乐于分享
好东西不私藏

马上收藏|高中三年必背数学公式汇总(附电子版)

马上收藏|高中三年必背数学公式汇总(附电子版)

马上收藏|高中三年必背数学公式汇总(附电子版)
不管你是高一、高二还是高三,答应我都收藏起来好吗?关键时刻都用得到!(附本文电子版)
高中数学(新教材版)

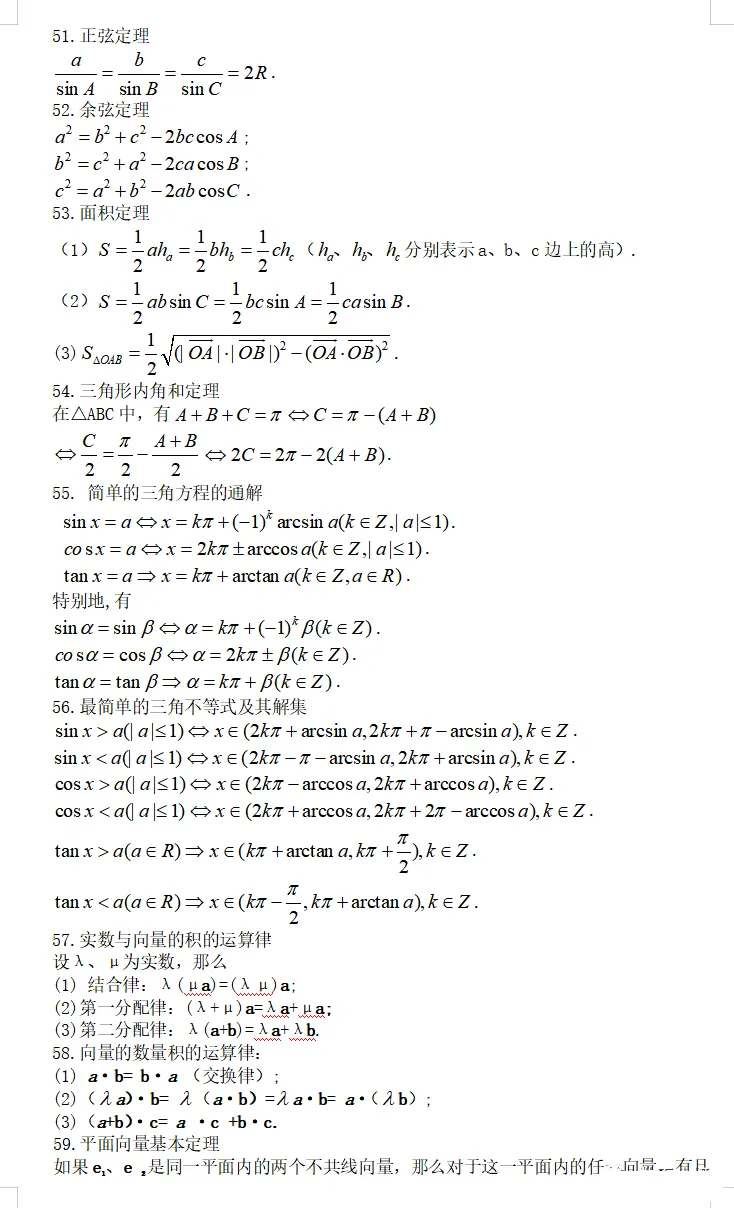
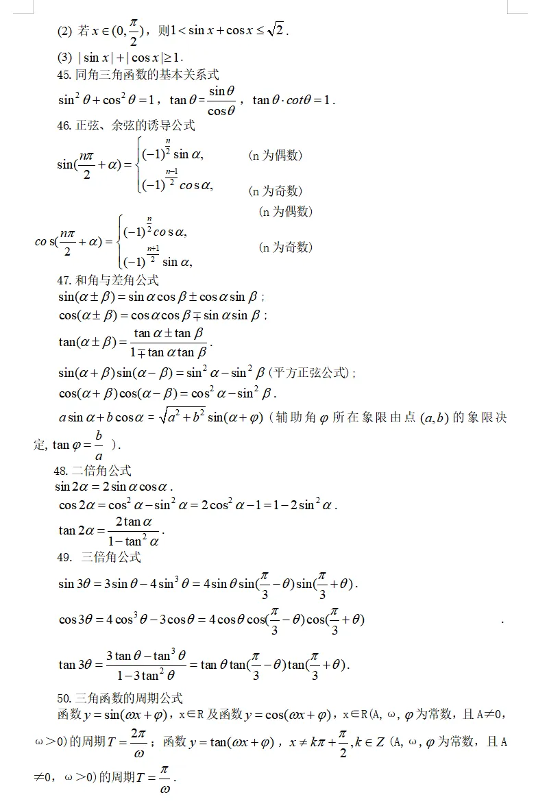
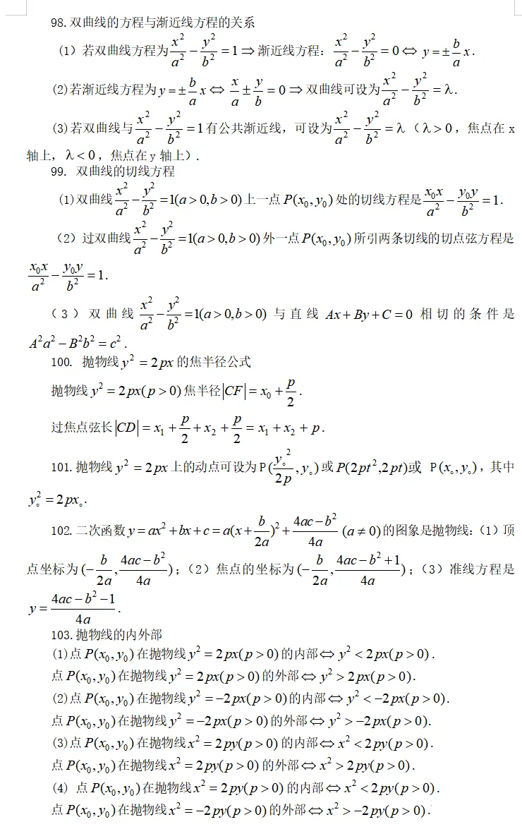
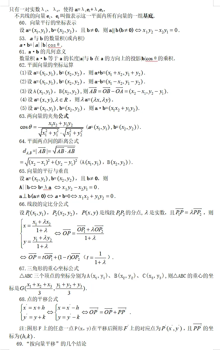
高中数学常用公式和结论

往期推荐

高中英语 | 新人教必修1、2、3册选择性必修1、2、3、4同步听力音频+录音原文合集

高考英语|近5年高考 阅读理解572个高频词汇总

马上收藏啦!人教版高中英语必修123+选择性必修1234课文英汉对照+音频+词汇表汇总。可下载mp3

新课标:高中必背72篇古诗文(朗诵版+文本,含mp3音频)

如果觉得文章有用,就点赞、分享一下吧!

↓↓↓

本站文章均为手工撰写未经允许谢绝转载:夜雨聆风 » 马上收藏|高中三年必背数学公式汇总(附电子版)

评论 抢沙发

3 + 9 =
  • 昵称 (必填)
  • 邮箱 (必填)
  • 网址
×
订阅图标按钮