乐于分享
好东西不私藏

高考化学冲刺必备!2025甘肃真题文档版来袭,网络+收集精华汇总

高考化学冲刺必备!2025甘肃真题文档版来袭,网络+收集精华汇总

2025年甘肃省普通高等学校招生统一考试
化学
注意事项:
1.答卷前、考生务必将自己的姓名、准考证号填写在答题卡上。
2.回答选择题时,选出每小题答案后,用2B铅笔把答题卡上对应题目的答案标号框涂黑。如需改动、用橡皮擦干净后,再选涂其他答案标号框。回答非选择题时,将答案写在答题卡上。写在本试卷上无效。
3.考试结束后,将本试卷和答题卡一并交回。
可能用到的相对原子质量:H-1C-12  O-16
一、选择题:本题共14小题,每小题3分,共42分。在每小题给出的四个选项中,只有一项是符合题目要求的。
1.下列爱国主义教育基地的藏品中,主要成分属于无机非金属材料的是
A.劳动英雄模范碑(南梁革命纪念馆藏)
B.红军党员登记表(红军长征胜利纪念馆藏)
C.陕甘红军兵工厂铁工具(甘肃省博物馆藏)
D.谢觉哉使用过的皮箱(八路军兰州办事处纪念馆藏)
2.马家窑文化遗址出土了大量新石器时代陶制文物,陶制文物的主要成分为硅酸盐,下列有关表述错误的是
A.基态Si原子的价层电子排布图:

B.的同位素可作为有机反应示踪原子
C.的电子式为:
D.的球棍模型为:
3.苦水玫瑰是中国国家地理标志产品,可从中提取高品质的玫瑰精油。玫瑰精油成分之一的结构简式如图,下列说法错误的是

A.该分子含1个手性碳原子B.该分子所有碳原子共平面
C.该物质可发生消去反应D.该物质能使溴的四氯化碳溶液褪色
4加氢转化成甲烷,是综合利用实现碳中和碳达峰的重要方式。525101kPa下。反应达到平衡时,能使平衡向正反应方向移动的是
A.减小体系压强B.升高温度
C.增大浓度D.容下充入惰性气体
5XYZWQ分别为原子序数依次增大的短周期主族元素YQ基态原子的价电子数相同,均为其K层电子数的3倍,XZ同族,W为金属元素,其原子序数等于XZ的原子序数之。下列说法错误的是
A.XQ组成的化合物具有还原性B.YQ组成的化合物水溶液显碱性
C.ZW的单质均可在空气中燃烧D.ZY按原子数组成的化合物具有氧化性
6.丁酸乙酯有果香味。下列制备、纯化丁酸乙酯的实验操作对应的装置错误的是(加热及夹持装置略)
A
B
C
D
回流
蒸馏
分液
干燥

A.AB.BC.CD.D
7.物质的结构决定性质,下列事实与结构因素无关的是
选项
事实
结构因素
A
KNa产生的焰色不同
能量量子化
B
的沸点高于
分子间作用力
C
金属有良好的延展性
离子键
D
刚玉的硬度大,熔点高
共价晶体
A.AB.BC.CD.D
8.物质的性质决定用途,下列物质的性质与用途对应关系不成立的是
选项
物质的性质
用途
A
具有热分解性
餐具洗涤剂
B
酚醛树脂具有耐高温、隔热性
飞船外层烧蚀材料
C
离子液体具有导电性
原电池电解质
D
水凝胶具有亲水性
隐形眼镜材料
A.AB.BC.CD.D
9.我国化学家合成了一种带有空腔的杯状主体分子(结构式如图a),该分子和客体分子可形成主客体包合物:被固定在空腔内部(结构示意图见图bHOA下列说法错误的是

A.主体分子存在分子内氢键B.主客体分子之间存在共价键
C.磺酸基中的S—O键能比D.N均采用杂化
10.我国科学家制备了具有优良双折射性能的材料。下列说法正确的是

A.电负性B.原子半径
C.中所有I的孤电子对数相同D.中所有N—H极性相同
11.处理某酸浸液(主要含)的部分流程如下:

下列说法正确的是
A.沉铜过程中发生反应的离子方程式:
B.碱浸过程中NaOH固体加入量越多,沉淀越完全
C.氧化过程中铁元素化合价降低
D.沉锂过程利用了的溶解度比小的性质
12.我国科研工作者设计了一种Mg-海水电池驱动海水()电解系统(如下图)。以新型为催化剂(生长在泡沫镍电极上)。在电池和电解池中同时产生氢气。下列关于该系统的说法错误的是

A.将催化剂生长在泡沫镍电极上可提高催化效率
B.在外电路中,电子从电极1流向电极4
C.电极3的反应为:
D.理论上,每通过2mol电子,可产生
13.下列实验操作能够达到目的的是
选项
实验操作
目的
A
测定0.01mol/L某酸溶液的pH是否为2
判断该酸是否为强酸
B
向稀液滴入几滴浓硫酸,观察溶液颜色变化
探究水解的影响
C
溶液先滴入几滴NaCl溶液,再滴入几滴NaI溶液,观察沉淀颜色变化
比较AgClAgIKsp大小
D
将氯气通入溶液,观察是否产生淡黄色沉淀
验证氯气的氧化性
A.AB.BC.CD.D
14.氨基乙酸是结构最简单的氨基酸分子,其分子在水溶液中存在如下平衡:
25时,其分布分数[]
与溶液pH关系如右上图所示。在溶液中逐滴滴入0.1mol/LNaOH溶液,溶液pHNaOH液滴入体积的变化关系如右下图所示。下列说法错误的是

A.曲线对应的离子是
B.a点处对应的pH9.6
C.h点处
D.c点处
二、非选择题:本题共4小题,共58分。
15.(14分)某兴趣小组按如下流程由稀土氧化物和苯甲酸钠制备配合物,并通过实验测定产品纯度和结晶水个数(杂质受热不分解)。已知在碱性溶液中易形成沉淀。在空气中易吸潮,加强热时分解生成

1)步骤中,加热的目的为______
2)步骤中,调节溶液pH时需搅拌并缓慢滴加NaOH溶液,目的为______pH接近6时,为了防止pH变化过大,还应采取的操作为______
3图所示玻璃仪器中,配制一定物质的量浓度的苯甲酸钠溶液所需的仪器名称为______

4)准确称取一定量产品,溶解于稀中,萃取生成的苯甲酸,蒸去有机溶剂,加入一定量的NaOH标准溶液,滴入1~2滴酚酞溶液,用HCl标准溶液滴定剩余的NaOH。滴定终点的现象为______。实验所需的指示剂不可更换为甲基橙,原因为______
5)取一定量产品进行热重分析,每个阶段的重量降低比例数据如图所示。092范围内产品质量减轻的原因为______。结晶水个数______[,结果保留两位有效数字]

16.(15分)研究人员设计了一种从铜冶炼烟尘(主要含SCuZnPb的硫酸盐)中高效回收砷、铜、锌和铅的绿色工艺,部分流程如下:

已知:熔点314,沸点460
分解温度:高于
1)设计焙烧温度为600,理由为______
2)将通入的混合溶液可制得,该反应的化学方程式为______
3)酸浸的目的为______
4)从浸出液得到Cu的方法为______任写一种)。
5某含Pb化合物是一种被广泛应用于太阳能电池领域的晶体材料,室温下该化合物品如图所示,晶胞参数Pb之间的距离为______pm(用带有晶胞参数的代数式表示);该化合物的化学式为______,晶体密度计算式为______(用带有阿伏加德罗常数的代数式表示分别表示CsPbBr的摩尔质量)。
17.(14分)乙炔加氢是除去乙烯中少量乙炔杂质,得到高纯度乙烯的重要方法。该过程包括以下两个主要反应:
反应1
反应2
125101kPa时,反应______
2)一定条件下,使用某含Co催化剂,在不同温度下测得乙炔转化率和产物选择性(指定产物的物质的量/转化的乙炔的物质的量)如图所示(反应均未达平衡)。

范围内,乙炔转化率随温度升高而增大的原因为______任写一条),当温度由220升高至260,乙炔转化率减小的原因可能为______
120~240范围内,反应1和反应2乙炔的转化速率大小关系为______(填>”“<=),理由为______
3)对于反应1,反应速率浓度的关系可用方程式表示(k为常数)。时,保持其他条件不变,测定了不同浓度时的反应速率(如下表)。当时,______
实验组
4)以Pd/WPd为催化剂,可在常温常压下实现乙炔加氢反应机理如下图所示(虚线为生成乙烷的路径)。以______为催化剂时,乙烯的选择性更高,原因为______。(图中*表示吸附态;数值为生成相应过渡态的活化能)

18.(15分)毛兰菲是一种具有抗肿瘤活性的天然菲类化合物,可按下图路线合成(部分试剂省略):

1)化合物A中的含氧官能团名称为______,化合物A与足量NaOH溶液反应的化学方程式为______
2)化合物B的结构简式为______
3)关于化合物C的说法成立的有______
溶液作用显色与新制氢氧化铜反应,生成砖红色沉淀
D互为同系物能与HCN反应
4C→D涉及的反应类型有____________
5F→G转化中使用了,其名称为______
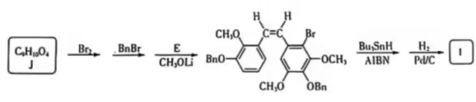
6毛兰菲的一种同分异构体具有抗氧化和抗炎活性,可由多取代苯甲醛J出发,经多步合成得到(如下图)。已知J谱图显示四组峰,峰面积比为JI的结构简式为____________

本站文章均为手工撰写未经允许谢绝转载:夜雨聆风 » 高考化学冲刺必备!2025甘肃真题文档版来袭,网络+收集精华汇总

评论 抢沙发

5 + 5 =
  • 昵称 (必填)
  • 邮箱 (必填)
  • 网址
×
订阅图标按钮