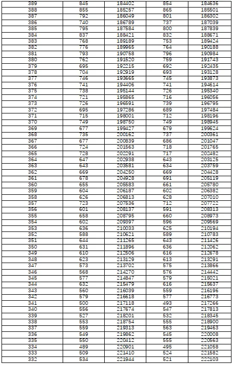
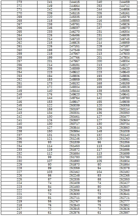
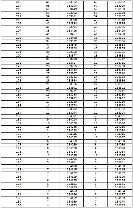
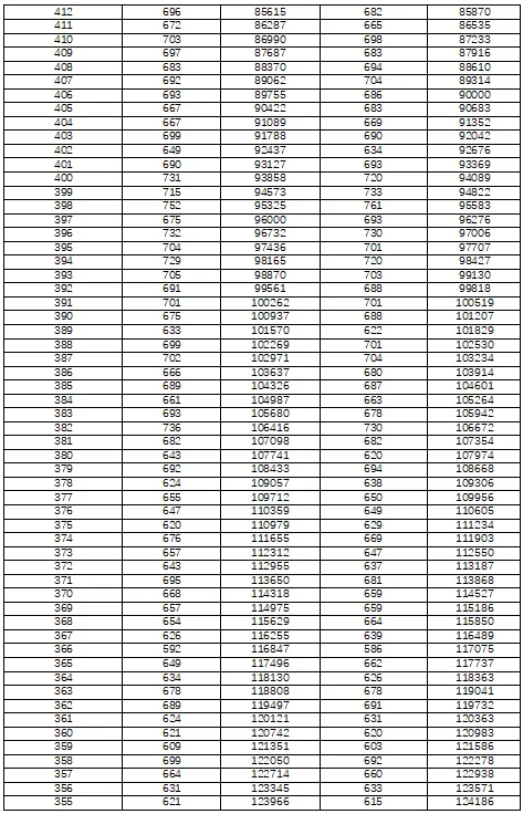
你在省内排第几?“一分一段表”出炉!(可打印)

这张表是填报高考志愿的“神器”,用好这个表格,某种程度上可以决定你能去哪所大学、学习什么样的专业。因为它显示了每一个分数全省考生有多少名,能让你计算出自己的排位。
目前的一分一段表,是将全省同科类考生的档案分(考生总分+政策加分)从高到低排列(分数相同的则为并列)再按每1分一段,统计“本段人数”从本段向上一直到最高分段的所有“本段人数”相加,则为“累计人数”。一分一段表上显示出每一个分数全省的考生有多少名,这个数据的参考价值最大。
“一分一段”表内对每一个分数线上有多少考生、该分数线以上有多少考生进行了详细统计。在填报志愿时,首先参考自己在全省的排名,再看想选报学校的招生计划,最好是计算一下同等梯度的高校在河南招生计划的总和,结合自己的排名,从而较好地选报志愿。
物理类、历史类

















物理类、历史类




理科、文科















理工类、文史类



(点击查看大图)



(点击查看大图)
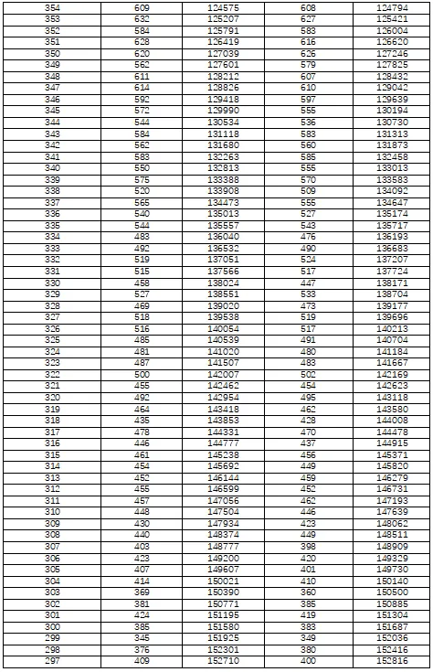
理科
| 分数 |
累计人数 |
| 680及以上 | 16 |
| 679及以上 | 19 |
| 677及以上 | 22 |
| 676及以上 | 24 |
| 674及以上 | 25 |
| 673及以上 | 27 |
| 672及以上 | 29 |
| 671及以上 | 32 |
| 670及以上 | 37 |
| 669及以上 | 41 |
| 668及以上 | 42 |
| 666及以上 | 43 |
| 665及以上 | 50 |
| 664及以上 | 54 |
| 663及以上 | 60 |
| 662及以上 | 62 |
| 661及以上 | 68 |
| 660及以上 | 73 |
| 659及以上 | 78 |
| 658及以上 | 83 |
| 657及以上 | 88 |
| 656及以上 | 93 |
| 655及以上 | 99 |
| 654及以上 | 108 |
| 653及以上 | 118 |
| 652及以上 | 127 |
| 651及以上 | 137 |
| 650及以上 | 141 |
| 649及以上 | 149 |
| 648及以上 | 159 |
| 647及以上 | 169 |
| 646及以上 | 179 |
| 645及以上 | 186 |
| 644及以上 | 195 |
| 643及以上 | 207 |
| 642及以上 | 219 |
| 641及以上 | 233 |
| 640及以上 | 247 |
| 639及以上 | 260 |
| 638及以上 | 274 |
| 637及以上 | 290 |
| 636及以上 | 303 |
| 635及以上 | 327 |
| 634及以上 | 348 |
| 633及以上 | 372 |
| 632及以上 | 383 |
| 631及以上 | 405 |
| 630及以上 | 422 |
| 629及以上 | 446 |
| 628及以上 | 467 |
| 627及以上 | 489 |
| 626及以上 | 510 |
| 625及以上 | 523 |
| 624及以上 | 548 |
| 623及以上 | 572 |
| 622及以上 | 600 |
| 621及以上 | 630 |
| 620及以上 | 648 |
| 619及以上 | 669 |
| 618及以上 | 700 |
| 617及以上 | 737 |
| 616及以上 | 787 |
| 615及以上 | 830 |
| 614及以上 | 859 |
| 613及以上 | 893 |
| 612及以上 | 929 |
| 611及以上 | 957 |
| 610及以上 | 993 |
| 609及以上 | 1029 |
| 608及以上 | 1062 |
| 607及以上 | 1088 |
| 606及以上 | 1124 |
| 605及以上 | 1156 |
| 604及以上 | 1188 |
| 603及以上 | 1229 |
| 602及以上 | 1266 |
| 601及以上 | 1321 |
| 600及以上 | 1384 |
| 599及以上 | 1441 |
| 598及以上 | 1492 |
| 597及以上 | 1537 |
| 596及以上 | 1599 |
| 595及以上 | 1651 |
| 594及以上 | 1699 |
| 593及以上 | 1748 |
| 592及以上 | 1792 |
| 591及以上 | 1861 |
| 590及以上 | 1939 |
| 589及以上 | 1996 |
| 588及以上 | 2050 |
| 587及以上 | 2119 |
| 586及以上 | 2197 |
| 585及以上 | 2268 |
| 584及以上 | 2335 |
| 583及以上 | 2414 |
| 582及以上 | 2489 |
| 581及以上 | 2562 |
| 580及以上 | 2638 |
| 579及以上 | 2704 |
| 578及以上 | 2783 |
| 577及以上 | 2870 |
| 576及以上 | 2934 |
| 575及以上 | 3011 |
| 574及以上 | 3102 |
| 573及以上 | 3180 |
| 572及以上 | 3277 |
| 571及以上 | 3358 |
| 570及以上 | 3450 |
| 569及以上 | 3548 |
| 568及以上 | 3638 |
| 567及以上 | 3719 |
| 566及以上 | 3825 |
| 565及以上 | 3936 |
| 564及以上 | 4019 |
| 563及以上 | 4109 |
| 562及以上 | 4195 |
| 561及以上 | 4311 |
| 560及以上 | 4425 |
| 559及以上 | 4539 |
| 558及以上 | 4652 |
| 557及以上 | 4760 |
| 556及以上 | 4863 |
| 555及以上 | 4957 |
| 554及以上 | 5089 |
| 553及以上 | 5187 |
| 552及以上 | 5305 |
| 551及以上 | 5419 |
| 550及以上 | 5539 |
| 549及以上 | 5646 |
| 548及以上 | 5754 |
| 547及以上 | 5874 |
| 546及以上 | 5994 |
| 545及以上 | 6115 |
| 544及以上 | 6231 |
| 543及以上 | 6369 |
| 542及以上 | 6513 |
| 541及以上 | 6656 |
| 540及以上 | 6808 |
| 539及以上 | 6977 |
| 538及以上 | 7118 |
| 537及以上 | 7265 |
| 536及以上 | 7419 |
| 535及以上 | 7575 |
| 534及以上 | 7726 |
| 533及以上 | 7894 |
| 532及以上 | 8067 |
| 531及以上 | 8232 |
| 530及以上 | 8376 |
| 529及以上 | 8526 |
| 528及以上 | 8664 |
| 527及以上 | 8808 |
| 526及以上 | 8954 |
| 525及以上 | 9114 |
| 524及以上 | 9261 |
| 523及以上 | 9436 |
| 522及以上 | 9600 |
| 521及以上 | 9762 |
| 520及以上 | 9912 |
| 519及以上 | 10084 |
| 518及以上 | 10249 |
| 517及以上 | 10408 |
| 516及以上 | 10575 |
| 515及以上 | 10732 |
| 514及以上 | 10907 |
| 513及以上 | 11083 |
| 512及以上 | 11253 |
| 511及以上 | 11427 |
| 510及以上 | 11594 |
| 509及以上 | 11804 |
| 508及以上 | 11973 |
| 507及以上 | 12166 |
| 506及以上 | 12367 |
| 505及以上 | 12561 |
| 504及以上 | 12774 |
| 503及以上 | 12967 |
| 502及以上 | 13143 |
| 501及以上 | 13319 |
| 500及以上 | 13510 |
| 499及以上 | 13717 |
| 498及以上 | 13932 |
| 497及以上 | 14130 |
| 496及以上 | 14348 |
| 495及以上 | 14582 |
| 494及以上 | 14785 |
| 493及以上 | 14972 |
| 492及以上 | 15179 |
| 491及以上 | 15381 |
| 490及以上 | 15566 |
| 489及以上 | 15770 |
| 488及以上 | 15995 |
| 487及以上 | 16214 |
| 486及以上 | 16429 |
| 485及以上 | 16635 |
| 484及以上 | 16846 |
| 483及以上 | 17059 |
| 482及以上 | 17287 |
| 481及以上 | 17497 |
| 480及以上 | 17687 |
| 479及以上 | 17904 |
| 478及以上 | 18107 |
| 477及以上 | 18309 |
| 476及以上 | 18545 |
| 475及以上 | 18753 |
| 474及以上 | 18973 |
| 473及以上 | 19204 |
| 472及以上 | 19436 |
| 471及以上 | 19654 |
| 470及以上 | 19868 |
| 469及以上 | 20099 |
| 468及以上 | 20311 |
| 467及以上 | 20566 |
| 466及以上 | 20784 |
| 465及以上 | 20988 |
| 464及以上 | 21223 |
| 463及以上 | 21441 |
| 462及以上 | 21658 |
| 461及以上 | 21879 |
| 460及以上 | 22140 |
| 459及以上 | 22377 |
| 458及以上 | 22605 |
| 457及以上 | 22841 |
| 456及以上 | 23078 |
| 455及以上 | 23321 |
| 454及以上 | 23559 |
| 453及以上 | 23810 |
| 452及以上 | 24081 |
| 451及以上 | 24313 |
| 450及以上 | 24551 |
| 449及以上 | 24790 |
| 448及以上 | 25054 |
| 447及以上 | 25309 |
| 446及以上 | 25540 |
| 445及以上 | 25792 |
| 444及以上 | 26048 |
| 443及以上 | 26289 |
| 442及以上 | 26541 |
| 441及以上 | 26776 |
| 440及以上 | 27028 |
| 439及以上 | 27297 |
| 438及以上 | 27522 |
| 437及以上 | 27759 |
| 436及以上 | 28020 |
| 435及以上 | 28290 |
| 434及以上 | 28554 |
| 433及以上 | 28829 |
| 432及以上 | 29089 |
| 431及以上 | 29351 |
| 430及以上 | 29628 |
| 429及以上 | 29878 |
| 428及以上 | 30145 |
| 427及以上 | 30419 |
| 426及以上 | 30679 |
| 425及以上 | 30936 |
| 424及以上 | 31191 |
| 423及以上 | 31451 |
| 422及以上 | 31722 |
| 421及以上 | 32000 |
| 420及以上 | 32256 |
| 419及以上 | 32533 |
| 418及以上 | 32777 |
| 417及以上 | 33072 |
| 416及以上 | 33313 |
| 415及以上 | 33596 |
| 414及以上 | 33874 |
| 413及以上 | 34154 |
| 412及以上 | 34402 |
| 411及以上 | 34675 |
| 410及以上 | 34940 |
| 409及以上 | 35229 |
| 408及以上 | 35493 |
| 407及以上 | 35807 |
| 406及以上 | 36074 |
| 405及以上 | 36333 |
| 404及以上 | 36596 |
| 403及以上 | 36869 |
| 402及以上 | 37138 |
| 401及以上 | 37440 |
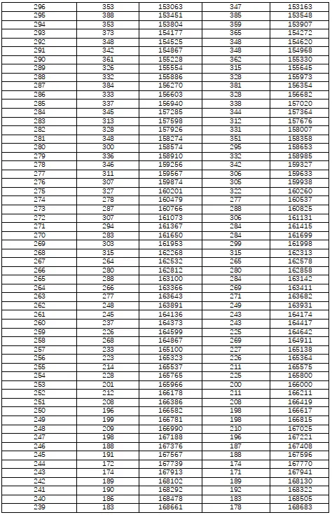
| 400及以上 | 37737 |
| 399及以上 | 37992 |
| 398及以上 | 38259 |
| 397及以上 | 38549 |
| 396及以上 | 38831 |
| 395及以上 | 39129 |
| 394及以上 | 39418 |
| 393及以上 | 39719 |
| 392及以上 | 40022 |
| 391及以上 | 40311 |
| 390及以上 | 40595 |
| 389及以上 | 40890 |
| 388及以上 | 41172 |
| 387及以上 | 41480 |
| 386及以上 | 41767 |
| 385及以上 | 42039 |
| 384及以上 | 42320 |
| 383及以上 | 42587 |
| 382及以上 | 42867 |
| 381及以上 | 43148 |
| 380及以上 | 43427 |
| 379及以上 | 43716 |
| 378及以上 | 44017 |
| 377及以上 | 44292 |
| 376及以上 | 44587 |
| 375及以上 | 44877 |
| 374及以上 | 45174 |
| 373及以上 | 45429 |
| 372及以上 | 45726 |
| 371及以上 | 46034 |
| 370及以上 | 46306 |
| 369及以上 | 46622 |
| 368及以上 | 46900 |
| 367及以上 | 47187 |
| 366及以上 | 47467 |
| 365及以上 | 47738 |
| 364及以上 | 48019 |
| 363及以上 | 48311 |
| 362及以上 | 48569 |
| 361及以上 | 48874 |
| 360及以上 | 49176 |
| 359及以上 | 49470 |
| 358及以上 | 49791 |
| 357及以上 | 50063 |
| 356及以上 | 50357 |
| 355及以上 | 50654 |
| 354及以上 | 50922 |
| 353及以上 | 51188 |
| 352及以上 | 51447 |
| 351及以上 | 51729 |
| 350及以上 | 52010 |
| 349及以上 | 52277 |
| 348及以上 | 52544 |
| 347及以上 | 52802 |
| 346及以上 | 53051 |
| 345及以上 | 53315 |
| 344及以上 | 53603 |
| 343及以上 | 53870 |
| 342及以上 | 54123 |
| 341及以上 | 54388 |
| 340及以上 | 54656 |
| 339及以上 | 54921 |
| 338及以上 | 55203 |
| 337及以上 | 55446 |
| 336及以上 | 55714 |
| 335及以上 | 55995 |
| 334及以上 | 56236 |
| 333及以上 | 56490 |
| 332及以上 | 56735 |
| 331及以上 | 56972 |
| 330及以上 | 57219 |
| 329及以上 | 57459 |
| 328及以上 | 57697 |
| 327及以上 | 57920 |
| 326及以上 | 58171 |
| 325及以上 | 58404 |
| 324及以上 | 58621 |
| 323及以上 | 58874 |
| 322及以上 | 59100 |
| 321及以上 | 59325 |
| 320及以上 | 59554 |
| 319及以上 | 59784 |
| 318及以上 | 60002 |
| 317及以上 | 60223 |
| 316及以上 | 60473 |
| 315及以上 | 60677 |
| 314及以上 | 60892 |
| 313及以上 | 61101 |
| 312及以上 | 61333 |
| 311及以上 | 61558 |
| 310及以上 | 61756 |
| 309及以上 | 61939 |
| 308及以上 | 62136 |
| 307及以上 | 62349 |
| 306及以上 | 62574 |
| 305及以上 | 62765 |
| 304及以上 | 62973 |
| 303及以上 | 63178 |
| 302及以上 | 63388 |
| 301及以上 | 63600 |
| 300及以上 | 63771 |
| 299及以上 | 63977 |
| 298及以上 | 64141 |
| 297及以上 | 64346 |
| 296及以上 | 64526 |
| 295及以上 | 64705 |
| 294及以上 | 64867 |
| 293及以上 | 65045 |
| 292及以上 | 65230 |
| 291及以上 | 65403 |
| 290及以上 | 65599 |
| 289及以上 | 65775 |
| 288及以上 | 65935 |
| 287及以上 | 66101 |
| 286及以上 | 66309 |
| 285及以上 | 66481 |
| 284及以上 | 66635 |
| 283及以上 | 66815 |
| 282及以上 | 66990 |
| 281及以上 | 67160 |
| 280及以上 | 67309 |
| 279及以上 | 67484 |
| 278及以上 | 67654 |
| 277及以上 | 67799 |
| 276及以上 | 67949 |
| 275及以上 | 68090 |
| 274及以上 | 68248 |
| 273及以上 | 68366 |
| 272及以上 | 68524 |
| 271及以上 | 68676 |
| 270及以上 | 68826 |
| 269及以上 | 68997 |
| 268及以上 | 69145 |
| 267及以上 | 69254 |
| 266及以上 | 69389 |
| 265及以上 | 69508 |
| 264及以上 | 69621 |
| 263及以上 | 69752 |
| 262及以上 | 69877 |
| 261及以上 | 70008 |
| 260及以上 | 70135 |
| 259及以上 | 70252 |
| 258及以上 | 70381 |
| 257及以上 | 70500 |
| 256及以上 | 70616 |
| 255及以上 | 70727 |
| 254及以上 | 70843 |
| 253及以上 | 70952 |
| 252及以上 | 71071 |
| 251及以上 | 71187 |
| 250及以上 | 71281 |
| 249及以上 | 71390 |
| 248及以上 | 71508 |
| 247及以上 | 71601 |
| 246及以上 | 71703 |
| 245及以上 | 71787 |
| 244及以上 | 71885 |
| 243及以上 | 71991 |
| 242及以上 | 72075 |
| 241及以上 | 72169 |
| 240及以上 | 72269 |
| 239及以上 | 72362 |
| 238及以上 | 72431 |
| 237及以上 | 72532 |
| 236及以上 | 72619 |
| 235及以上 | 72693 |
| 234及以上 | 72768 |
| 233及以上 | 72859 |
| 232及以上 | 72940 |
| 231及以上 | 73012 |
| 230及以上 | 73093 |
| 229及以上 | 73163 |
| 228及以上 | 73223 |
| 227及以上 | 73294 |
| 226及以上 | 73370 |
| 225及以上 | 73438 |
| 224及以上 | 73508 |
| 223及以上 | 73566 |
| 222及以上 | 73627 |
| 221及以上 | 73703 |
| 220及以上 | 73774 |
| 219及以上 | 73830 |
| 218及以上 | 73896 |
| 217及以上 | 73953 |
| 216及以上 | 74001 |
| 215及以上 | 74053 |
| 214及以上 | 74099 |
| 213及以上 | 74154 |
| 212及以上 | 74214 |
| 211及以上 | 74263 |
| 210及以上 | 74319 |
| 209及以上 | 74364 |
| 208及以上 | 74414 |
| 207及以上 | 74463 |
| 206及以上 | 74504 |
| 205及以上 | 74553 |
| 204及以上 | 74591 |
| 203及以上 | 74640 |
| 202及以上 | 74680 |
| 201及以上 | 74716 |
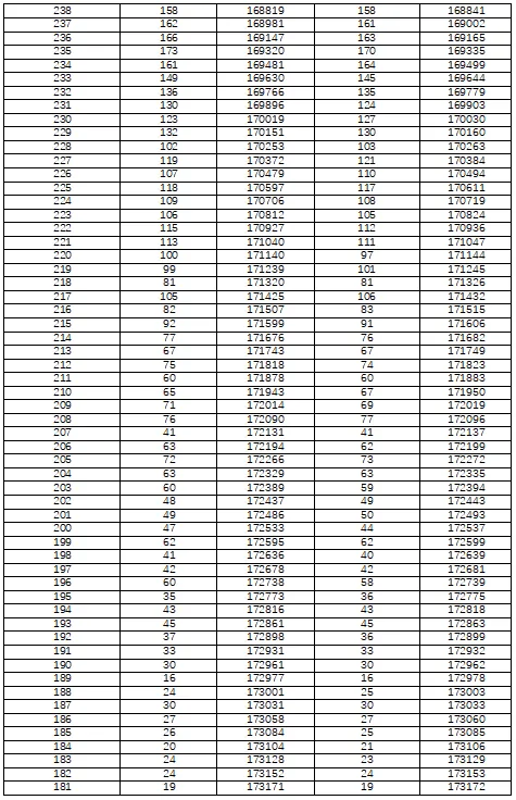
文科
| 分数 |
累计人数 |
| 622及以上 | 12 |
| 621及以上 | 13 |
| 620及以上 | 15 |
| 618及以上 | 17 |
| 617及以上 | 20 |
| 616及以上 | 22 |
| 615及以上 | 25 |
| 614及以上 | 28 |
| 613及以上 | 32 |
| 612及以上 | 33 |
| 611及以上 | 38 |
| 610及以上 | 40 |
| 609及以上 | 43 |
| 608及以上 | 45 |
| 607及以上 | 54 |
| 606及以上 | 57 |
| 605及以上 | 63 |
| 604及以上 | 67 |
| 603及以上 | 72 |
| 602及以上 | 80 |
| 601及以上 | 84 |
| 600及以上 | 95 |
| 599及以上 | 99 |
| 598及以上 | 102 |
| 597及以上 | 111 |
| 596及以上 | 118 |
| 595及以上 | 123 |
| 594及以上 | 128 |
| 593及以上 | 132 |
| 592及以上 | 138 |
| 591及以上 | 145 |
| 590及以上 | 156 |
| 589及以上 | 175 |
| 588及以上 | 187 |
| 587及以上 | 196 |
| 586及以上 | 210 |
| 585及以上 | 220 |
| 584及以上 | 230 |
| 583及以上 | 243 |
| 582及以上 | 253 |
| 581及以上 | 267 |
| 580及以上 | 277 |
| 579及以上 | 294 |
| 578及以上 | 306 |
| 577及以上 | 319 |
| 576及以上 | 338 |
| 575及以上 | 358 |
| 574及以上 | 383 |
| 573及以上 | 393 |
| 572及以上 | 410 |
| 571及以上 | 426 |
| 570及以上 | 441 |
| 569及以上 | 459 |
| 568及以上 | 469 |
| 567及以上 | 500 |
| 566及以上 | 518 |
| 565及以上 | 540 |
| 564及以上 | 554 |
| 563及以上 | 587 |
| 562及以上 | 621 |
| 561及以上 | 649 |
| 560及以上 | 676 |
| 559及以上 | 695 |
| 558及以上 | 724 |
| 557及以上 | 752 |
| 556及以上 | 783 |
| 555及以上 | 808 |
| 554及以上 | 838 |
| 553及以上 | 867 |
| 552及以上 | 896 |
| 551及以上 | 938 |
| 550及以上 | 967 |
| 549及以上 | 1012 |
| 548及以上 | 1053 |
| 547及以上 | 1076 |
| 546及以上 | 1114 |
| 545及以上 | 1156 |
| 544及以上 | 1194 |
| 543及以上 | 1236 |
| 542及以上 | 1266 |
| 541及以上 | 1302 |
| 540及以上 | 1341 |
| 539及以上 | 1389 |
| 538及以上 | 1430 |
| 537及以上 | 1480 |
| 536及以上 | 1525 |
| 535及以上 | 1565 |
| 534及以上 | 1616 |
| 533及以上 | 1661 |
| 532及以上 | 1708 |
| 531及以上 | 1781 |
| 530及以上 | 1835 |
| 529及以上 | 1885 |
| 528及以上 | 1939 |
| 527及以上 | 1991 |
| 526及以上 | 2047 |
| 525及以上 | 2098 |
| 524及以上 | 2153 |
| 523及以上 | 2216 |
| 522及以上 | 2269 |
| 521及以上 | 2334 |
| 520及以上 | 2399 |
| 519及以上 | 2476 |
| 518及以上 | 2539 |
| 517及以上 | 2618 |
| 516及以上 | 2691 |
| 515及以上 | 2763 |
| 514及以上 | 2833 |
| 513及以上 | 2901 |
| 512及以上 | 2964 |
| 511及以上 | 3028 |
| 510及以上 | 3105 |
| 509及以上 | 3167 |
| 508及以上 | 3212 |
| 507及以上 | 3286 |
| 506及以上 | 3351 |
| 505及以上 | 3429 |
| 504及以上 | 3497 |
| 503及以上 | 3580 |
| 502及以上 | 3642 |
| 501及以上 | 3717 |
| 500及以上 | 3792 |
| 499及以上 | 3874 |
| 498及以上 | 3952 |
| 497及以上 | 4024 |
| 496及以上 | 4094 |
| 495及以上 | 4171 |
| 494及以上 | 4246 |
| 493及以上 | 4326 |
| 492及以上 | 4413 |
| 491及以上 | 4505 |
| 490及以上 | 4592 |
| 489及以上 | 4690 |
| 488及以上 | 4780 |
| 487及以上 | 4878 |
| 486及以上 | 4963 |
| 485及以上 | 5054 |
| 484及以上 | 5142 |
| 483及以上 | 5227 |
| 482及以上 | 5321 |
| 481及以上 | 5416 |
| 480及以上 | 5506 |
| 479及以上 | 5590 |
| 478及以上 | 5697 |
| 477及以上 | 5805 |
| 476及以上 | 5909 |
| 475及以上 | 6003 |
| 474及以上 | 6085 |
| 473及以上 | 6173 |
| 472及以上 | 6272 |
| 471及以上 | 6407 |
| 470及以上 | 6502 |
| 469及以上 | 6617 |
| 468及以上 | 6719 |
| 467及以上 | 6822 |
| 466及以上 | 6920 |
| 465及以上 | 7022 |
| 464及以上 | 7137 |
| 463及以上 | 7268 |
| 462及以上 | 7376 |
| 461及以上 | 7495 |
| 460及以上 | 7601 |
| 459及以上 | 7712 |
| 458及以上 | 7826 |
| 457及以上 | 7936 |
| 456及以上 | 8052 |
| 455及以上 | 8145 |
| 454及以上 | 8263 |
| 453及以上 | 8387 |
| 452及以上 | 8510 |
| 451及以上 | 8631 |
| 450及以上 | 8766 |
| 449及以上 | 8892 |
| 448及以上 | 9033 |
| 447及以上 | 9137 |
| 446及以上 | 9259 |
| 445及以上 | 9363 |
| 444及以上 | 9485 |
| 443及以上 | 9616 |
| 442及以上 | 9749 |
| 441及以上 | 9873 |
| 440及以上 | 9989 |
| 439及以上 | 10112 |
| 438及以上 | 10245 |
| 437及以上 | 10380 |
| 436及以上 | 10482 |
| 435及以上 | 10605 |
| 434及以上 | 10730 |
| 433及以上 | 10855 |
| 432及以上 | 11000 |
| 431及以上 | 11127 |
| 430及以上 | 11270 |
| 429及以上 | 11375 |
| 428及以上 | 11505 |
| 427及以上 | 11637 |
| 426及以上 | 11770 |
| 425及以上 | 11899 |
| 424及以上 | 12015 |
| 423及以上 | 12138 |
| 422及以上 | 12276 |
| 421及以上 | 12399 |
| 420及以上 | 12526 |
| 419及以上 | 12644 |
| 418及以上 | 12768 |
| 417及以上 | 12884 |
| 416及以上 | 13025 |
| 415及以上 | 13155 |
| 414及以上 | 13264 |
| 413及以上 | 13399 |
| 412及以上 | 13550 |
| 411及以上 | 13672 |
| 410及以上 | 13810 |
| 409及以上 | 13954 |
| 408及以上 | 14089 |
| 407及以上 | 14214 |
| 406及以上 | 14352 |
| 405及以上 | 14487 |
| 404及以上 | 14600 |
| 403及以上 | 14740 |
| 402及以上 | 14864 |
| 401及以上 | 14987 |
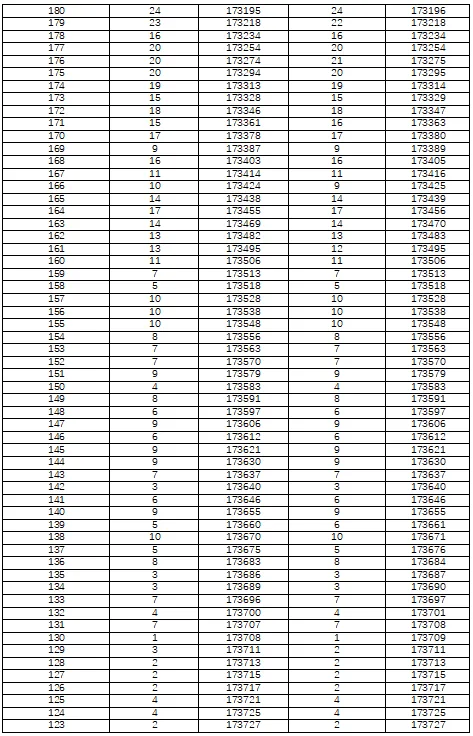
| 400及以上 | 15121 |
| 399及以上 | 15245 |
| 398及以上 | 15367 |
| 397及以上 | 15502 |
| 396及以上 | 15625 |
| 395及以上 | 15756 |
| 394及以上 | 15881 |
| 393及以上 | 16017 |
| 392及以上 | 16159 |
| 391及以上 | 16278 |
| 390及以上 | 16397 |
| 389及以上 | 16506 |
| 388及以上 | 16623 |
| 387及以上 | 16740 |
| 386及以上 | 16867 |
| 385及以上 | 16976 |
| 384及以上 | 17092 |
| 383及以上 | 17196 |
| 382及以上 | 17331 |
| 381及以上 | 17440 |
| 380及以上 | 17563 |
| 379及以上 | 17676 |
| 378及以上 | 17811 |
| 377及以上 | 17920 |
| 376及以上 | 18038 |
| 375及以上 | 18147 |
| 374及以上 | 18275 |
| 373及以上 | 18388 |
| 372及以上 | 18494 |
| 371及以上 | 18607 |
| 370及以上 | 18746 |
| 369及以上 | 18843 |
| 368及以上 | 18962 |
| 367及以上 | 19053 |
| 366及以上 | 19155 |
| 365及以上 | 19282 |
| 364及以上 | 19380 |
| 363及以上 | 19492 |
| 362及以上 | 19590 |
| 361及以上 | 19713 |
| 360及以上 | 19836 |
| 359及以上 | 19948 |
| 358及以上 | 20038 |
| 357及以上 | 20164 |
| 356及以上 | 20277 |
| 355及以上 | 20376 |
| 354及以上 | 20481 |
| 353及以上 | 20572 |
| 352及以上 | 20658 |
| 351及以上 | 20755 |
| 350及以上 | 20856 |
| 349及以上 | 20954 |
| 348及以上 | 21043 |
| 347及以上 | 21139 |
| 346及以上 | 21230 |
| 345及以上 | 21332 |
| 344及以上 | 21434 |
| 343及以上 | 21528 |
| 342及以上 | 21632 |
| 341及以上 | 21716 |
| 340及以上 | 21810 |
| 339及以上 | 21901 |
| 338及以上 | 21997 |
| 337及以上 | 22086 |
| 336及以上 | 22177 |
| 335及以上 | 22274 |
| 334及以上 | 22355 |
| 333及以上 | 22441 |
| 332及以上 | 22514 |
| 331及以上 | 22605 |
| 330及以上 | 22694 |
| 329及以上 | 22785 |
| 328及以上 | 22860 |
| 327及以上 | 22947 |
| 326及以上 | 23039 |
| 325及以上 | 23111 |
| 324及以上 | 23202 |
| 323及以上 | 23280 |
| 322及以上 | 23346 |
| 321及以上 | 23423 |
| 320及以上 | 23503 |
| 319及以上 | 23597 |
| 318及以上 | 23679 |
| 317及以上 | 23754 |
| 316及以上 | 23846 |
| 315及以上 | 23924 |
| 314及以上 | 23989 |
| 313及以上 | 24062 |
| 312及以上 | 24122 |
| 311及以上 | 24198 |
| 310及以上 | 24273 |
| 309及以上 | 24351 |
| 308及以上 | 24431 |
| 307及以上 | 24518 |
| 306及以上 | 24578 |
| 305及以上 | 24657 |
| 304及以上 | 24712 |
| 303及以上 | 24785 |
| 302及以上 | 24863 |
| 301及以上 | 24942 |
| 300及以上 | 25018 |
| 299及以上 | 25096 |
| 298及以上 | 25159 |
| 297及以上 | 25230 |
| 296及以上 | 25287 |
| 295及以上 | 25351 |
| 294及以上 | 25423 |
| 293及以上 | 25491 |
| 292及以上 | 25544 |
| 291及以上 | 25599 |
| 290及以上 | 25652 |
| 289及以上 | 25713 |
| 288及以上 | 25774 |
| 287及以上 | 25830 |
| 286及以上 | 25892 |
| 285及以上 | 25936 |
| 284及以上 | 26001 |
| 283及以上 | 26059 |
| 282及以上 | 26116 |
| 281及以上 | 26174 |
| 280及以上 | 26240 |
| 279及以上 | 26284 |
| 278及以上 | 26333 |
| 277及以上 | 26382 |
| 276及以上 | 26432 |
| 275及以上 | 26478 |
| 274及以上 | 26529 |
| 273及以上 | 26579 |
| 272及以上 | 26640 |
| 271及以上 | 26689 |
| 270及以上 | 26737 |
| 269及以上 | 26791 |
| 268及以上 | 26841 |
| 267及以上 | 26895 |
| 266及以上 | 26935 |
| 265及以上 | 26978 |
| 264及以上 | 27018 |
| 263及以上 | 27053 |
| 262及以上 | 27098 |
| 261及以上 | 27135 |
| 260及以上 | 27179 |
| 259及以上 | 27219 |
| 258及以上 | 27256 |
| 257及以上 | 27287 |
| 256及以上 | 27327 |
| 255及以上 | 27370 |
| 254及以上 | 27402 |
| 253及以上 | 27429 |
| 252及以上 | 27473 |
| 251及以上 | 27510 |
| 250及以上 | 27550 |
| 249及以上 | 27577 |
| 248及以上 | 27618 |
| 247及以上 | 27653 |
| 246及以上 | 27686 |
| 245及以上 | 27712 |
| 244及以上 | 27743 |
| 243及以上 | 27771 |
| 242及以上 | 27798 |
| 241及以上 | 27835 |
| 240及以上 | 27854 |
| 239及以上 | 27885 |
| 238及以上 | 27904 |
| 237及以上 | 27936 |
| 236及以上 | 27963 |
| 235及以上 | 27993 |
| 234及以上 | 28017 |
| 233及以上 | 28048 |
| 232及以上 | 28070 |
| 231及以上 | 28089 |
| 230及以上 | 28117 |
| 229及以上 | 28134 |
| 228及以上 | 28157 |
| 227及以上 | 28175 |
| 226及以上 | 28193 |
| 225及以上 | 28210 |
| 224及以上 | 28231 |
| 223及以上 | 28259 |
| 222及以上 | 28280 |
| 221及以上 | 28298 |
| 220及以上 | 28313 |
| 219及以上 | 28332 |
| 218及以上 | 28351 |
| 217及以上 | 28362 |
| 216及以上 | 28371 |
| 215及以上 | 28385 |
| 214及以上 | 28398 |
| 213及以上 | 28411 |
| 212及以上 | 28421 |
| 211及以上 | 28430 |
| 210及以上 | 28448 |
| 209及以上 | 28459 |
| 208及以上 | 28470 |
| 207及以上 | 28479 |
| 206及以上 | 28485 |
| 205及以上 | 28500 |
| 204及以上 | 28517 |
| 203及以上 | 28527 |
| 202及以上 | 28538 |
| 201及以上 | 28551 |
理科

文科

理工类

文史类

历史学科类




物理学科类




文史类



理工类



理工类














文史类

































三校文理
分段表
















青年大学习:学习习近平总书记考察清华大学时重要讲话精神

新伙伴——九江市青年志愿者协会,关注一下!
投稿邮箱:jjtswxcb@163.com
来源:江西省教育厅、新法制报
编辑:小羊、鱼鱼
审核:老黄

















































青年大学习:学习习近平总书记考察清华大学时重要讲话精神

物理科目组合










历史科目组合










理科
2022年理工类一分一档表
(总分=总成绩+全国性加分)



文科
2022年文史类一分一档表
(总分=总成绩+全国性加分)



理工类

文史类

理工类、文史类


理科





















文科



















理科、文科




掌上高考为中国教育在线推出的高考升学指导APP,为您提供模拟高考志愿填报、查大学、查专业等服务,解答各类高考相关问题。


商务合作联系微信号 | Derek1573

点个在看你最好看
夜雨聆风
