写了一个计算投资回报率工具(附源码)
上周我写了一篇散户乙十年回本:五粮液、洋河买入价格测算,引出投资回报率的概念,今天我分享一个刚用python开发的计算实时投资回报率工具。
很多投资者是电脑小白,不会配置开发环境。为了方便,我将代码封装成exe文件。

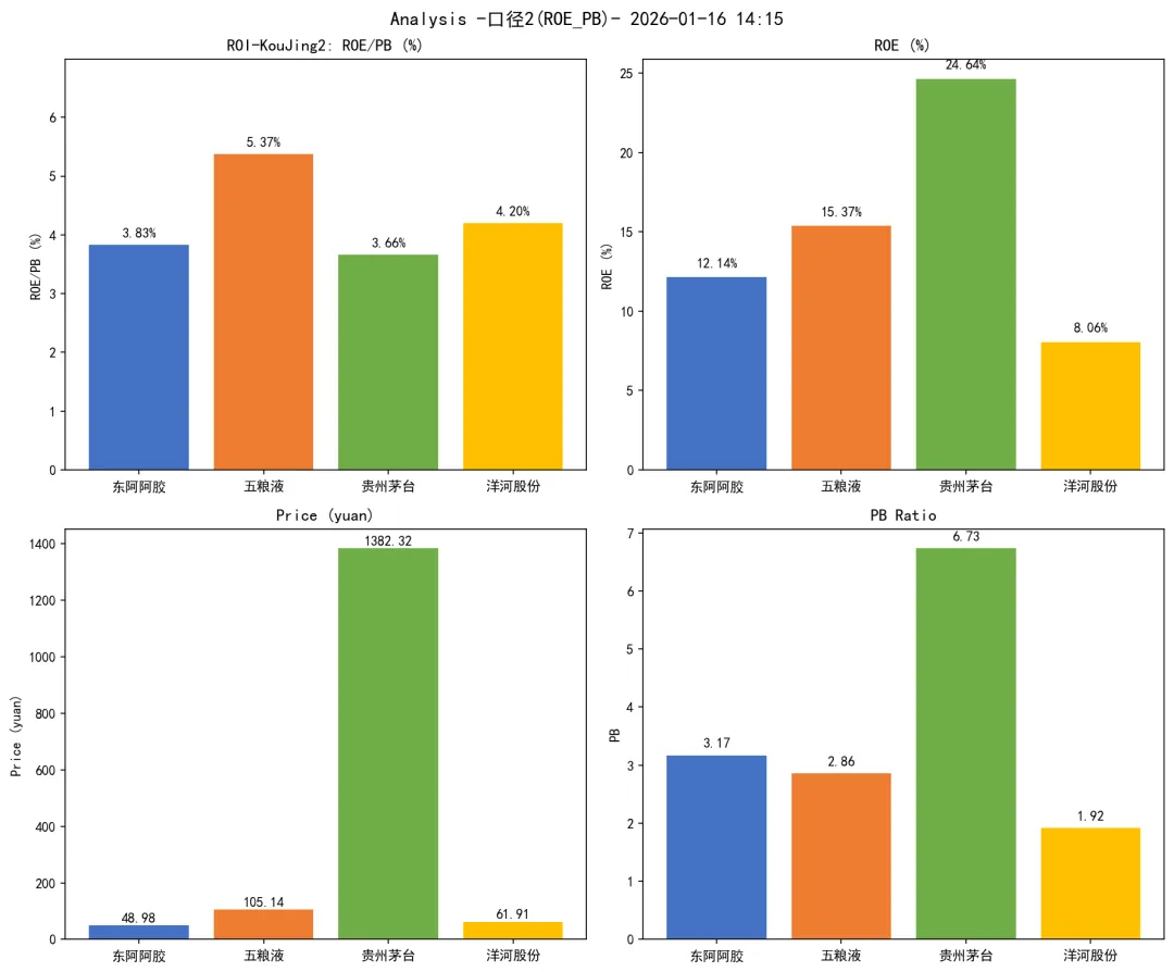
只要双击执行,程序就会自动获取最新的股价行情信息,生成如下图所示的投资回报率。

为什么是两个图,因为投资回报率ROI有两种计算方式,
投资回报率 = 每股收益(分红)/ 当前股价
投资回报率 =ROE/PB
当公司将当年净利润全部用于分红(比如东阿阿胶)时,两公式等价


下面是使用教程
先下载工具和源码。
链接: https://pan.baidu.com/s/1h9pfMHTmoqTz51wHHQRslw 提取码: h8ew

解压投资回报率工具,双击exe运行。

等程序执行完,数据会保存在data目录。

有编程基础的可以下载源代码,如下

公司在config.py配置,API和开发思路见readme文档。
夜雨聆风
