高中数学知识点最全总结(含二级结论、PDF版),很难找到这么全的,快存下!(可打印)

点击蓝字 关注我们

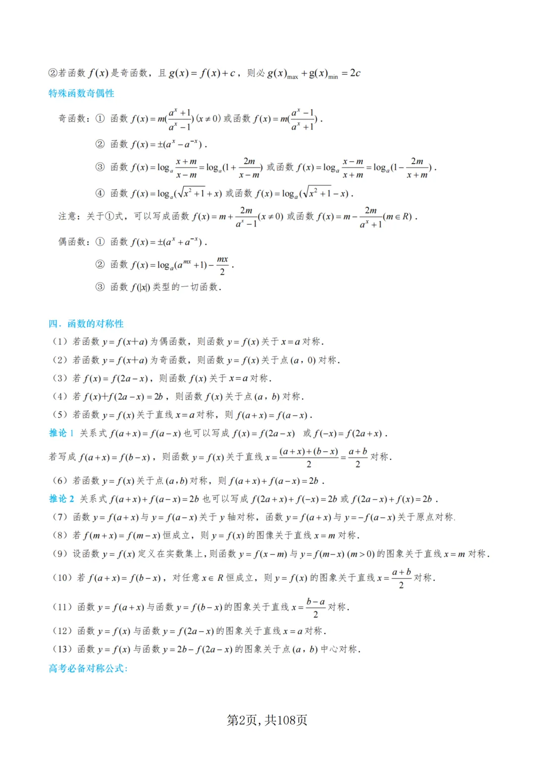
二级结论更多是经过我们长期的训练总结出的一些模型结论,这些模型结论用起来很爽。
为此今天把已经整理好的【高中数学知识点最全归纳(含二级结论、PDF版)】分享给大家,超全整理108页!提升做题速度,分数噌噌涨!
因篇幅有限,点击我的头像私信我回复“我需要”就可以领取word电子版。以下是部分资料内容,完整高清版的发送私信即可。








受文章篇幅限制,仅能分享部分内容~
这里给大家准备了许多电子版及学情分析,因篇幅有限,请你关注本公众号,在菜单栏中的【资料获取】来获取更多资料哦!
夜雨聆风
