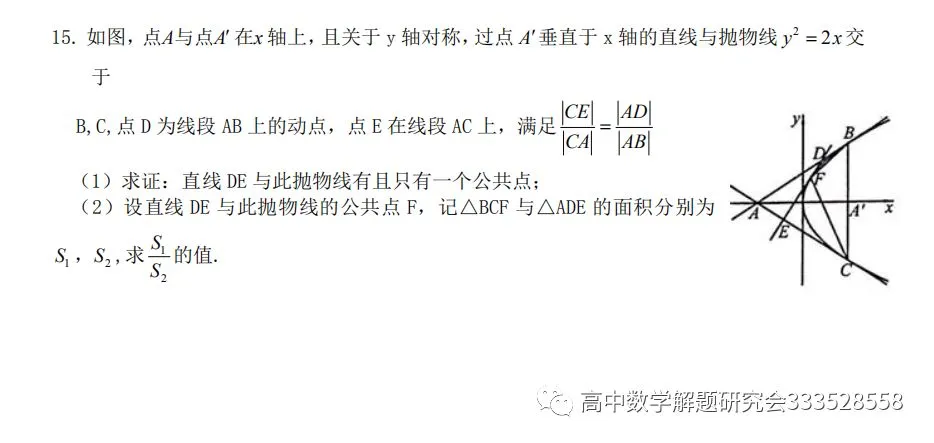
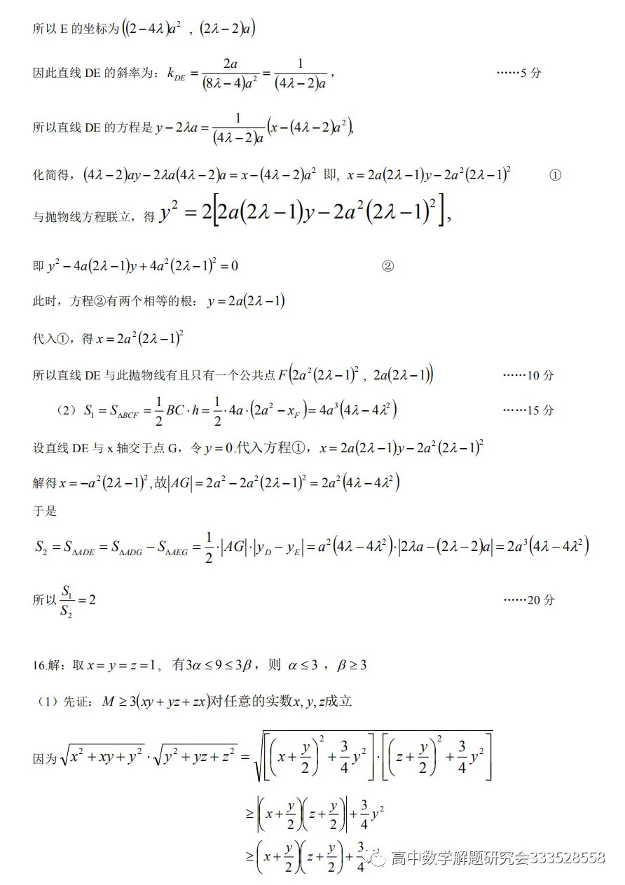
word分享:近80套全国高中数学竞赛试卷及答案

展示第一套试卷及答案,获取方式看文末。









本文和下面资料在QQ群966847197下载
|
投稿等合作联系微信math522 |
|
初中数学老师QQ群:383701049 高中数学老师QQ群:416652117
长按、识别二维码,关注我们 |
“高中数学解题研究会”公众号
由千人教师QQ群高中数学解题研究会41665211团队创作和管理。
word分享:近80套全国高中数学竞赛试卷及答案

展示第一套试卷及答案,获取方式看文末。









本文和下面资料在QQ群966847197下载
|
投稿等合作联系微信math522 |
|
初中数学老师QQ群:383701049 高中数学老师QQ群:416652117
长按、识别二维码,关注我们 |
“高中数学解题研究会”公众号
由千人教师QQ群高中数学解题研究会41665211团队创作和管理。