当前位置:首页>文档>2025年高考物理试卷(甘肃卷)(解析卷)_物理历年高考真题_新·Word版2008-2025·高考物理真题_物理(按年份分类)2008-2025_2025·高考物理真题

2025年高考物理试卷(甘肃卷)(解析卷)_物理历年高考真题_新·Word版2008-2025·高考物理真题_物理(按年份分类)2008-2025_2025·高考物理真题

  • 2026-03-07 08:20:32 2026-01-31 06:09:56

文档预览

2025年高考物理试卷(甘肃卷)(解析卷)_物理历年高考真题_新·Word版2008-2025·高考物理真题_物理(按年份分类)2008-2025_2025·高考物理真题
2025年高考物理试卷(甘肃卷)(解析卷)_物理历年高考真题_新·Word版2008-2025·高考物理真题_物理(按年份分类)2008-2025_2025·高考物理真题
2025年高考物理试卷(甘肃卷)(解析卷)_物理历年高考真题_新·Word版2008-2025·高考物理真题_物理(按年份分类)2008-2025_2025·高考物理真题
2025年高考物理试卷(甘肃卷)(解析卷)_物理历年高考真题_新·Word版2008-2025·高考物理真题_物理(按年份分类)2008-2025_2025·高考物理真题
2025年高考物理试卷(甘肃卷)(解析卷)_物理历年高考真题_新·Word版2008-2025·高考物理真题_物理(按年份分类)2008-2025_2025·高考物理真题
2025年高考物理试卷(甘肃卷)(解析卷)_物理历年高考真题_新·Word版2008-2025·高考物理真题_物理(按年份分类)2008-2025_2025·高考物理真题
2025年高考物理试卷(甘肃卷)(解析卷)_物理历年高考真题_新·Word版2008-2025·高考物理真题_物理(按年份分类)2008-2025_2025·高考物理真题
2025年高考物理试卷(甘肃卷)(解析卷)_物理历年高考真题_新·Word版2008-2025·高考物理真题_物理(按年份分类)2008-2025_2025·高考物理真题
2025年高考物理试卷(甘肃卷)(解析卷)_物理历年高考真题_新·Word版2008-2025·高考物理真题_物理(按年份分类)2008-2025_2025·高考物理真题
2025年高考物理试卷(甘肃卷)(解析卷)_物理历年高考真题_新·Word版2008-2025·高考物理真题_物理(按年份分类)2008-2025_2025·高考物理真题
2025年高考物理试卷(甘肃卷)(解析卷)_物理历年高考真题_新·Word版2008-2025·高考物理真题_物理(按年份分类)2008-2025_2025·高考物理真题
2025年高考物理试卷(甘肃卷)(解析卷)_物理历年高考真题_新·Word版2008-2025·高考物理真题_物理(按年份分类)2008-2025_2025·高考物理真题
2025年高考物理试卷(甘肃卷)(解析卷)_物理历年高考真题_新·Word版2008-2025·高考物理真题_物理(按年份分类)2008-2025_2025·高考物理真题
2025年高考物理试卷(甘肃卷)(解析卷)_物理历年高考真题_新·Word版2008-2025·高考物理真题_物理(按年份分类)2008-2025_2025·高考物理真题
2025年高考物理试卷(甘肃卷)(解析卷)_物理历年高考真题_新·Word版2008-2025·高考物理真题_物理(按年份分类)2008-2025_2025·高考物理真题
2025年高考物理试卷(甘肃卷)(解析卷)_物理历年高考真题_新·Word版2008-2025·高考物理真题_物理(按年份分类)2008-2025_2025·高考物理真题
2025年高考物理试卷(甘肃卷)(解析卷)_物理历年高考真题_新·Word版2008-2025·高考物理真题_物理(按年份分类)2008-2025_2025·高考物理真题
2025年高考物理试卷(甘肃卷)(解析卷)_物理历年高考真题_新·Word版2008-2025·高考物理真题_物理(按年份分类)2008-2025_2025·高考物理真题

文档信息

文档格式
docx
文档大小
4.235 MB
文档页数
18 页
上传时间
2026-01-31 06:09:56

文档内容

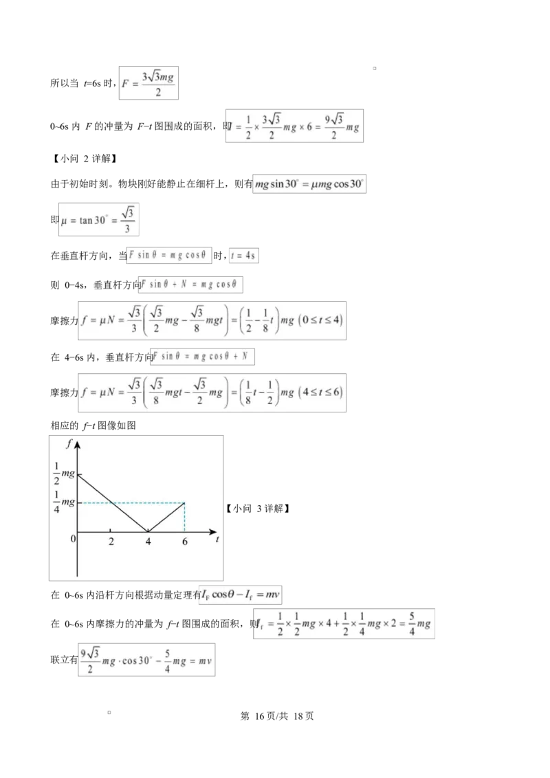
2025 年甘肃高考物理部分试题 1. 利用电子与离子的碰撞可以研究离子的能级结构和辐射特性。 离子相对基态的能级图(设基态能量 为 0)如图所示。用电子碰撞 离子使其从基态激发到可能的激发态,若所用电子的能量为 ,则 离子辐射的光谱中,波长最长的谱线对应的跃迁为( ) A. 能级 B. 能级 C. 能级 D. 能级 【答案】C 【解析】 【详解】根据题意可知,用能量为 的电子碰撞 离子,可使 离子跃迁到 能级和 能 级,由 可知,波长最长的谱线对应的跃迁为 能级。 故选 C。 2. 如图,一小星球与某恒星中心距离为 R 时,小星球的速度大小为 v、方向与两者中心连线垂直。恒星的 质量为 M,引力常量为 G。下列说法正确的是( ) A. 若 ,小星球做匀速圆周运动 第 1页/共 18页B. 若 ,小星球做抛物线运动 C. 若 ,小星球做椭圆运动 D. 若 ,小星球可能与恒星相撞 【答案】A 【解析】 【详解】A.根据题意,由万有引力提供向心力有 解得 可知,若 ,小星球做匀速圆周运动,故 A 正确; B.结合 A 分析可知,若 ,万有引力不足以提供小星球做匀速圆周运动所需要的向心 力,小星球做离心运动,但又不能脱离恒星的引力范围,所以小星球做椭圆运动,而不是抛物线运动,故 B 错误; C.若 ,这是小星球脱离恒星引力束缚的临界速度,小星球将做抛物线运动,而不是椭圆运动, 故 C 错误; D.若 ,小星球将脱离恒星引力束缚,做双曲线运动,不可能与恒星相撞,故 D 错误。 故选 A。 3. 2025 年 4 月 24 日,在甘肃酒泉卫星发射中心成功发射了搭载神舟二十号载人飞船的长征二号 F 遥二十运 载火箭。若在初始的 内燃料对火箭的平均推力约为 。火箭质量约为 500 吨且认为在 内基本不 变,则火箭在初始 内的加速度大小约为( )(重力加速度 g 取 ) A. B. C. D. 【答案】A 第 2页/共 18页【解析】 【详解】根据题意,由牛顿第二定律有 代入数据解得 故选 A。 4. 如图,小球 A 从距离地面 处自由下落, 末恰好被小球 B 从左侧水平击中,小球 A 落地时的水平 位移为 。两球质量相同,碰撞为完全弹性碰撞,重力加速度 g 取 ,则碰撞前小球 B 的速度大小 v 为( ) A. B. C. D. 【答案】B 【解析】 【详解】根据题意可知,小球 A 和 B 碰撞过程中,水平方向上动量守恒,竖直方向上 A 球的竖直速度不变, 设碰撞后 A 球水平速度为 ,B 球水平速度为 ,则有 碰撞为完全弹性碰撞,则由能量守恒定律有 联立解得 , 小球 A 在竖直方向上做匀加速直线运动,则有 解得 可知,碰撞后,小球 A 运动 落地,则水平方向上有 解得 故选 B。 第 3页/共 18页5. 如图,两极板不平行的电容器与直流电源相连,极板间形成非匀强电场,实线为电场线,虚线表示等势 面。M、N 点在同一等势面上,N、P 点在同一电场线上。下列说法正确的是( ) A. M 点的电势比 P 点的低 B. M 点的电场强度比 N 点的小 C. 负电荷从 M 点运动到 P 点,速度增大 D. 负电荷从 M 点运动到 P 点,电场力做负功 【答案】D 【解析】 【详解】A.MN 两点电势相等,电场线由上到下,NP 在同一电场线上,沿电场线电势逐渐降低,可知 N 点电势高于 P 点,可知 M 点电势高于 P 点,选项 A 错误; B.M 点电场线分布比 N 点密集,可知 M 点电场强度比 N 点大,选项 B 错误; CD.负电荷从 M 点运动到 P 点,电势能增加,则电场力做负功,动能减小,速度减小,选项 C 错误,D 正确; 故选 D。 6. 闭合金属框放置在磁场中,金属框平面始终与磁感线垂直。如图,磁感应强度 B 随时间 t 按正弦规律变 化。 为穿过金属框的磁通量,E 为金属框中的感应电动势,下列说法正确的是( ) A. t 在 内, 和 E 均随时间增大 B. 当 与 时,E 大小相等,方向相同 C. 当 时, 最大,E 为零 D. 当 时, 和 E 均为零 【答案】C 【解析】 【详解】A.在 时间内,磁感应强度 B 增加,根据 则磁通量 增加,但是图像的斜率减小, 第 4页/共 18页即磁感应强度 B 的变化率逐渐减小,根据法拉第电磁感应定律可知 ,感应电动势 E 逐渐减小, 选项 A 错误; B.当 和 时,因 B-t 图像 斜率大小相等,符号相反,可知感应电动势 E 大小相等,方向相反, 选项 B 错误; C. 时,B 最大,则磁通量 最大,但是 B 的变化率为零,则感应电动势 E 为零,选项 C 正确; D . 时,B 为零,则磁通量 为零,但是 B 的变化率最大,则感应电动势 E 最大,选项 D 错误。 故选 C。 7. 离子注入机是研究材料辐照效应的重要设备,其工作原理如图 1 所示。从离子源 S 释放的正离子(初速 度视为零)经电压为 的电场加速后,沿 方向射入电压为 的电场( 为平行于两极板的中轴线)。 极板长度为 l、间距为 d, 关系如图 2 所示。长度为 a 的样品垂直放置在距 极板 L 处,样品中心位 于 点。假设单个离子在通过 区域的极短时间内,电压 可视为不变,当 时。离子恰好从 两极板的边缘射出。不计重力及离子之间的相互作用。下列说法正确的是( ) A. 的最大值 B. 当 且 时,离子恰好能打到样品边缘 C. 若其他条件不变,要增大样品的辐照范围,需增大 D. 在 和 时刻射入 的离子,有可能分别打在 A 和 B 点 【答案】B 【解析】 【详解】A.粒子在加速电场中被加速时 在偏转电场中做类平抛运动,则 第 5页/共 18页解得 选项 A 错误; B.当 时粒子从板的边缘射出,恰能打到样品边缘时,则 解得 选项 B 正确; C.根据 若其它条件不变,要增加样品的辐照范围,则需减小 U,选项 C 错误; 1 D .由图可知 t 时刻所加的向上电场电压小于 t 时刻所加的向下的电场的电压,则 t 时刻射入的粒子打到 1 2 1 A 点时的竖直位移小于打到 B 点时的竖直位移,则选项 D 错误。 故选 B。 8. 如图,轻质弹簧上端固定,下端悬挂质量为 的小球 A,质量为 m 的小球 B 与 A 用细线相连,整个系 统处于静止状态。弹簧劲度系数为 k,重力加速度为 g。现剪断细线,下列说法正确的是( ) A. 小球 A 运动到弹簧原长处的速度最大 B. 剪断细线的瞬间,小球 A 的加速度大小为 C. 小球 A 运动到最高点时,弹簧的伸长量为 D. 小球 A 运动到最低点时,弹簧的伸长量为 【答案】BC 【解析】 【详解】A.剪断细线后,弹力大于 A 的重力,则 A 先向上做加速运动,随弹力的减小,则向上的加速度 第 6页/共 18页减小,当加速度为零时速度最大,此时弹力等于重力,弹簧处于拉伸状态,选项 A 错误; B.剪断细线之前则 剪断细线瞬间弹簧弹力不变,则对 A 由牛顿第二定律 解得 A 的加速度 选项 B 正确; C.剪断细线之前弹簧伸长量 剪断细线后 A 做简谐振动,在平衡位置时弹簧伸长量 即振幅 由对称性可知小球 A 运动到最高点时,弹簧伸长量为 ,选项 C 正确; D.由上述分析可知,小球 A 运动到最低点时,弹簧伸长量为 ,选项 D 错误。 故选 BC。 9. 如图,一定量的理想气体从状态 A 经等容过程到达状态 B,然后经等温过程到达状态 C。已知质量一定 的某种理想气体的内能只与温度有关,且随温度升高而增大。下列说法正确的是( ) A. A→B 过程为吸热过程 B. B→C 过程为吸热过程 C. 状态 A 压强比状态 B 的小 D. 状态 A 内能比状态 C 的小 【答案】ACD 【解析】 【详解】A.A→B 过程,体积不变,则 W=0,温度升高,则∆U>0,根据热力学第一定律∆U=W+Q 可知 Q>0,即该过程吸热,选项 A 正确; B .B→C 过程,温度不变,则∆U=0,体积减小,则 W>0,根据热力学第一定律∆U=W+Q 可知 Q<0,即该过程为放热过程,选项 B 错误; 第 7页/共 18页C .A→B 过程,体积不变,温度升高,根据 可知,压强变大,即状态 A 压强比状态 B 压强小,选项 C 正确; D.状态 A 的温度低于状态 C 的温度,可知状态 A 的内能比状态 C 的小,选项 D 正确。 故选 ACD。 10. 2025 年 5 月 1 日,全球首个实现“聚变能发电演示”的紧凑型全超导托卡马克核聚变实验装置(BEST) 在我国正式启动总装。如图是托卡马克环形容器中磁场截面的简化示意图,两个同心圆围成的环形区域内 有垂直纸面向里的匀强磁场,磁感应强度大小为 B,内圆半径为 。在内圆上 A 点有 a、b、c 三个粒子均 在纸面内运动,并都恰好到达磁场外边界后返回。已知 a、b、c 带正电且比荷均为 ,a 粒子的速度大小 为 ,方向沿同心圆的径向;b 和 c 粒子速度方向相反且与 a 粒子的速度方向垂直。不考虑带电粒 子所受的重力和相互作用。下列说法正确的是( ) A. 外圆半径等于 B. a 粒子返回 A 点所用的最短时间为 C. b、c 粒子返回 A 点所用的最短时间之比为 D. c 粒子的速度大小为 【答案】BD 【解析】 【详解】由题意,作出 粒子运动轨迹图,如图所示 第 8页/共 18页a 粒子恰好到达磁场外边界后返回,a 粒子运动的圆周正好与磁场外边界,然后沿径向做匀速直线运动,再 做匀速圆周运动恰好回到 A 点, 根据 a 粒子的速度大小为 可得 设外圆半径等于 ,由几何关系得 则 A 错误; B.由 A 项分析,a 粒子返回 A 点所用的最短时间为第一次回到 A 点的时间 a 粒子做匀速圆周运动的周期 在磁场中运动的时间 匀速直线运动的时间 故 a 粒子返回 A 点所用 最短时间为 B 正确; C.由题意,作出 粒子运动轨迹图,如图所示 第 9页/共 18页因为 b、c 粒子返回 A 点都是运动一个圆周,根据 b、c 带正电且比荷均为 ,所以两粒子做圆周运动周期 相同,故所用的最短时间之比为 1:1,C 错误; D.由几何关系得 洛伦兹力提供向心力有 联立解得 D 正确。 故选 BD。 11. 某学习小组使用如图所示的实验装置验证机械能守恒定律。 把一个直径为 d 的小球用不可伸长的细线悬挂,光电门置于小球平衡位置处,其光线恰好通过小球球心, 计时器与光电门相连。 将小球拉离平衡位置并记录其高度 h,然后由静止释放(运动平面与光电门光线垂直),记录小球经过光电 门的挡光时间 。改变 h,测量多组数据。已知重力加速度为 g,忽略阻力。 (1)以 h 为横坐标、________(填“ ”、“ ”、“ ”或“ ”)为纵坐标作直线图。若所 第 10页/共 18页得图像过原点,且斜率为________(用 d 和 g 表示),即可证明小球在运动过程中机械能守恒。 (2)实验中,用游标卡尺测得小球直径 。 ①由结果可知,所用的是________分度的游标卡尺(填“10”、“20”或“50); ②小组设计了一把 25 分度的游标卡尺,未测量时的状态如图所示。如果用此游标卡尺测量该小球直径、则 游标尺上第________条刻度线与主尺上的刻度线对齐。 【答案】(1) ①. ②. (2) ①. 50 ②. 12 【解析】 【小问 1 详解】 [1][2]小球经过光电门的挡光时间 ,可得小球到达平衡位置 为验证机械能守恒定律,此过程中重力势能转化为动能有 联立解得 可得纵坐标为 图像的斜率为 。 【小问 2 详解】 [1]10 分度、20 分度、50 分度的游标卡尺的精确度分别为 此游标卡尺测得小球直径 可以判断所用的是 50 分度的游标卡尺。 第 11页/共 18页[2]若为 25 分度的游标卡尺,其精确度为 0.04mm,用此游标卡尺测量该小球直径,可得 则游标尺上第 12 条刻度线与主尺上的刻度线对齐。 12. 某兴趣小组设计测量电阻阻值的实验方案。可用器材有:电池(电动势 )两节,电压表(量程 ,内阻约 ),电流表(量程 ,内阻约 ),滑动变阻器(最大阻值 ),待测电阻 ,开 关 ,单刀双掷开关 ,导线若干。 (1)首先设计如上图所示的电路。 ①要求用 选择电流表内、外接电路,请在图 1 中补充连线将 的 c、d 端接入电路____; ②闭合 前,滑动变阻器的滑片 P 应置于___端(填“a”或“b”); ③闭合 后,将 分别接 c 和 d 端,观察到这两种情况下电压表的示数有变化、电流表的示数基本不变, 因此测量电阻时 应该接______端(填“c”或“d”)。 (2)为了消除上述实验中电表引入的误差、该小组又设计了如图所示的电路。 ①请在上图中补充连线将电压表接入电路______; 第 12页/共 18页②闭合 ,将 分别接 c 和 d 端时,电压表、电流表的读数分别为 、 和 、 。则待测电阻阻值 _______(用 、 、 和 表示)。 【答案】(1) ①. 见解析实物连接图 ②. ③. (2) ①. 见解析实物连接图 ②. 【解析】 【小问 1 详解】 [1]实物连接图如图所示, [2]闭合 前,根据滑动变阻器的限流式接法,滑片 P 应置于 端,连入电路中的阻值最大,保护电路的安 全。 [3]闭合 后,将 分别接 c 和 d 端,观察到这两种情况下电压表 示数有变化、电流表的示数基本不变, 说明电流表分压明显,为减小实验误差,应采用电流表外接法,因此测量电阻时 应该接 c 端。 【小问 2 详解】 [1]实物连接图如图所示, [2]根据电路分析,当闭合 ,将 接 c 端时,电压表、电流表的读数分别为 、 , 第 13页/共 18页则 将 接 d 端时,电压表、电流表 读数分别为 、 ,则 那么待测电阻阻值 。 13. 已知一圆台容器,高 ,上口径 ,容器底部中心有一质点,未装入水时,人眼从容 器边缘无法观测到该质点,装入某种液体后,恰好可以看到,此时液面高度 ,人眼观测角度 满 足 ,人眼到入射处距离为 。光在真空中的传播速度 ,求: (1)该液体的折射率; (2)光从底部质点反射至人眼全过程的时间。 【答案】(1) (2) 【解析】 【小问 1 详解】 根据题意,画出光路图,如图所示 由几何关系可得 , 则有 , 则 第 14页/共 18页由折射定律可得该液体的折射率为 【小问 2 详解】 根据题意,由图可知,光在空气中传播的距离为 光在液体中的传播距离为 光在液体中的传播速度为 则光从底部质点反射至人眼全过程的时间 14. 如图 1 所示,细杆两端固定,质量为 m 的物块穿在细杆上。初始时刻。物块刚好能静止在细杆上。现 以水平向左的力 F 作用在物块上,F 随时间 t 的变化如图 2 所示。开始滑动瞬间的滑动摩擦力等于最大静摩 擦力。细杆足够长,重力加速度为 g,θ=30°。 求: (1)t=6s 时 F 的大小,以及 t 在 0~6s 内 F 的冲量大小。 (2)t 在 0~6s 内,摩擦力 f 随时间 t 变化的关系式,并作出相应的 f−t 图像。 (3)t=6s 时,物块的速度大小。 【答案】(1) , (2)见解析 (3) 【解析】 【小问 1 详解】 由图 2 可知 F 随时间线性变化,根据数学知识可知 第 15页/共 18页所以当 t=6s 时, 0~6s 内 F 的冲量为 F−t 图围成的面积,即 【小问 2 详解】 由于初始时刻。物块刚好能静止在细杆上,则有 即 在垂直杆方向,当 时, 则 0−4s,垂直杆方向 摩擦力 在 4−6s 内,垂直杆方向 摩擦力 相应的 f−t 图像如图 【小问 3 详解】 在 0~6s 内沿杆方向根据动量定理有 在 0~6s 内摩擦力的冲量为 f−t 图围成的面积,则 联立有 第 16页/共 18页可得 15. 已知在一磁感强度为 B 的磁场中存在一光滑双轨,左端接入电容 C,两机械臂 1 和机械臂 2(可视为杆), 质量均为 m,两机械臂接入磁场中的长度均为 L,电阻均为 R。机械臂 1 的初速度为 ,机械臂 2 静止,两 者不相撞。求: (1)初始时刻机械臂 1 的感应电动势大小和感应电流方向; (2)在达到稳定前,两机械臂电流分别为 和 ,求此时两机械臂所受安培力的大小,以及此时电容器电 荷量的表达式; (3)稳定时的速度和两棒间初始距离的最小值。 【答案】(1) ,竖直向上 (2) , , (3) , 【解析】 【小问 1 详解】 初始时刻机械臂 1 的感应电动势大小为 由右手定则可知感应电流方向竖直向上。 【小问 2 详解】 在达到稳定前,两机械臂电流分别为 和 ,两机械臂安培力的大小分别为 , 设此时两机械臂的速度分别为 v、v 1 2 根据动量守恒 , 而 , 电容器的带电量 第 17页/共 18页电容器两端的电压 联立解得 所以此时电容器电荷量为 【小问 3 详解】 当 时,两机械臂的速度相同,此时 可得两机械臂的速度为 此过程中,对机械臂 1,根据动量定理 对机械臂 2,根据动量定理 初始距离的最小值 解得 第 18页/共 18页
基本 文件 流程 错误 SQL 调试
  1. 请求信息 : 2026-03-10 10:06:12 HTTP/1.1 GET : https://www.yeyulingfeng.com/wendang/96476.html
  2. 运行时间 : 0.139079s [ 吞吐率:7.19req/s ] 内存消耗:5,132.94kb 文件加载:144
  3. 缓存信息 : 0 reads,0 writes
  4. 会话信息 : SESSION_ID=4f686ce7609b10dc40c72ca6afd436ec
  1. /yingpanguazai/ssd/ssd1/www/wwww.yeyulingfeng.com/public/index.php ( 0.79 KB )
  2. /yingpanguazai/ssd/ssd1/www/wwww.yeyulingfeng.com/vendor/autoload.php ( 0.17 KB )
  3. /yingpanguazai/ssd/ssd1/www/wwww.yeyulingfeng.com/vendor/composer/autoload_real.php ( 2.49 KB )
  4. /yingpanguazai/ssd/ssd1/www/wwww.yeyulingfeng.com/vendor/composer/platform_check.php ( 0.90 KB )
  5. /yingpanguazai/ssd/ssd1/www/wwww.yeyulingfeng.com/vendor/composer/ClassLoader.php ( 14.03 KB )
  6. /yingpanguazai/ssd/ssd1/www/wwww.yeyulingfeng.com/vendor/composer/autoload_static.php ( 6.05 KB )
  7. /yingpanguazai/ssd/ssd1/www/wwww.yeyulingfeng.com/vendor/topthink/think-helper/src/helper.php ( 8.34 KB )
  8. /yingpanguazai/ssd/ssd1/www/wwww.yeyulingfeng.com/vendor/topthink/think-validate/src/helper.php ( 2.19 KB )
  9. /yingpanguazai/ssd/ssd1/www/wwww.yeyulingfeng.com/vendor/ralouphie/getallheaders/src/getallheaders.php ( 1.60 KB )
  10. /yingpanguazai/ssd/ssd1/www/wwww.yeyulingfeng.com/vendor/topthink/think-orm/src/helper.php ( 1.47 KB )
  11. /yingpanguazai/ssd/ssd1/www/wwww.yeyulingfeng.com/vendor/topthink/think-orm/stubs/load_stubs.php ( 0.16 KB )
  12. /yingpanguazai/ssd/ssd1/www/wwww.yeyulingfeng.com/vendor/topthink/framework/src/think/Exception.php ( 1.69 KB )
  13. /yingpanguazai/ssd/ssd1/www/wwww.yeyulingfeng.com/vendor/topthink/think-container/src/Facade.php ( 2.71 KB )
  14. /yingpanguazai/ssd/ssd1/www/wwww.yeyulingfeng.com/vendor/symfony/deprecation-contracts/function.php ( 0.99 KB )
  15. /yingpanguazai/ssd/ssd1/www/wwww.yeyulingfeng.com/vendor/symfony/polyfill-mbstring/bootstrap.php ( 8.26 KB )
  16. /yingpanguazai/ssd/ssd1/www/wwww.yeyulingfeng.com/vendor/symfony/polyfill-mbstring/bootstrap80.php ( 9.78 KB )
  17. /yingpanguazai/ssd/ssd1/www/wwww.yeyulingfeng.com/vendor/symfony/var-dumper/Resources/functions/dump.php ( 1.49 KB )
  18. /yingpanguazai/ssd/ssd1/www/wwww.yeyulingfeng.com/vendor/topthink/think-dumper/src/helper.php ( 0.18 KB )
  19. /yingpanguazai/ssd/ssd1/www/wwww.yeyulingfeng.com/vendor/symfony/var-dumper/VarDumper.php ( 4.30 KB )
  20. /yingpanguazai/ssd/ssd1/www/wwww.yeyulingfeng.com/vendor/guzzlehttp/guzzle/src/functions_include.php ( 0.16 KB )
  21. /yingpanguazai/ssd/ssd1/www/wwww.yeyulingfeng.com/vendor/guzzlehttp/guzzle/src/functions.php ( 5.54 KB )
  22. /yingpanguazai/ssd/ssd1/www/wwww.yeyulingfeng.com/vendor/topthink/framework/src/think/App.php ( 15.30 KB )
  23. /yingpanguazai/ssd/ssd1/www/wwww.yeyulingfeng.com/vendor/topthink/think-container/src/Container.php ( 15.76 KB )
  24. /yingpanguazai/ssd/ssd1/www/wwww.yeyulingfeng.com/vendor/psr/container/src/ContainerInterface.php ( 1.02 KB )
  25. /yingpanguazai/ssd/ssd1/www/wwww.yeyulingfeng.com/app/provider.php ( 0.19 KB )
  26. /yingpanguazai/ssd/ssd1/www/wwww.yeyulingfeng.com/vendor/topthink/framework/src/think/Http.php ( 6.04 KB )
  27. /yingpanguazai/ssd/ssd1/www/wwww.yeyulingfeng.com/vendor/topthink/think-helper/src/helper/Str.php ( 7.29 KB )
  28. /yingpanguazai/ssd/ssd1/www/wwww.yeyulingfeng.com/vendor/topthink/framework/src/think/Env.php ( 4.68 KB )
  29. /yingpanguazai/ssd/ssd1/www/wwww.yeyulingfeng.com/app/common.php ( 0.03 KB )
  30. /yingpanguazai/ssd/ssd1/www/wwww.yeyulingfeng.com/vendor/topthink/framework/src/helper.php ( 18.78 KB )
  31. /yingpanguazai/ssd/ssd1/www/wwww.yeyulingfeng.com/vendor/topthink/framework/src/think/Config.php ( 5.54 KB )
  32. /yingpanguazai/ssd/ssd1/www/wwww.yeyulingfeng.com/config/alipay.php ( 3.59 KB )
  33. /yingpanguazai/ssd/ssd1/www/wwww.yeyulingfeng.com/vendor/topthink/framework/src/think/facade/Env.php ( 1.67 KB )
  34. /yingpanguazai/ssd/ssd1/www/wwww.yeyulingfeng.com/config/app.php ( 0.95 KB )
  35. /yingpanguazai/ssd/ssd1/www/wwww.yeyulingfeng.com/config/cache.php ( 0.78 KB )
  36. /yingpanguazai/ssd/ssd1/www/wwww.yeyulingfeng.com/config/console.php ( 0.23 KB )
  37. /yingpanguazai/ssd/ssd1/www/wwww.yeyulingfeng.com/config/cookie.php ( 0.56 KB )
  38. /yingpanguazai/ssd/ssd1/www/wwww.yeyulingfeng.com/config/database.php ( 2.48 KB )
  39. /yingpanguazai/ssd/ssd1/www/wwww.yeyulingfeng.com/config/filesystem.php ( 0.61 KB )
  40. /yingpanguazai/ssd/ssd1/www/wwww.yeyulingfeng.com/config/lang.php ( 0.91 KB )
  41. /yingpanguazai/ssd/ssd1/www/wwww.yeyulingfeng.com/config/log.php ( 1.35 KB )
  42. /yingpanguazai/ssd/ssd1/www/wwww.yeyulingfeng.com/config/middleware.php ( 0.19 KB )
  43. /yingpanguazai/ssd/ssd1/www/wwww.yeyulingfeng.com/config/route.php ( 1.89 KB )
  44. /yingpanguazai/ssd/ssd1/www/wwww.yeyulingfeng.com/config/session.php ( 0.57 KB )
  45. /yingpanguazai/ssd/ssd1/www/wwww.yeyulingfeng.com/config/trace.php ( 0.34 KB )
  46. /yingpanguazai/ssd/ssd1/www/wwww.yeyulingfeng.com/config/view.php ( 0.82 KB )
  47. /yingpanguazai/ssd/ssd1/www/wwww.yeyulingfeng.com/app/event.php ( 0.25 KB )
  48. /yingpanguazai/ssd/ssd1/www/wwww.yeyulingfeng.com/vendor/topthink/framework/src/think/Event.php ( 7.67 KB )
  49. /yingpanguazai/ssd/ssd1/www/wwww.yeyulingfeng.com/app/service.php ( 0.13 KB )
  50. /yingpanguazai/ssd/ssd1/www/wwww.yeyulingfeng.com/app/AppService.php ( 0.26 KB )
  51. /yingpanguazai/ssd/ssd1/www/wwww.yeyulingfeng.com/vendor/topthink/framework/src/think/Service.php ( 1.64 KB )
  52. /yingpanguazai/ssd/ssd1/www/wwww.yeyulingfeng.com/vendor/topthink/framework/src/think/Lang.php ( 7.35 KB )
  53. /yingpanguazai/ssd/ssd1/www/wwww.yeyulingfeng.com/vendor/topthink/framework/src/lang/zh-cn.php ( 13.70 KB )
  54. /yingpanguazai/ssd/ssd1/www/wwww.yeyulingfeng.com/vendor/topthink/framework/src/think/initializer/Error.php ( 3.31 KB )
  55. /yingpanguazai/ssd/ssd1/www/wwww.yeyulingfeng.com/vendor/topthink/framework/src/think/initializer/RegisterService.php ( 1.33 KB )
  56. /yingpanguazai/ssd/ssd1/www/wwww.yeyulingfeng.com/vendor/services.php ( 0.14 KB )
  57. /yingpanguazai/ssd/ssd1/www/wwww.yeyulingfeng.com/vendor/topthink/framework/src/think/service/PaginatorService.php ( 1.52 KB )
  58. /yingpanguazai/ssd/ssd1/www/wwww.yeyulingfeng.com/vendor/topthink/framework/src/think/service/ValidateService.php ( 0.99 KB )
  59. /yingpanguazai/ssd/ssd1/www/wwww.yeyulingfeng.com/vendor/topthink/framework/src/think/service/ModelService.php ( 2.04 KB )
  60. /yingpanguazai/ssd/ssd1/www/wwww.yeyulingfeng.com/vendor/topthink/think-trace/src/Service.php ( 0.77 KB )
  61. /yingpanguazai/ssd/ssd1/www/wwww.yeyulingfeng.com/vendor/topthink/framework/src/think/Middleware.php ( 6.72 KB )
  62. /yingpanguazai/ssd/ssd1/www/wwww.yeyulingfeng.com/vendor/topthink/framework/src/think/initializer/BootService.php ( 0.77 KB )
  63. /yingpanguazai/ssd/ssd1/www/wwww.yeyulingfeng.com/vendor/topthink/think-orm/src/Paginator.php ( 11.86 KB )
  64. /yingpanguazai/ssd/ssd1/www/wwww.yeyulingfeng.com/vendor/topthink/think-validate/src/Validate.php ( 63.20 KB )
  65. /yingpanguazai/ssd/ssd1/www/wwww.yeyulingfeng.com/vendor/topthink/think-orm/src/Model.php ( 23.55 KB )
  66. /yingpanguazai/ssd/ssd1/www/wwww.yeyulingfeng.com/vendor/topthink/think-orm/src/model/concern/Attribute.php ( 21.05 KB )
  67. /yingpanguazai/ssd/ssd1/www/wwww.yeyulingfeng.com/vendor/topthink/think-orm/src/model/concern/AutoWriteData.php ( 4.21 KB )
  68. /yingpanguazai/ssd/ssd1/www/wwww.yeyulingfeng.com/vendor/topthink/think-orm/src/model/concern/Conversion.php ( 6.44 KB )
  69. /yingpanguazai/ssd/ssd1/www/wwww.yeyulingfeng.com/vendor/topthink/think-orm/src/model/concern/DbConnect.php ( 5.16 KB )
  70. /yingpanguazai/ssd/ssd1/www/wwww.yeyulingfeng.com/vendor/topthink/think-orm/src/model/concern/ModelEvent.php ( 2.33 KB )
  71. /yingpanguazai/ssd/ssd1/www/wwww.yeyulingfeng.com/vendor/topthink/think-orm/src/model/concern/RelationShip.php ( 28.29 KB )
  72. /yingpanguazai/ssd/ssd1/www/wwww.yeyulingfeng.com/vendor/topthink/think-helper/src/contract/Arrayable.php ( 0.09 KB )
  73. /yingpanguazai/ssd/ssd1/www/wwww.yeyulingfeng.com/vendor/topthink/think-helper/src/contract/Jsonable.php ( 0.13 KB )
  74. /yingpanguazai/ssd/ssd1/www/wwww.yeyulingfeng.com/vendor/topthink/think-orm/src/model/contract/Modelable.php ( 0.09 KB )
  75. /yingpanguazai/ssd/ssd1/www/wwww.yeyulingfeng.com/vendor/topthink/framework/src/think/Db.php ( 2.88 KB )
  76. /yingpanguazai/ssd/ssd1/www/wwww.yeyulingfeng.com/vendor/topthink/think-orm/src/DbManager.php ( 8.52 KB )
  77. /yingpanguazai/ssd/ssd1/www/wwww.yeyulingfeng.com/vendor/topthink/framework/src/think/Log.php ( 6.28 KB )
  78. /yingpanguazai/ssd/ssd1/www/wwww.yeyulingfeng.com/vendor/topthink/framework/src/think/Manager.php ( 3.92 KB )
  79. /yingpanguazai/ssd/ssd1/www/wwww.yeyulingfeng.com/vendor/psr/log/src/LoggerTrait.php ( 2.69 KB )
  80. /yingpanguazai/ssd/ssd1/www/wwww.yeyulingfeng.com/vendor/psr/log/src/LoggerInterface.php ( 2.71 KB )
  81. /yingpanguazai/ssd/ssd1/www/wwww.yeyulingfeng.com/vendor/topthink/framework/src/think/Cache.php ( 4.92 KB )
  82. /yingpanguazai/ssd/ssd1/www/wwww.yeyulingfeng.com/vendor/psr/simple-cache/src/CacheInterface.php ( 4.71 KB )
  83. /yingpanguazai/ssd/ssd1/www/wwww.yeyulingfeng.com/vendor/topthink/think-helper/src/helper/Arr.php ( 16.63 KB )
  84. /yingpanguazai/ssd/ssd1/www/wwww.yeyulingfeng.com/vendor/topthink/framework/src/think/cache/driver/File.php ( 7.84 KB )
  85. /yingpanguazai/ssd/ssd1/www/wwww.yeyulingfeng.com/vendor/topthink/framework/src/think/cache/Driver.php ( 9.03 KB )
  86. /yingpanguazai/ssd/ssd1/www/wwww.yeyulingfeng.com/vendor/topthink/framework/src/think/contract/CacheHandlerInterface.php ( 1.99 KB )
  87. /yingpanguazai/ssd/ssd1/www/wwww.yeyulingfeng.com/app/Request.php ( 0.09 KB )
  88. /yingpanguazai/ssd/ssd1/www/wwww.yeyulingfeng.com/vendor/topthink/framework/src/think/Request.php ( 55.78 KB )
  89. /yingpanguazai/ssd/ssd1/www/wwww.yeyulingfeng.com/app/middleware.php ( 0.25 KB )
  90. /yingpanguazai/ssd/ssd1/www/wwww.yeyulingfeng.com/vendor/topthink/framework/src/think/Pipeline.php ( 2.61 KB )
  91. /yingpanguazai/ssd/ssd1/www/wwww.yeyulingfeng.com/vendor/topthink/think-trace/src/TraceDebug.php ( 3.40 KB )
  92. /yingpanguazai/ssd/ssd1/www/wwww.yeyulingfeng.com/vendor/topthink/framework/src/think/middleware/SessionInit.php ( 1.94 KB )
  93. /yingpanguazai/ssd/ssd1/www/wwww.yeyulingfeng.com/vendor/topthink/framework/src/think/Session.php ( 1.80 KB )
  94. /yingpanguazai/ssd/ssd1/www/wwww.yeyulingfeng.com/vendor/topthink/framework/src/think/session/driver/File.php ( 6.27 KB )
  95. /yingpanguazai/ssd/ssd1/www/wwww.yeyulingfeng.com/vendor/topthink/framework/src/think/contract/SessionHandlerInterface.php ( 0.87 KB )
  96. /yingpanguazai/ssd/ssd1/www/wwww.yeyulingfeng.com/vendor/topthink/framework/src/think/session/Store.php ( 7.12 KB )
  97. /yingpanguazai/ssd/ssd1/www/wwww.yeyulingfeng.com/vendor/topthink/framework/src/think/Route.php ( 23.73 KB )
  98. /yingpanguazai/ssd/ssd1/www/wwww.yeyulingfeng.com/vendor/topthink/framework/src/think/route/RuleName.php ( 5.75 KB )
  99. /yingpanguazai/ssd/ssd1/www/wwww.yeyulingfeng.com/vendor/topthink/framework/src/think/route/Domain.php ( 2.53 KB )
  100. /yingpanguazai/ssd/ssd1/www/wwww.yeyulingfeng.com/vendor/topthink/framework/src/think/route/RuleGroup.php ( 22.43 KB )
  101. /yingpanguazai/ssd/ssd1/www/wwww.yeyulingfeng.com/vendor/topthink/framework/src/think/route/Rule.php ( 26.95 KB )
  102. /yingpanguazai/ssd/ssd1/www/wwww.yeyulingfeng.com/vendor/topthink/framework/src/think/route/RuleItem.php ( 9.78 KB )
  103. /yingpanguazai/ssd/ssd1/www/wwww.yeyulingfeng.com/route/app.php ( 3.82 KB )
  104. /yingpanguazai/ssd/ssd1/www/wwww.yeyulingfeng.com/vendor/topthink/framework/src/think/facade/Route.php ( 4.70 KB )
  105. /yingpanguazai/ssd/ssd1/www/wwww.yeyulingfeng.com/vendor/topthink/framework/src/think/route/dispatch/Controller.php ( 4.74 KB )
  106. /yingpanguazai/ssd/ssd1/www/wwww.yeyulingfeng.com/vendor/topthink/framework/src/think/route/Dispatch.php ( 10.44 KB )
  107. /yingpanguazai/ssd/ssd1/www/wwww.yeyulingfeng.com/app/controller/Index.php ( 9.69 KB )
  108. /yingpanguazai/ssd/ssd1/www/wwww.yeyulingfeng.com/app/BaseController.php ( 2.05 KB )
  109. /yingpanguazai/ssd/ssd1/www/wwww.yeyulingfeng.com/vendor/topthink/think-orm/src/facade/Db.php ( 0.93 KB )
  110. /yingpanguazai/ssd/ssd1/www/wwww.yeyulingfeng.com/vendor/topthink/think-orm/src/db/connector/Mysql.php ( 5.44 KB )
  111. /yingpanguazai/ssd/ssd1/www/wwww.yeyulingfeng.com/vendor/topthink/think-orm/src/db/PDOConnection.php ( 52.47 KB )
  112. /yingpanguazai/ssd/ssd1/www/wwww.yeyulingfeng.com/vendor/topthink/think-orm/src/db/Connection.php ( 8.39 KB )
  113. /yingpanguazai/ssd/ssd1/www/wwww.yeyulingfeng.com/vendor/topthink/think-orm/src/db/ConnectionInterface.php ( 4.57 KB )
  114. /yingpanguazai/ssd/ssd1/www/wwww.yeyulingfeng.com/vendor/topthink/think-orm/src/db/builder/Mysql.php ( 16.58 KB )
  115. /yingpanguazai/ssd/ssd1/www/wwww.yeyulingfeng.com/vendor/topthink/think-orm/src/db/Builder.php ( 24.06 KB )
  116. /yingpanguazai/ssd/ssd1/www/wwww.yeyulingfeng.com/vendor/topthink/think-orm/src/db/BaseBuilder.php ( 27.50 KB )
  117. /yingpanguazai/ssd/ssd1/www/wwww.yeyulingfeng.com/vendor/topthink/think-orm/src/db/Query.php ( 15.71 KB )
  118. /yingpanguazai/ssd/ssd1/www/wwww.yeyulingfeng.com/vendor/topthink/think-orm/src/db/BaseQuery.php ( 45.13 KB )
  119. /yingpanguazai/ssd/ssd1/www/wwww.yeyulingfeng.com/vendor/topthink/think-orm/src/db/concern/TimeFieldQuery.php ( 7.43 KB )
  120. /yingpanguazai/ssd/ssd1/www/wwww.yeyulingfeng.com/vendor/topthink/think-orm/src/db/concern/AggregateQuery.php ( 3.26 KB )
  121. /yingpanguazai/ssd/ssd1/www/wwww.yeyulingfeng.com/vendor/topthink/think-orm/src/db/concern/ModelRelationQuery.php ( 20.07 KB )
  122. /yingpanguazai/ssd/ssd1/www/wwww.yeyulingfeng.com/vendor/topthink/think-orm/src/db/concern/ParamsBind.php ( 3.66 KB )
  123. /yingpanguazai/ssd/ssd1/www/wwww.yeyulingfeng.com/vendor/topthink/think-orm/src/db/concern/ResultOperation.php ( 7.01 KB )
  124. /yingpanguazai/ssd/ssd1/www/wwww.yeyulingfeng.com/vendor/topthink/think-orm/src/db/concern/WhereQuery.php ( 19.37 KB )
  125. /yingpanguazai/ssd/ssd1/www/wwww.yeyulingfeng.com/vendor/topthink/think-orm/src/db/concern/JoinAndViewQuery.php ( 7.11 KB )
  126. /yingpanguazai/ssd/ssd1/www/wwww.yeyulingfeng.com/vendor/topthink/think-orm/src/db/concern/TableFieldInfo.php ( 2.63 KB )
  127. /yingpanguazai/ssd/ssd1/www/wwww.yeyulingfeng.com/vendor/topthink/think-orm/src/db/concern/Transaction.php ( 2.77 KB )
  128. /yingpanguazai/ssd/ssd1/www/wwww.yeyulingfeng.com/vendor/topthink/framework/src/think/log/driver/File.php ( 5.96 KB )
  129. /yingpanguazai/ssd/ssd1/www/wwww.yeyulingfeng.com/vendor/topthink/framework/src/think/contract/LogHandlerInterface.php ( 0.86 KB )
  130. /yingpanguazai/ssd/ssd1/www/wwww.yeyulingfeng.com/vendor/topthink/framework/src/think/log/Channel.php ( 3.89 KB )
  131. /yingpanguazai/ssd/ssd1/www/wwww.yeyulingfeng.com/vendor/topthink/framework/src/think/event/LogRecord.php ( 1.02 KB )
  132. /yingpanguazai/ssd/ssd1/www/wwww.yeyulingfeng.com/vendor/topthink/think-helper/src/Collection.php ( 16.47 KB )
  133. /yingpanguazai/ssd/ssd1/www/wwww.yeyulingfeng.com/vendor/topthink/framework/src/think/facade/View.php ( 1.70 KB )
  134. /yingpanguazai/ssd/ssd1/www/wwww.yeyulingfeng.com/vendor/topthink/framework/src/think/View.php ( 4.39 KB )
  135. /yingpanguazai/ssd/ssd1/www/wwww.yeyulingfeng.com/vendor/topthink/framework/src/think/Response.php ( 8.81 KB )
  136. /yingpanguazai/ssd/ssd1/www/wwww.yeyulingfeng.com/vendor/topthink/framework/src/think/response/View.php ( 3.29 KB )
  137. /yingpanguazai/ssd/ssd1/www/wwww.yeyulingfeng.com/vendor/topthink/framework/src/think/Cookie.php ( 6.06 KB )
  138. /yingpanguazai/ssd/ssd1/www/wwww.yeyulingfeng.com/vendor/topthink/think-view/src/Think.php ( 8.38 KB )
  139. /yingpanguazai/ssd/ssd1/www/wwww.yeyulingfeng.com/vendor/topthink/framework/src/think/contract/TemplateHandlerInterface.php ( 1.60 KB )
  140. /yingpanguazai/ssd/ssd1/www/wwww.yeyulingfeng.com/vendor/topthink/think-template/src/Template.php ( 46.61 KB )
  141. /yingpanguazai/ssd/ssd1/www/wwww.yeyulingfeng.com/vendor/topthink/think-template/src/template/driver/File.php ( 2.41 KB )
  142. /yingpanguazai/ssd/ssd1/www/wwww.yeyulingfeng.com/vendor/topthink/think-template/src/template/contract/DriverInterface.php ( 0.86 KB )
  143. /yingpanguazai/ssd/ssd1/www/wwww.yeyulingfeng.com/runtime/temp/10a0c909b6afa23b5a52a2e2d58c3c0f.php ( 21.72 KB )
  144. /yingpanguazai/ssd/ssd1/www/wwww.yeyulingfeng.com/vendor/topthink/think-trace/src/Html.php ( 4.42 KB )
  1. CONNECT:[ UseTime:0.000656s ] mysql:host=127.0.0.1;port=3306;dbname=wenku;charset=utf8mb4
  2. SHOW FULL COLUMNS FROM `fenlei` [ RunTime:0.000572s ]
  3. SELECT * FROM `fenlei` WHERE `fid` = 0 [ RunTime:0.000269s ]
  4. SELECT * FROM `fenlei` WHERE `fid` = 63 [ RunTime:0.000279s ]
  5. SHOW FULL COLUMNS FROM `set` [ RunTime:0.000469s ]
  6. SELECT * FROM `set` [ RunTime:0.000188s ]
  7. SHOW FULL COLUMNS FROM `wendang` [ RunTime:0.000536s ]
  8. SELECT * FROM `wendang` WHERE `id` = 96476 LIMIT 1 [ RunTime:0.000429s ]
  9. UPDATE `wendang` SET `liulancishu` = 8 WHERE `id` = 96476 [ RunTime:0.012912s ]
  10. UPDATE `wendang` SET `lasttime` = 1773108372 WHERE `id` = 96476 [ RunTime:0.000465s ]
  11. SELECT * FROM `wendang` WHERE `id` < 96476 ORDER BY `id` DESC LIMIT 1 [ RunTime:0.000419s ]
  12. SELECT * FROM `wendang` WHERE `id` > 96476 ORDER BY `id` ASC LIMIT 1 [ RunTime:0.000413s ]
  13. SELECT * FROM `wendang` WHERE `id` <> 96476 ORDER BY `id` DESC LIMIT 10 [ RunTime:0.009604s ]
  14. SELECT * FROM `wendang` WHERE `id` <> 96476 ORDER BY `id` DESC LIMIT 10,10 [ RunTime:0.001270s ]
  15. SELECT * FROM `wendang` WHERE `id` <> 96476 ORDER BY `id` DESC LIMIT 20,10 [ RunTime:0.008029s ]
0.140794s