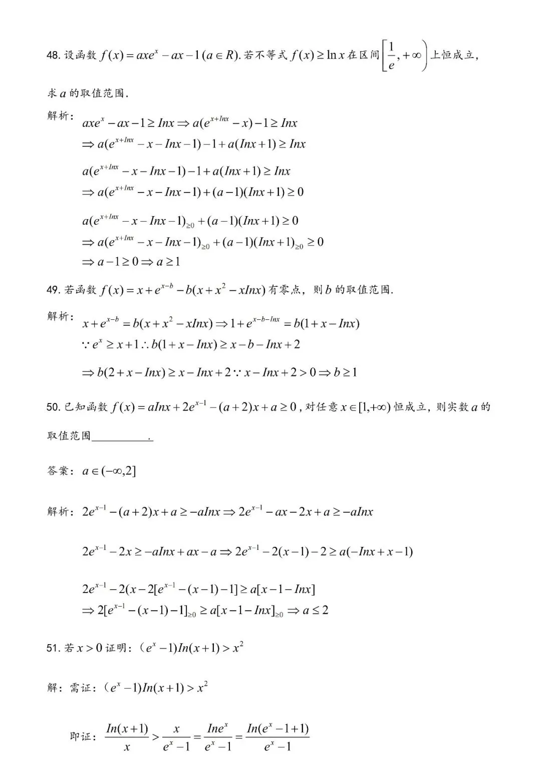
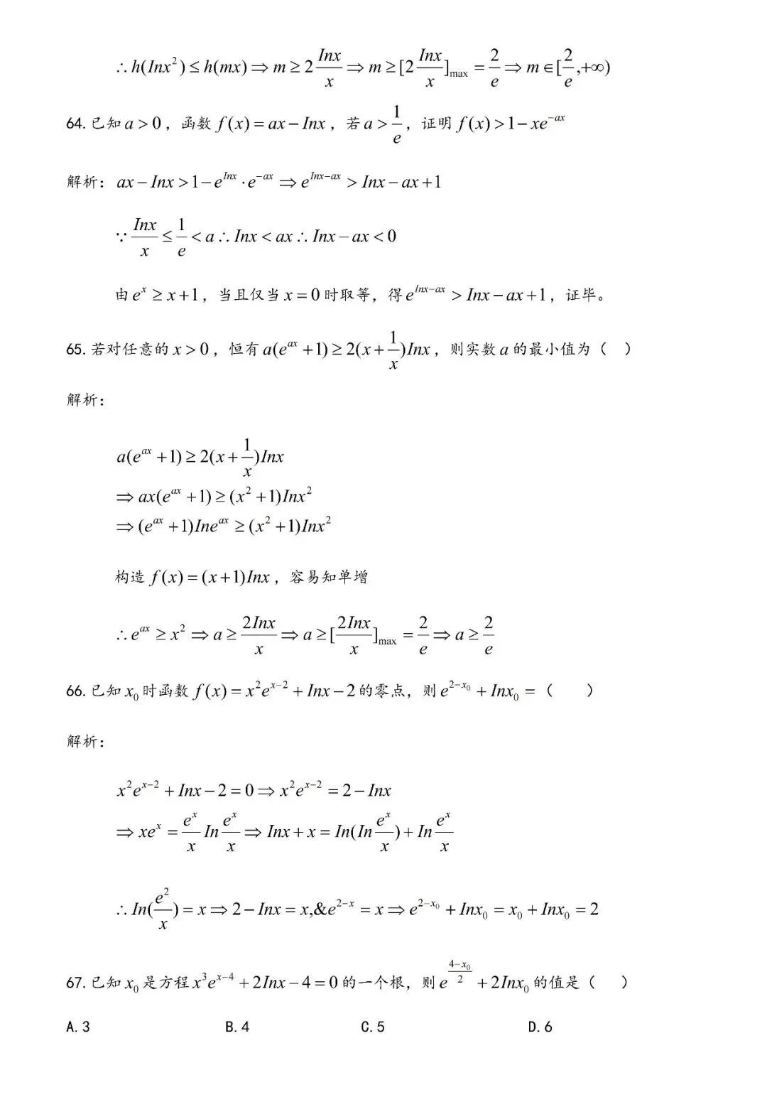
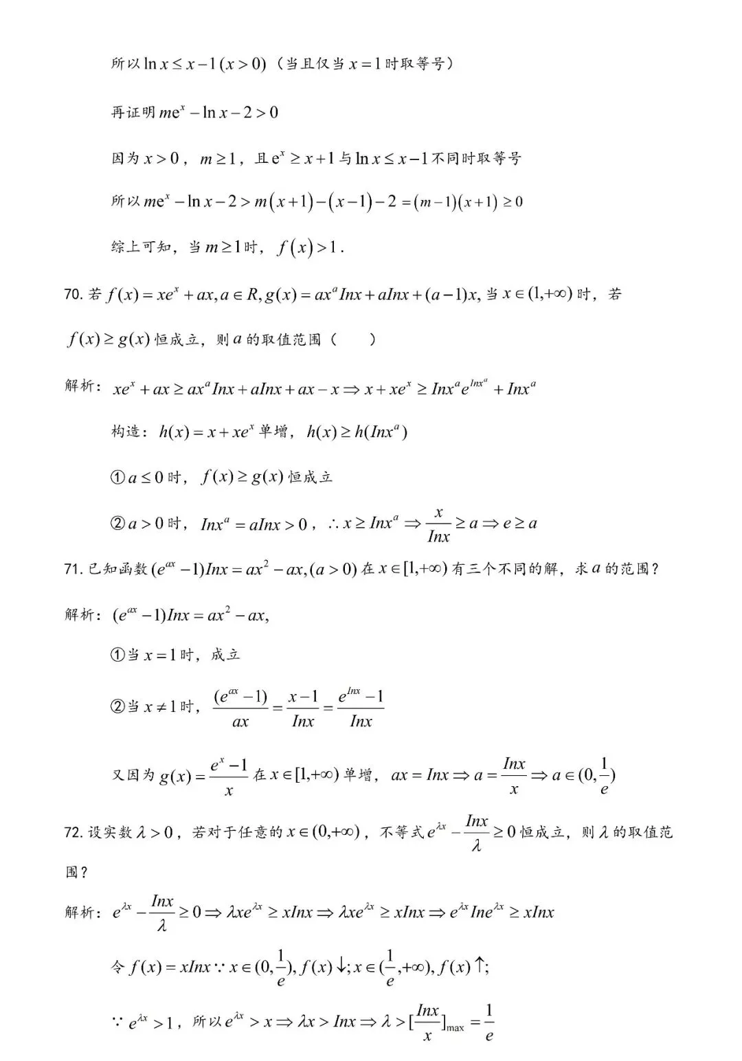
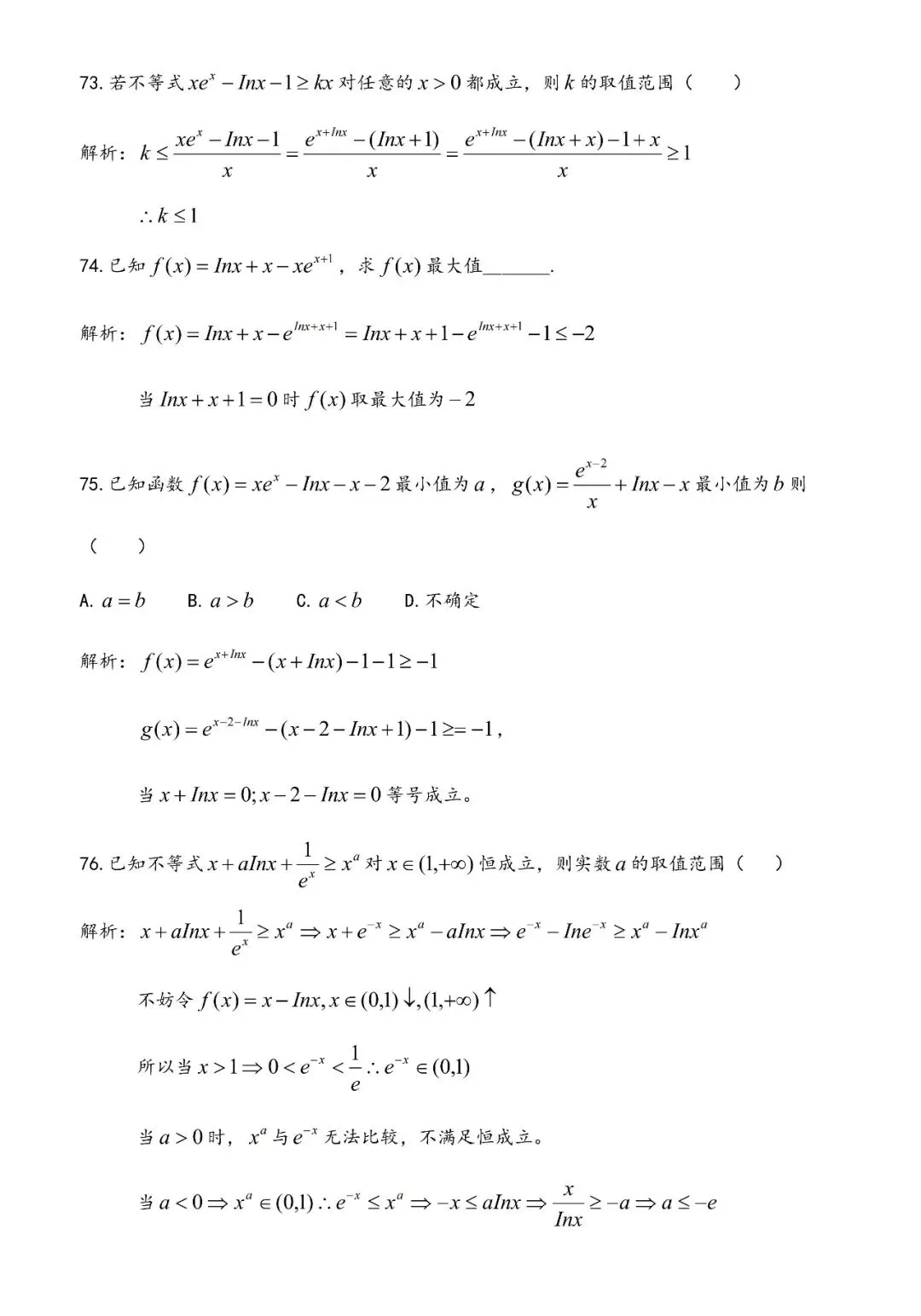
导数同构精选138道题(可打印)
1、夸克网盘链接:https://pan.quark.cn/s/44aac910245d
2、百度网盘链接: https://pan.baidu.com/s/1MQmR93qJVWdJRVJrIttztQ?pwd=p4hh 提取码: p4hh
























点击小程序极米数学工作室购买
导数同构精选138道题(可打印)
1、夸克网盘链接:https://pan.quark.cn/s/44aac910245d
2、百度网盘链接: https://pan.baidu.com/s/1MQmR93qJVWdJRVJrIttztQ?pwd=p4hh 提取码: p4hh
























点击小程序极米数学工作室购买