基于深度学习的人脸表情识别系统源码













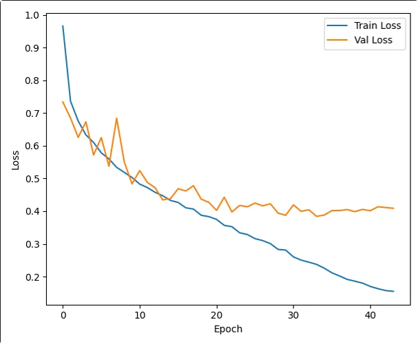
本项目为本人最新开发的人脸表情识别系统(v3),相比旧版更新了如下内容:\n1、添加了训练代码,可以复刻模型训练过程,训练得到的模型文件会保存到checkpoint目录中。\n2、训练完成之后会自动绘制混淆矩阵图、精确率图、损失图。如图11、图12、图13。\n3、模型的训练集成到系统界面中,可以自定义模型的参数选择,如学习率、批次大小等,如图3所示。并可以在界面上清晰的看到训练日志,如图4。\n4、系统功能包括图片识别、视频识别、摄像头识别,深度学习模型依旧使用的是DenseNet模型(CNN的一种)。\n5、系统界面采用PyQt6开发,使用了Fluent Design/Material Design风格。\n6、系统可识别以下8种表情:中性(Neutral)快乐(Happy)悲伤(Sad)惊讶(Surprise)恐惧(Fear)厌恶(Disgust)愤怒(Anger)蔑视(Contempt)。\n \n系统代码纯本人开发,支持功能定制、模型定制等。有需要的朋友可以评论或者后台私信,项目附赠表情识别数据集。(主流的5套)\n#计算机毕业设计 #软件开发 #计算机视觉 #人工智能 #软件设计与开发 #人脸表情识别 #人脸表情识别系统 #人脸表情识别数据集
夜雨聆风
