think/log/driver/File.php ( 5.96 KB )
  129. /yingpanguazai/ssd/ssd1/www/wwww.yeyulingfeng.com/vendor/topthink/framework/src/think/contract/LogHandlerInterface.php ( 0.86 KB )
  130. /yingpanguazai/ssd/ssd1/www/wwww.yeyulingfeng.com/vendor/topthink/framework/src/think/log/Channel.php ( 3.89 KB )
  131. /yingpanguazai/ssd/ssd1/www/wwww.yeyulingfeng.com/vendor/topthink/framework/src/think/event/LogRecord.php ( 1.02 KB )
  132. /yingpanguazai/ssd/ssd1/www/wwww.yeyulingfeng.com/vendor/topthink/think-helper/src/Collection.php ( 16.47 KB )
  133. /yingpanguazai/ssd/ssd1/www/wwww.yeyulingfeng.com/vendor/topthink/framework/src/think/facade/View.php ( 1.70 KB )
  134. /yingpanguazai/ssd/ssd1/www/wwww.yeyulingfeng.com/vendor/topthink/framework/src/think/View.php ( 4.39 KB )
  135. /yingpanguazai/ssd/ssd1/www/wwww.yeyulingfeng.com/vendor/topthink/framework/src/think/Response.php ( 8.81 KB )
  136. /yingpanguazai/ssd/ssd1/www/wwww.yeyulingfeng.com/vendor/topthink/framework/src/think/response/View.php ( 3.29 KB )
  137. /yingpanguazai/ssd/ssd1/www/wwww.yeyulingfeng.com/vendor/topthink/framework/src/think/Cookie.php ( 6.06 KB )
  138. /yingpanguazai/ssd/ssd1/www/wwww.yeyulingfeng.com/vendor/topthink/think-view/src/Think.php ( 8.38 KB )
  139. /yingpanguazai/ssd/ssd1/www/wwww.yeyulingfeng.com/vendor/topthink/framework/src/think/contract/TemplateHandlerInterface.php ( 1.60 KB )
  140. /yingpanguazai/ssd/ssd1/www/wwww.yeyulingfeng.com/vendor/topthink/think-template/src/Template.php ( 46.61 KB )
  141. /yingpanguazai/ssd/ssd1/www/wwww.yeyulingfeng.com/vendor/topthink/think-template/src/template/driver/File.php ( 2.41 KB )
  142. /yingpanguazai/ssd/ssd1/www/wwww.yeyulingfeng.com/vendor/topthink/think-template/src/template/contract/DriverInterface.php ( 0.86 KB )
  143. /yingpanguazai/ssd/ssd1/www/wwww.yeyulingfeng.com/runtime/temp/10a0c909b6afa23b5a52a2e2d58c3c0f.php ( 21.72 KB )
  144. /yingpanguazai/ssd/ssd1/www/wwww.yeyulingfeng.com/vendor/topthink/think-trace/src/Html.php ( 4.42 KB )
  1. CONNECT:[ UseTime:0.000623s ] mysql:host=127.0.0.1;port=3306;dbname=wenku;charset=utf8mb4
  2. SHOW FULL COLUMNS FROM `fenlei` [ RunTime:0.000784s ]
  3. SELECT * FROM `fenlei` WHERE `fid` = 0 [ RunTime:0.100628s ]
  4. SELECT * FROM `fenlei` WHERE `fid` = 63 [ RunTime:0.100677s ]
  5. SHOW FULL COLUMNS FROM `set` [ RunTime:0.000878s ]
  6. SELECT * FROM `set` [ RunTime:0.100564s ]
  7. SHOW FULL COLUMNS FROM `wendang` [ RunTime:0.000908s ]
  8. SELECT * FROM `wendang` WHERE `id` = 8747 LIMIT 1 [ RunTime:0.023530s ]
  9. UPDATE `wendang` SET `liulancishu` = 7 WHERE `id` = 8747 [ RunTime:0.041163s ]
  10. UPDATE `wendang` SET `lasttime` = 1773118629 WHERE `id` = 8747 [ RunTime:0.001864s ]
  11. SELECT * FROM `wendang` WHERE `id` < 8747 ORDER BY `id` DESC LIMIT 1 [ RunTime:0.012090s ]
  12. SELECT * FROM `wendang` WHERE `id` > 8747 ORDER BY `id` ASC LIMIT 1 [ RunTime:0.000508s ]
  13. SELECT * FROM `wendang` WHERE `id` <> 8747 ORDER BY `id` DESC LIMIT 10 [ RunTime:0.101153s ]
  14. SELECT * FROM `wendang` WHERE `id` <> 8747 ORDER BY `id` DESC LIMIT 10,10 [ RunTime:0.101353s ]
  15. SELECT * FROM `wendang` WHERE `id` <> 8747 ORDER BY `id` DESC LIMIT 20,10 [ RunTime:0.101420s ]
0.785374s