夜雨聆风
乐于分享
好东西不私藏
首页
教程
玩机教程
网站开发
WordPress
源码
模板主题
网站源码
插件脚本
软件
手机应用
电脑应用
iOS专区
TV盒子
车机软件
办公开发
游戏
好片推荐
活动资讯
最新活动
科技资讯
其他资源
实用趣站
零散资源
谈天说地
关于我们
进制转换
毒鸡汤
画图板
代码运行
在线排版
今天吃啥
随机密码
在线Markdown
关注本站
微信
当前位置:
夜雨聆风
>
技术教程
>
软件教程
>
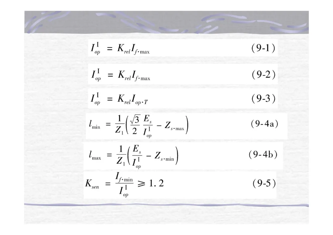
继电保护装置的整定计算(54页高清电子版)
继电保护装置的整定计算(54页高清电子版)
当前时间: 2026-02-16 14:07:32
分类:
软件教程
评论(0)
继电保护装置的整定计算(54页高清电子版)
本站文章均为手工撰写未经允许谢绝转载:
夜雨聆风
»
继电保护装置的整定计算(54页高清电子版)
wang
上一篇
【医学教材】2025最新最全医学教材电子版pdf版本(附下载链接)
下一篇
2025山西事业单位考试真题电子版含答案可打印pdf
猜你喜欢
   
  
【26教资】小学教师资格证真题试卷电子版含答案科二《教育教学知识与能力》
   
  
26考研王江涛作文主题词【电子版pdf可打印】
   
  
【26教资】小学教师资格证真题试卷电子版含答案科一《综合素质》
   
  
2025浙江事业单位考试真题电子版含答案可打印pdf
   
  
2025浙江事业单位考试真题电子版含答案可打印pdf
   
  
2025江苏事业单位考试真题电子版含答案可打印pdf
   
  
2025重庆事业单位考试真题电子版含答案可打印pdf
   
  
2025云南事业单位考试真题电子版含答案可打印pdf
评论
抢沙发
取消
有人回复时邮件通知我
4 + 2 =
提交评论
昵称
昵称 (必填)
邮箱
邮箱 (必填)
网址
网址
×
随机推荐:《国内外手机app推荐,建议收藏❤️❤️❤️》
国内外手机app推荐,建议收藏❤️❤️❤️
已关闭评论
)
随机推荐:《安卓用户也可以在手机上做电子衣橱啦》
安卓用户也可以在手机上做电子衣橱啦
已关闭评论
)
随机推荐:《刚发现,TestFlight更新改版》
刚发现,TestFlight更新改版
已关闭评论
)
随机推荐:《外服游戏分享推荐 让我打开了新世 M区🍎》
外服游戏分享推荐 让我打开了新世 M区🍎
已关闭评论
)
随机推荐:《冲冲冲!敬业签免费送会员了🆓》
冲冲冲!敬业签免费送会员了🆓
已关闭评论
)