Gramps族谱软件,编写族谱神器

Gramps族谱软件使用指南
1、创建家族树
首次安装打开后需要先新建一个家族树。

2、增加成员
这里姓名是按照国外习惯设计的,名在前,姓在后的方式,可以只录入名即可。

事件中可以添加成员的生平事迹。

3、添加关系
添加成员的伴侣关系,必须先添加伴侣才能录入子女。

添加完伴侣后就可以录入子女成员了。

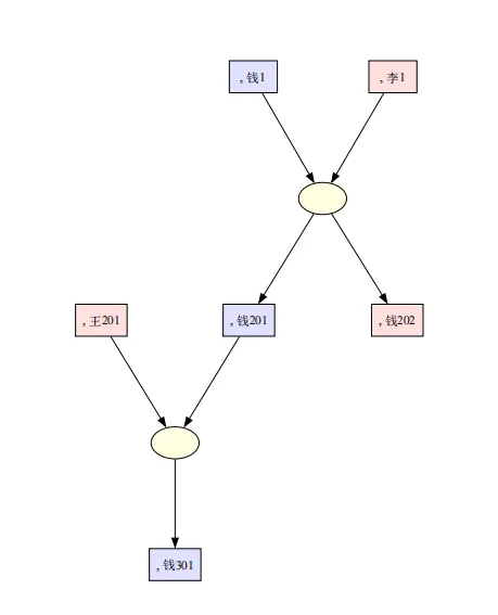
以此类推,可以继续录入后续子孙成员信息。这里示例中钱1代表第一代;钱201、钱202代表第二代成员;钱301代表第三代成员。

4、生成报告
添加完成员后,可以生成关系图。

生成保存后在软件默认存储位置打开即可。

Gramps支持多文化背景下的家族关系计算,支持复杂的姓氏系统、父系母系文化等,可以在不同语言语境中精准识别亲属关系。生成的关系图谱支持输出为PNG、HTML、PDF等格式,查看非常方便。
Gramps支持Windows、macOS、Linux系统,界面简洁、安装简单。对于一个大家族来说,用来记录家族成员关系,制作族谱,是一个不错的工具。
公众号回复:227 或 gram,获取Gramps最新安装包下载链接
常用工具推荐:


👆关注科技老宅,解锁最新科技!
夜雨聆风
